Open Access

Fig. 8.

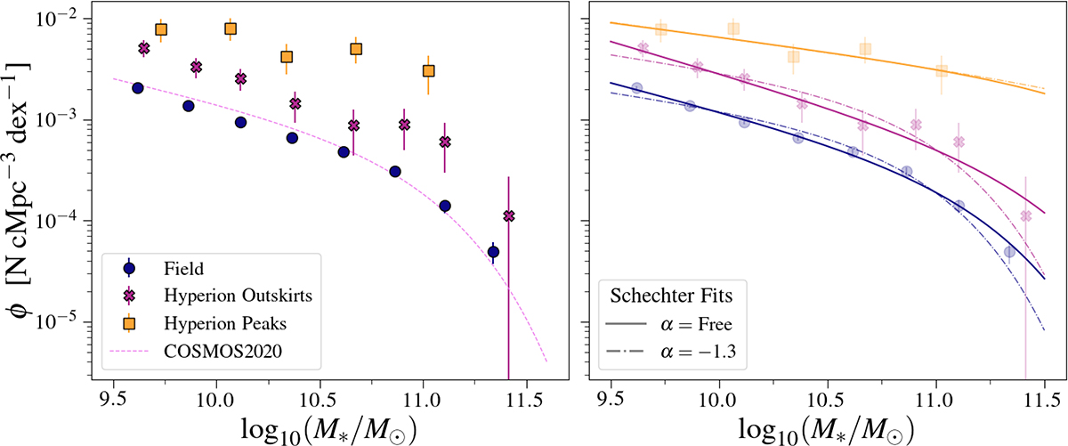
Fig. 8. Refer to the following caption and surrounding text.

Download original image

Left: SMFs of the outskirts (2.5 ≤ nσ < 4.0) and overdensity peaks (4.0 ≤ nσ) of Hyperion. The coeval field and COSMOS2020 fit are identical to Figure 6. Right: Best-fit Schechter functions for the outskirts and overdensity peaks of Hyperion, and the coeval field. The solid lines correspond to single-Schechter fits allowing all three parameters to vary freely; the dot-dashed lines correspond to fits fixing the power-law slope to α = −1.3. The best-fit parameters for each fit are given in Table B.1.

Current usage metrics show cumulative count of Article Views (full-text article views including HTML views, PDF and ePub downloads, according to the available data) and Abstracts Views on Vision4Press platform.

Data correspond to usage on the plateform after 2015. The current usage metrics is available 48-96 hours after online publication and is updated daily on week days.

Initial download of the metrics may take a while.