Fig. 4.

Download original image
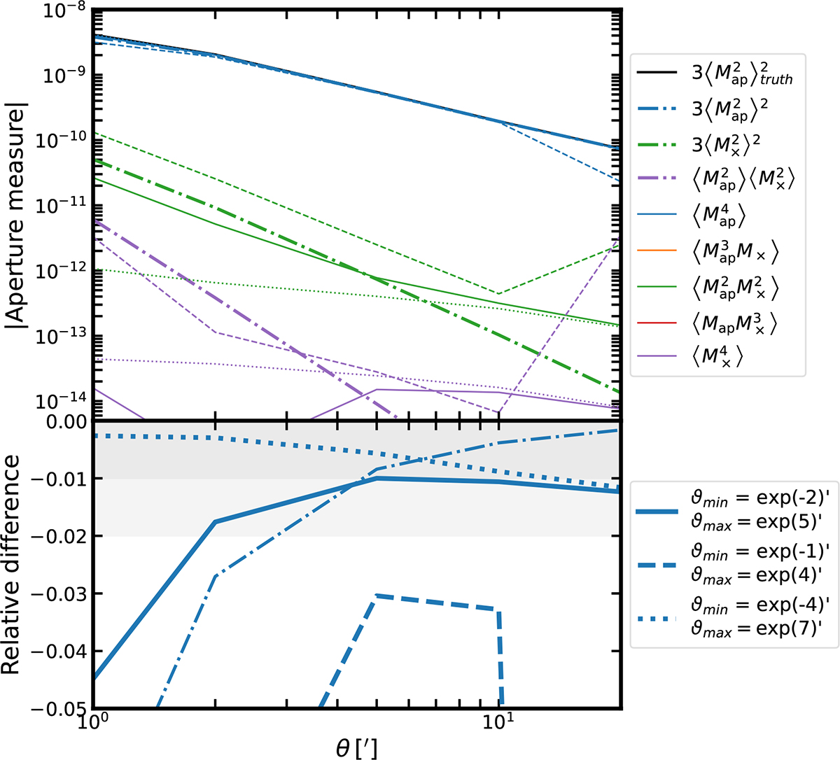
Effect of a finite radial integration range on the fourth-order aperture statistics. (Top) Aperture statistics for varying radial integration ranges, computed on a grid with a logarithmic bin width of Δ(lnϑ) = 0.07 and Δψ = 0.07 rad alongside the considered ground truth (see text). Dash-dotted lines show the effect of E- and B-mode mixing in the second-order aperture statistics for a radial integration range ϑ ∈ [e−2 ′,e5 ′], propagated to the fourth-order with Eqs. (39)–(43). Parity violating modes are, in all cases considered here, below 10−20. The discrepancies found on the pure B-mode arise from the combination of inaccurate complex aperture measures, and remain on all considered scales and cases smaller than 0.1% of the E-mode, thus well below noise levels for Stage III or Stage IV surveys. (Bottom) Relative difference for ⟨Map4⟩(θ) to the considered ground truth. The dash-dotted line shows the impact of a finite integration range on 3⟨Map2⟩2, and the other lines on ⟨Map4⟩. Gray regions show the 1% and 2% regions.
Current usage metrics show cumulative count of Article Views (full-text article views including HTML views, PDF and ePub downloads, according to the available data) and Abstracts Views on Vision4Press platform.
Data correspond to usage on the plateform after 2015. The current usage metrics is available 48-96 hours after online publication and is updated daily on week days.
Initial download of the metrics may take a while.