Fig. 6.

Download original image
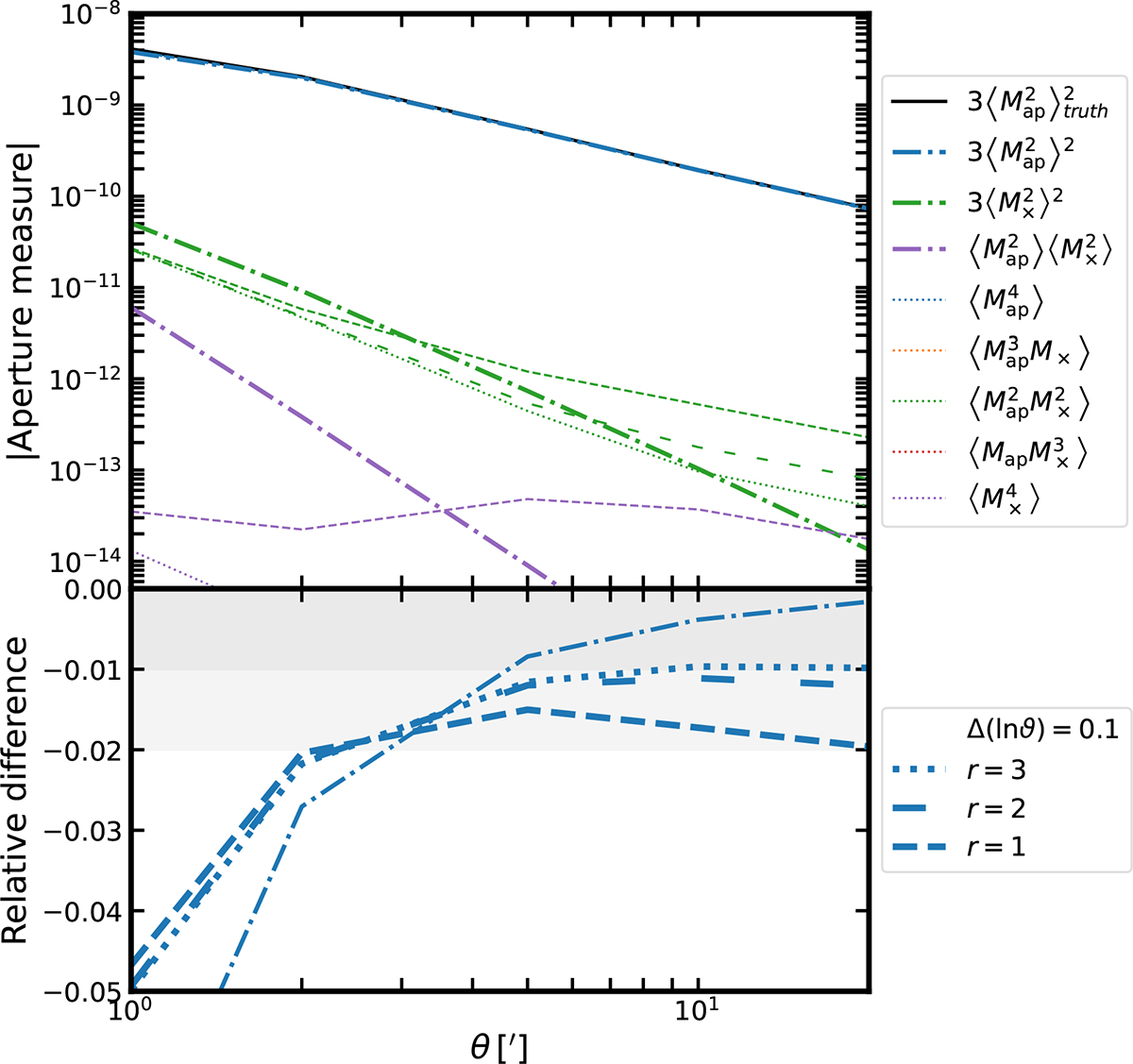
Increase in the precision on the fourth-order aperture statistics by integrating the 4PCF within a bin with a Riemann sum. Equivalent to Fig. 4 with increasingly fine bins for the 4PCF, Nrad,fine = rNrad,coarse, and Nrad,coarse = 70 bins for the filters [Δ(lnϑ) = 0.10]. Dashed lines represent the same set of integration parameters as dashed lines in Fig. 5.
Current usage metrics show cumulative count of Article Views (full-text article views including HTML views, PDF and ePub downloads, according to the available data) and Abstracts Views on Vision4Press platform.
Data correspond to usage on the plateform after 2015. The current usage metrics is available 48-96 hours after online publication and is updated daily on week days.
Initial download of the metrics may take a while.