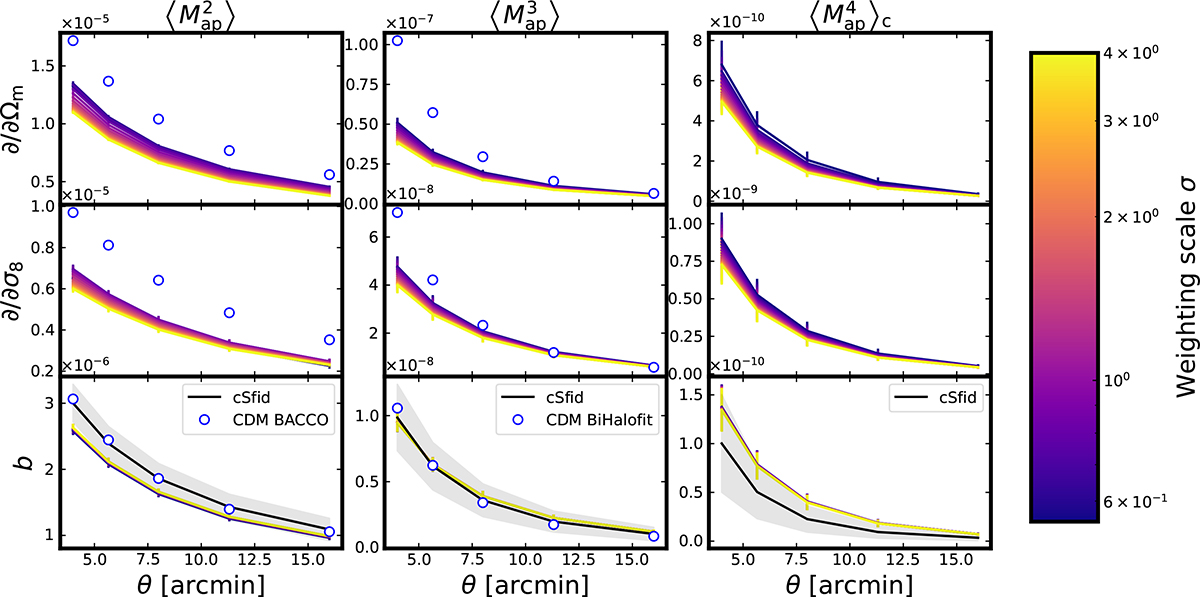
Fig. D.1.

Download original image
Stability of the model parameters for the derivatives when varying the weighting scale σ (see Eq. (D.6)). All points have error bars from Jackknifing over light cones. The first two rows correspond to the derivatives with respect to the cosmological parameters and the third one to the model prediction for the given order of the aperture statistics. Blue rings mark the values obtained from theory for the aperture statistics and their derivatives, estimated from finite differences. The agreement between b and the measurement in cSfid (black) is a test of the robustness of the method.
Current usage metrics show cumulative count of Article Views (full-text article views including HTML views, PDF and ePub downloads, according to the available data) and Abstracts Views on Vision4Press platform.
Data correspond to usage on the plateform after 2015. The current usage metrics is available 48-96 hours after online publication and is updated daily on week days.
Initial download of the metrics may take a while.