Open Access

Fig. 3.

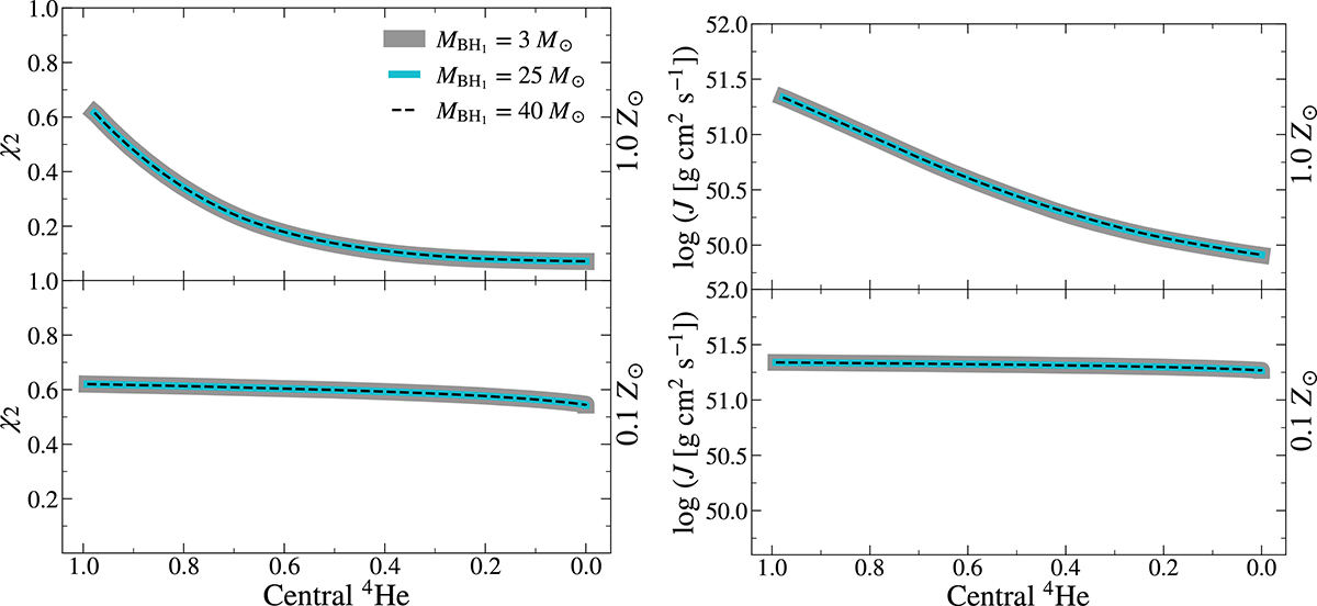
Fig. 3. Refer to the following caption and surrounding text.

Download original image

Spin magnitude χ2 of the BH formed via direct core collapse of the He star (left panel) and the corresponding total angular momentum of the progenitor star (right panel) as a function of the central helium abundance. The binary system consists of a He star with an initial mass of 20 M in a 1.0-day orbit, and a BH of varying mass (gray solid line: 3 M; cyan solid line: 25 M; black dashed line: 40 M). The results at 0.01 Z are nearly identical to those at 0.1 Z, and are therefore not shown in the paper.

Current usage metrics show cumulative count of Article Views (full-text article views including HTML views, PDF and ePub downloads, according to the available data) and Abstracts Views on Vision4Press platform.

Data correspond to usage on the plateform after 2015. The current usage metrics is available 48-96 hours after online publication and is updated daily on week days.

Initial download of the metrics may take a while.