Open Access

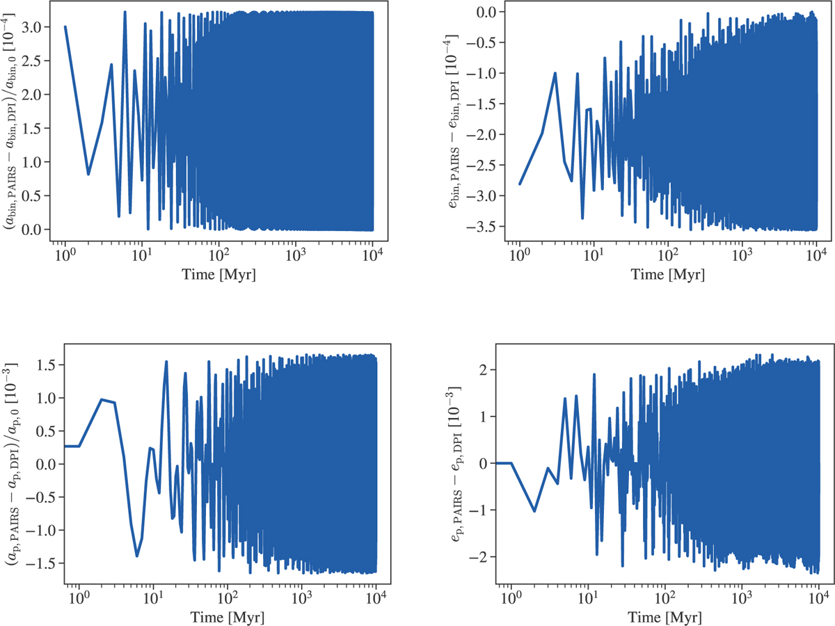
Fig. A.1

Fig. A.1 Refer to the following caption and surrounding text.

Download original image

Pure three-body simulations: (top left panel) Difference between the binary semimajor axis calculated with our code and the binary semimajor axis calculated with the DPI library, normalized to the binary semimajor axis of 100 au given as input. (top right panel) Difference between the binary eccentricity calculated with out code and the binary eccentricity calculated with the DPI library. (bottom left panel) Difference between the planet semimajor axis calculated with our code and the planet semimajor axis calculated with the DPI library, normalized to the planet semimajor axis of 10 au given as input. (bottom right panel) Difference between the planet eccentricity calculated without code and the planet eccentricity calculated with the DPI library.

Current usage metrics show cumulative count of Article Views (full-text article views including HTML views, PDF and ePub downloads, according to the available data) and Abstracts Views on Vision4Press platform.

Data correspond to usage on the plateform after 2015. The current usage metrics is available 48-96 hours after online publication and is updated daily on week days.

Initial download of the metrics may take a while.