Open Access

Fig. B.2

Fig. B.2 Refer to the following caption and surrounding text.

Download original image

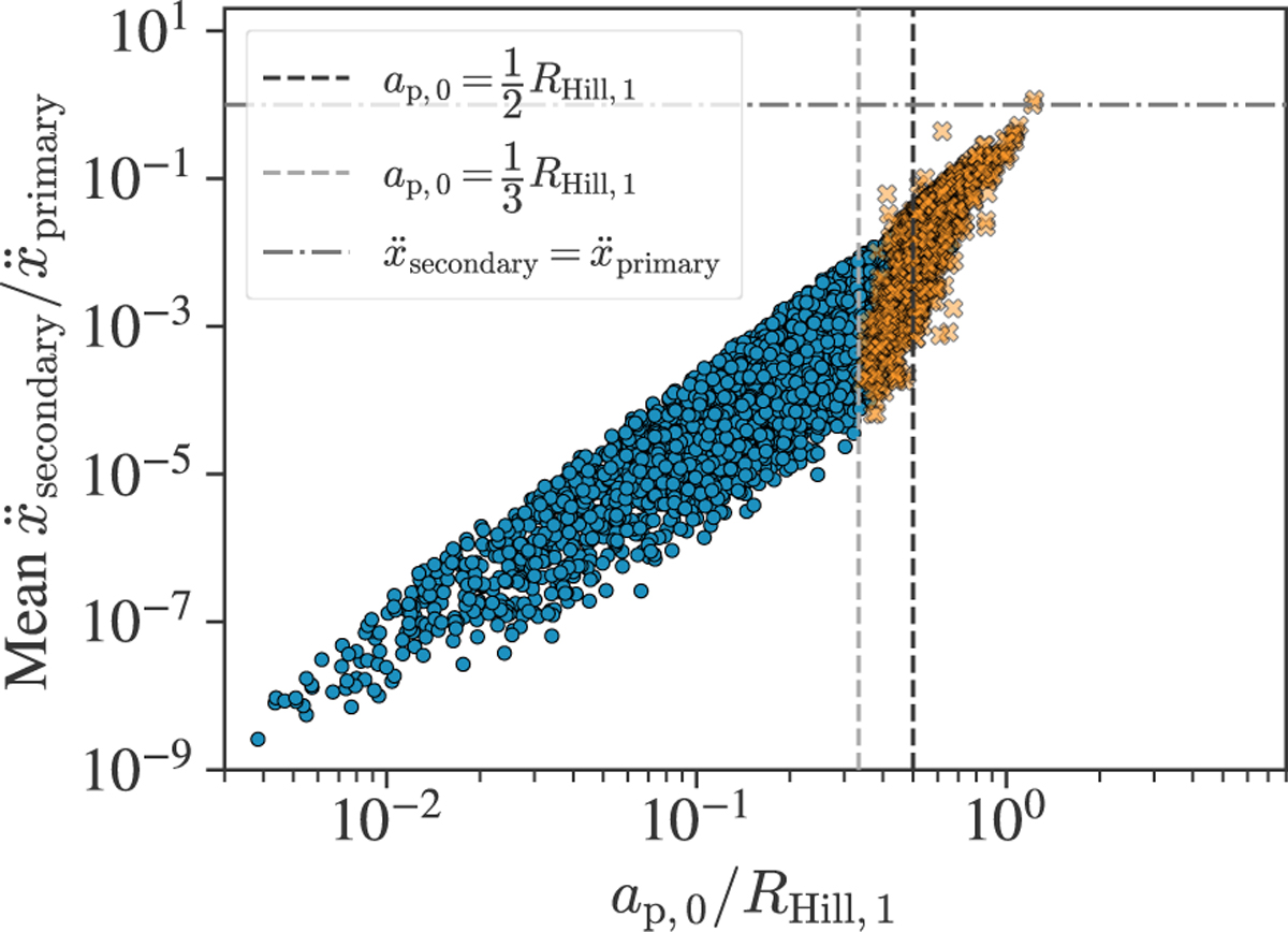
Pure three-body simulations: initial planet location relative to the primary star’s Hill radius, ap,0/RHill,1, versus the mean value of the planet’s acceleration due to the secondary star (x¨secondaryMathematical equation: $\[\ddot{x}_{\text {secondary}}\]$) normalized by the acceleration due to the primary star (x¨primaryMathematical equation: $\[\ddot{x}_{\text {primary}}\]$). The dashed gray and black lines indicate orbital distances of 1/3 and 1/2 of RHill,1, respectively. The dotted-dashed gray line indicates where x¨secondary=x¨primaryMathematical equation: $\[\ddot{x}_{\text {secondary}}=\ddot{x}_{\text {primary}}\]$. Blue circle markers represent planets that remain in the system, orange crosses indicate planets that are lost due to either ejection or instability due to a close encounter with the central star. We note that some blue markers are covered by the orange ones.

Current usage metrics show cumulative count of Article Views (full-text article views including HTML views, PDF and ePub downloads, according to the available data) and Abstracts Views on Vision4Press platform.

Data correspond to usage on the plateform after 2015. The current usage metrics is available 48-96 hours after online publication and is updated daily on week days.

Initial download of the metrics may take a while.