Open Access

Fig. 8.

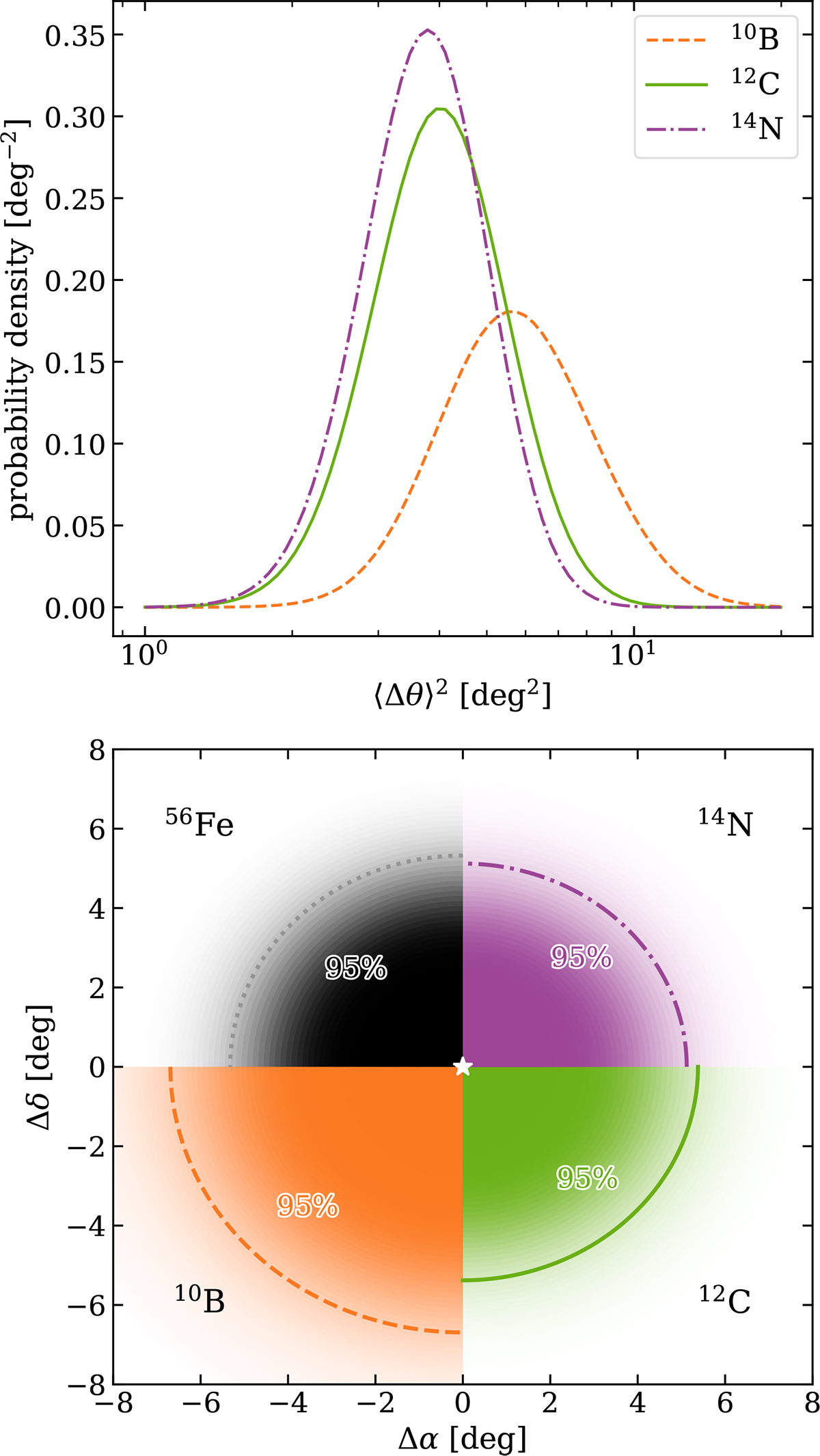
Fig. 8. Refer to the following caption and surrounding text.

Download original image

Impact of disintegration on the dispersion angle of different arriving nuclei resulting from the disintegration of 300 EeV 56Fe nuclei over a distance of 50 Mpc. Top: Distributions of mean squared deflection angles for different secondaries with similar mass and charge to that of 12C. Bottom: The angular distributions of the same products in galactic coordinates are compared to the distribution for the parent 56Fe disregarding disintegration. The star represents the position of the source in the sky and the circular lines denote the 95% confidence limit.

Current usage metrics show cumulative count of Article Views (full-text article views including HTML views, PDF and ePub downloads, according to the available data) and Abstracts Views on Vision4Press platform.

Data correspond to usage on the plateform after 2015. The current usage metrics is available 48-96 hours after online publication and is updated daily on week days.

Initial download of the metrics may take a while.