Open Access

Fig. 4

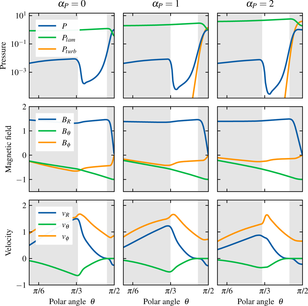
Fig. 4 Refer to the following caption and surrounding text.

Download original image

Latitudinal profiles of thermal pressure P; laminar (total) magnetic pressure, Plam; turbulent magnetic pressure, Pturb (all normalized to P at the disk midplane); components of the magnetic field BR, Bθ, and Bϕ (normalized to Bz at the disk midplane), and components of the velocity vR, vθ, and vϕ (normalized to the Keplerian velocity vK at the disk midplane), measured at R = 2.0 and at t = 1000 for each simulation. The gray shaded area on the right corresponds to the disk, the white area to the disk wind, and the gray shaded area on the left to the spine.

Current usage metrics show cumulative count of Article Views (full-text article views including HTML views, PDF and ePub downloads, according to the available data) and Abstracts Views on Vision4Press platform.

Data correspond to usage on the plateform after 2015. The current usage metrics is available 48-96 hours after online publication and is updated daily on week days.

Initial download of the metrics may take a while.