Open Access

Fig. 8

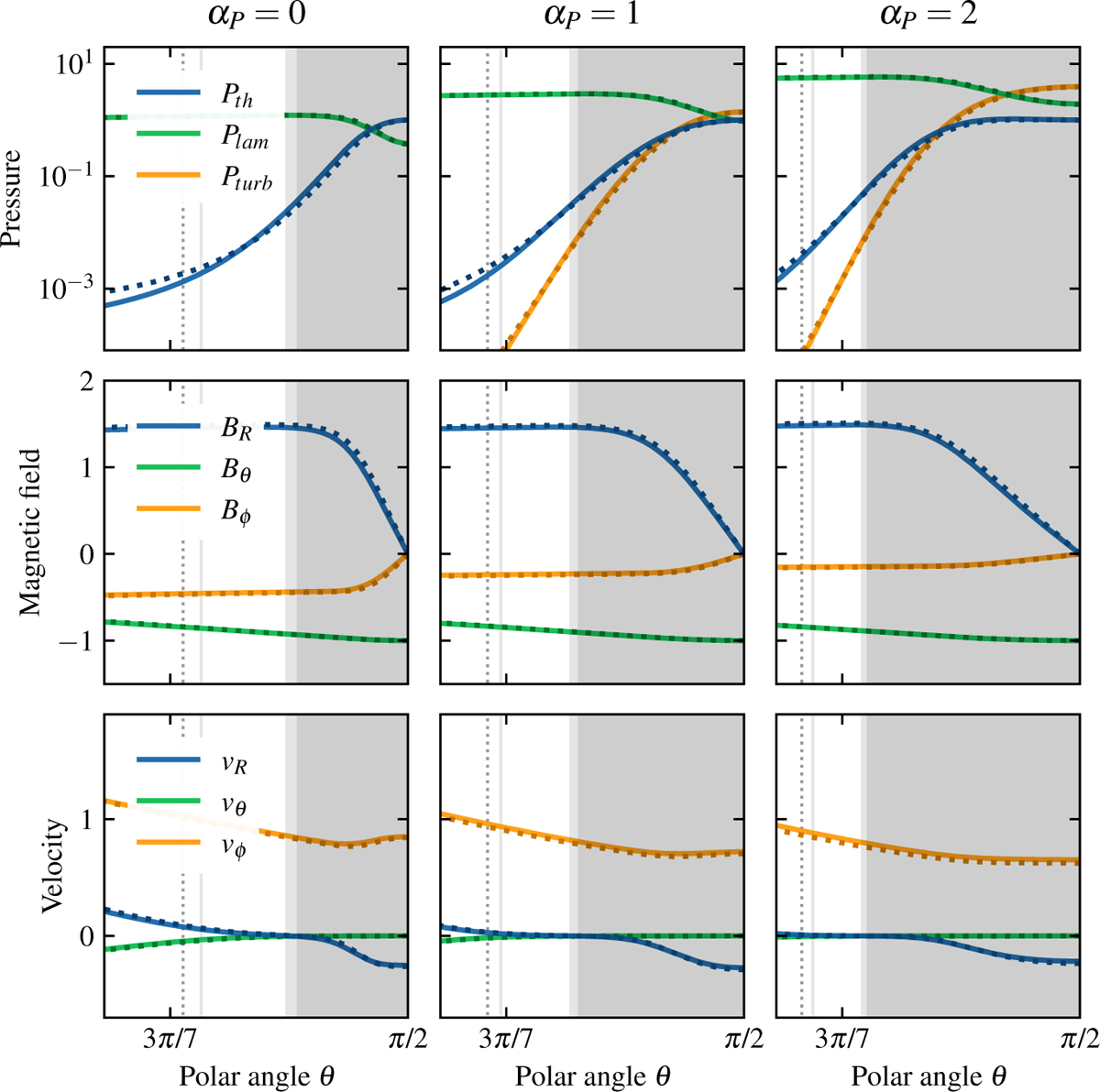
Fig. 8 Refer to the following caption and surrounding text.

Download original image

Latitudinal profiles (zoomed in on the disk) of thermal pressure, P; laminar (total) magnetic pressure, Plam; turbulent magnetic pressure, Pturb (all normalized to P at the disk midplane); components of the magnetic field, BR, Bθ, and Bϕ (normalized to Bz at the disk midplane); and components of the velocity, vR, vθ, and vϕ (normalized to the Keplerian velocity, vK, at the disk midplane) from three numerical (solid lines) and theoretical (dashed) solutions. The shaded regions correspond to the disk (light gray for the numerical solution and dark gray for the semi-analytical one), and the vertical lines mark the transition to the ideal MHD regime (solid lines for the simulations and dashed lines for the semi-analytical solutions).

Current usage metrics show cumulative count of Article Views (full-text article views including HTML views, PDF and ePub downloads, according to the available data) and Abstracts Views on Vision4Press platform.

Data correspond to usage on the plateform after 2015. The current usage metrics is available 48-96 hours after online publication and is updated daily on week days.

Initial download of the metrics may take a while.