Open Access

Fig. 3

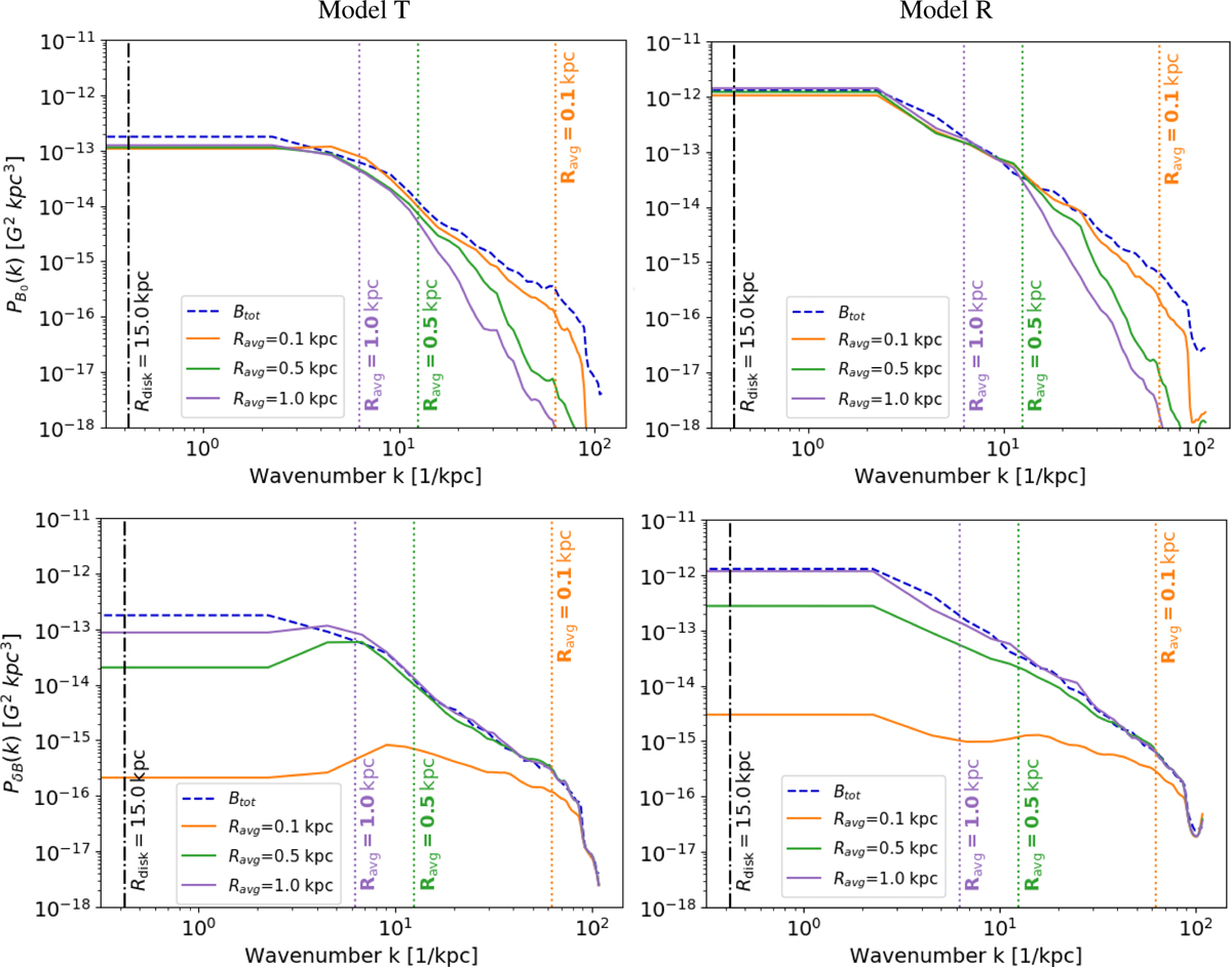
Fig. 3 Refer to the following caption and surrounding text.

Download original image

Power spectra of the mean (PB0) in the top panel and turbulent magnetic field (PδB) in the bottom panel for different averaging radii at 500 Myr. Orange, green, and purple correspond to Ravg=0.1 kpc, Ravg=0.5 kpc, and Ravg=1.0 kpc, respectively. Dashed blue line represents the power spectrum of the total magnetic field. Models T and R are shown on the left and right, respectively.

Current usage metrics show cumulative count of Article Views (full-text article views including HTML views, PDF and ePub downloads, according to the available data) and Abstracts Views on Vision4Press platform.

Data correspond to usage on the plateform after 2015. The current usage metrics is available 48-96 hours after online publication and is updated daily on week days.

Initial download of the metrics may take a while.