Open Access
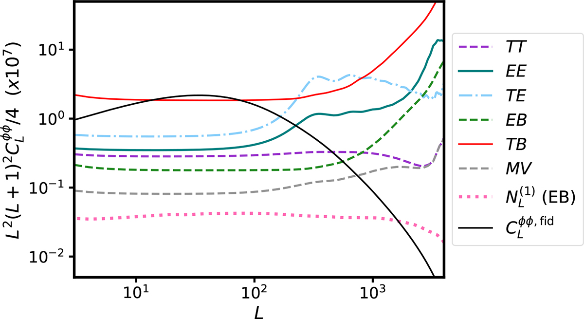
Fig. 1.

Download original image
Analytical zeroth-order lensing reconstruction bias,
, for different estimators given by Eq. (14). The instrumental specification was considered for a CMB-S4-like experiment with a beam resolution of 2.5 arcminutes and white-noise temperature level of ΔT = 2 μK arcmin and polarisation of ΔP = 2.8 μK arcmin.
Current usage metrics show cumulative count of Article Views (full-text article views including HTML views, PDF and ePub downloads, according to the available data) and Abstracts Views on Vision4Press platform.
Data correspond to usage on the plateform after 2015. The current usage metrics is available 48-96 hours after online publication and is updated daily on week days.
Initial download of the metrics may take a while.