Fig. 7.

Download original image
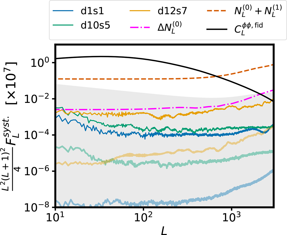
The
bias is shown for MF maps (dark colours) and HILC-cleaned CMB maps (light colours) for three different models. The black curve shows the fiducial lensing power spectrum, and the dashed red curve is the sum of reconstruction noises, N(0) + N(1). The dash-dotted magenta line is the bias in reconstruction noise,
, due to residual Galactic foreground after component separation for the d12s7 model. The shaded grey region represents the cosmic variance limit on the reconstructed lensing power spectrum.
Current usage metrics show cumulative count of Article Views (full-text article views including HTML views, PDF and ePub downloads, according to the available data) and Abstracts Views on Vision4Press platform.
Data correspond to usage on the plateform after 2015. The current usage metrics is available 48-96 hours after online publication and is updated daily on week days.
Initial download of the metrics may take a while.