Open Access
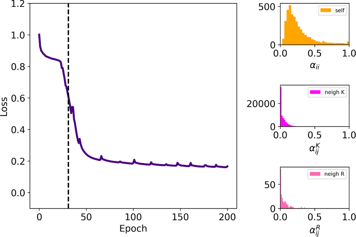
Fig. B.1

Download original image
Learning curve over the 200 epochs. The vertical dashed line shows the epoch at which the reconstructed space is analyzed. Side panels: Self, kinematics-defined, and random inter-cluster edge weights.
Current usage metrics show cumulative count of Article Views (full-text article views including HTML views, PDF and ePub downloads, according to the available data) and Abstracts Views on Vision4Press platform.
Data correspond to usage on the plateform after 2015. The current usage metrics is available 48-96 hours after online publication and is updated daily on week days.
Initial download of the metrics may take a while.