Open Access
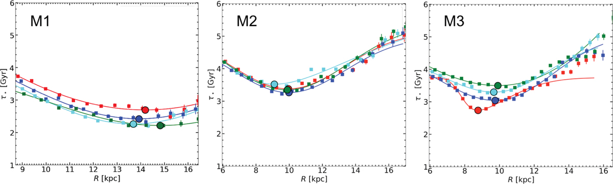
Fig. 9

Download original image
Age profile fits for each quadrant for models M1, M2, and M3 (left to right). For each fit, the corresponding Rmin is shown by the marker of the same colour.
Current usage metrics show cumulative count of Article Views (full-text article views including HTML views, PDF and ePub downloads, according to the available data) and Abstracts Views on Vision4Press platform.
Data correspond to usage on the plateform after 2015. The current usage metrics is available 48-96 hours after online publication and is updated daily on week days.
Initial download of the metrics may take a while.