Open Access

Fig. 6.

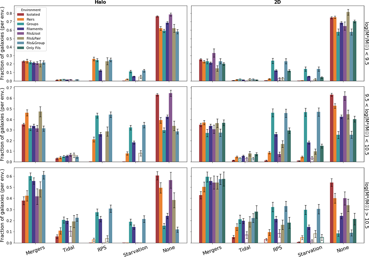
Fig. 6. Refer to the following caption and surrounding text.

Download original image

Fractions of galaxies undergoing different processes in different environments, in three different mass bins. Fractions are normalized per environment. Errorbars report the binomial errors. Empty bars indicate cases where there are less than ten galaxies in that environment and are subject to that process. Left: Halo-based environment definition. Right: 2D-based environment definition.

Current usage metrics show cumulative count of Article Views (full-text article views including HTML views, PDF and ePub downloads, according to the available data) and Abstracts Views on Vision4Press platform.

Data correspond to usage on the plateform after 2015. The current usage metrics is available 48-96 hours after online publication and is updated daily on week days.

Initial download of the metrics may take a while.