Open Access
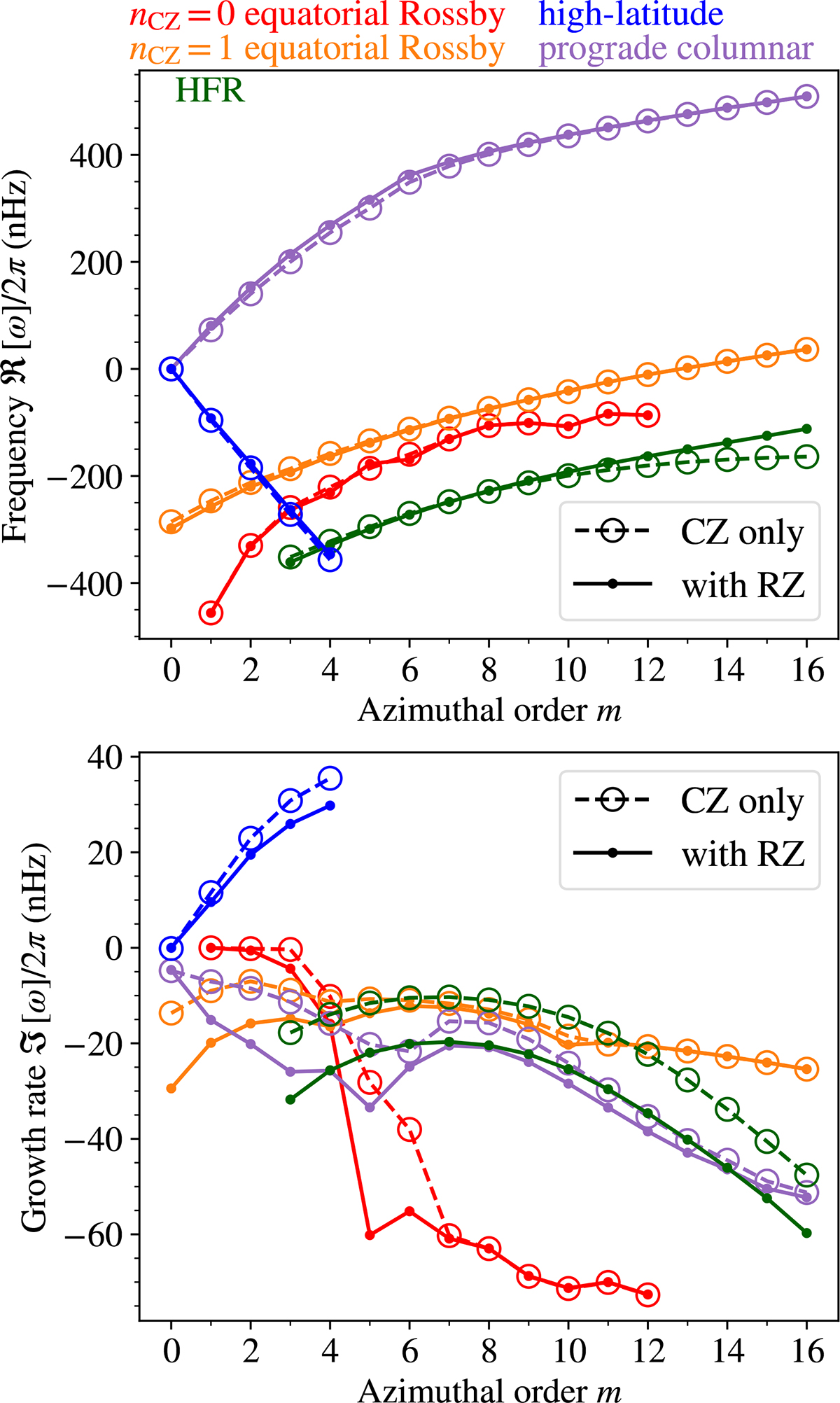
Fig. 4.

Download original image
Top: Dispersion relations of the inertial modes in the CZ computed in the setups that include the RZ (solid lines with points) and exclude the RZ (dashed lines with open circles). The colours denote the various types of inertial modes. Bottom: Growth rates of the same modes, with the same notations.
Current usage metrics show cumulative count of Article Views (full-text article views including HTML views, PDF and ePub downloads, according to the available data) and Abstracts Views on Vision4Press platform.
Data correspond to usage on the plateform after 2015. The current usage metrics is available 48-96 hours after online publication and is updated daily on week days.
Initial download of the metrics may take a while.