Fig. 2

Download original image
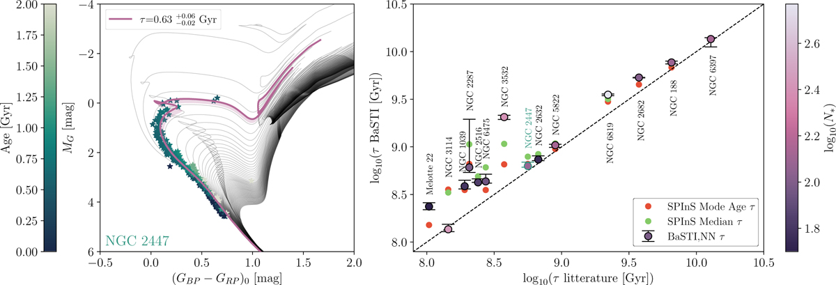
Left panel: CMD of cluster NGC 2447 members (star symbols, coloured by our age estimates). Superimposed are BaSTI isochrones in black and the isochrone corresponding to the cluster age given by our method in pink, with its given uncertainties represented by the filled area. Right panel: age comparison of our (pink symbols) and Casamiquela et al. (2024)’s age estimates (mode in red and median in green) and literature ages as defined in C24, coloured by the number of members. NGC 2447 is highlighted in cyan.
Current usage metrics show cumulative count of Article Views (full-text article views including HTML views, PDF and ePub downloads, according to the available data) and Abstracts Views on Vision4Press platform.
Data correspond to usage on the plateform after 2015. The current usage metrics is available 48-96 hours after online publication and is updated daily on week days.
Initial download of the metrics may take a while.