Open Access

Fig. 1.

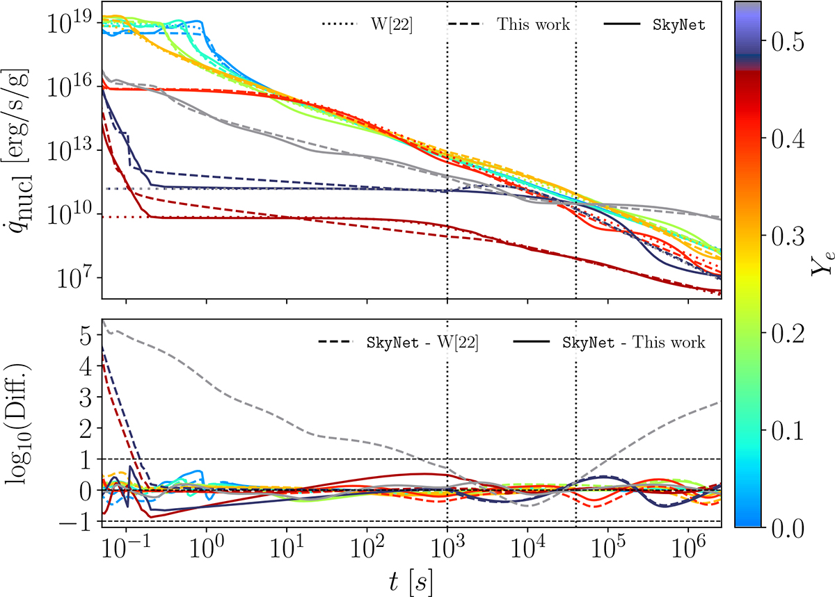
Fig. 1. Refer to the following caption and surrounding text.

Download original image

Nuclear power as a function of time. All the trajectories have initial entropy s0 ≃ 11 kB baryon−1, expansion timescale τ0 ≃ 8.6 ms, and electron fraction Ye ∈ [0.02, 0.1, 0.2, 0.3, 0.4, 0.46, 0.48, 0.54] indicated by the color map. The vertical dashed lines mark the transition between the early- and late-times fits. Top panel: SkyNet calculations (solid lines) and estimate from the updated (dashed lines) and old (dotted lines) nuclear power fits, respectively from this work and Wu et al. (2022). Bottom panel: Relative differences between the results from SkyNet and from the new (solid lines) and previous (dashed lines) version of the fits. The dashed horizontal lines mark differences of one order of magnitude.

Current usage metrics show cumulative count of Article Views (full-text article views including HTML views, PDF and ePub downloads, according to the available data) and Abstracts Views on Vision4Press platform.

Data correspond to usage on the plateform after 2015. The current usage metrics is available 48-96 hours after online publication and is updated daily on week days.

Initial download of the metrics may take a while.