Open Access

Fig. 8.

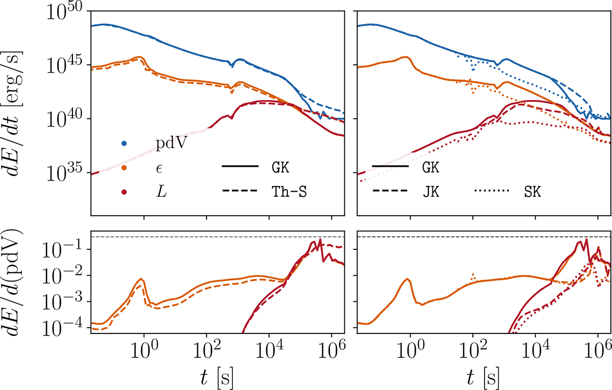
Fig. 8. Refer to the following caption and surrounding text.

Download original image

Contributions to the internal energy of the BLh ejecta for the simple and detailed thermalization schemes described in Sect. 2.4 (left column), and for selected opacity models from Sect. 2.5 (right column). Top: Average pressure work (blue), nuclear heating (orange), and radiation energy (red) per unit time and per fluid element, mass-weighted over the ejecta. Bottom: Ratio of nuclear heating and radiation energy over pressure work. The horizontal dashed line marks a 30% ratio.

Current usage metrics show cumulative count of Article Views (full-text article views including HTML views, PDF and ePub downloads, according to the available data) and Abstracts Views on Vision4Press platform.

Data correspond to usage on the plateform after 2015. The current usage metrics is available 48-96 hours after online publication and is updated daily on week days.

Initial download of the metrics may take a while.