Open Access

Fig. 9.

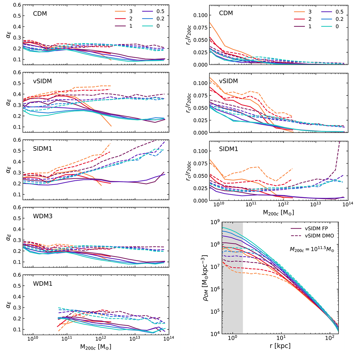
Fig. 9. Refer to the following caption and surrounding text.

Download original image

Redshift dependence of (i) the Einasto parameter αE (left) and (ii) the ratio between the core size rc of the Y24 profile and the virial radius r200c (right). For the latter, we only show CDM, SIDM1, and vSIDM. The dashed (solid) lines represent the mean of DMO (FP) runs, as a function of halo mass. Bottom right: Example of redshift dependence of the dark matter profile. Here we plot the mean profile of haloes (M200c = 1011.5M) for the vSIDM scenario, comparing the DMO (dashed ) and FP (solid) cases.

Current usage metrics show cumulative count of Article Views (full-text article views including HTML views, PDF and ePub downloads, according to the available data) and Abstracts Views on Vision4Press platform.

Data correspond to usage on the plateform after 2015. The current usage metrics is available 48-96 hours after online publication and is updated daily on week days.

Initial download of the metrics may take a while.