Open Access
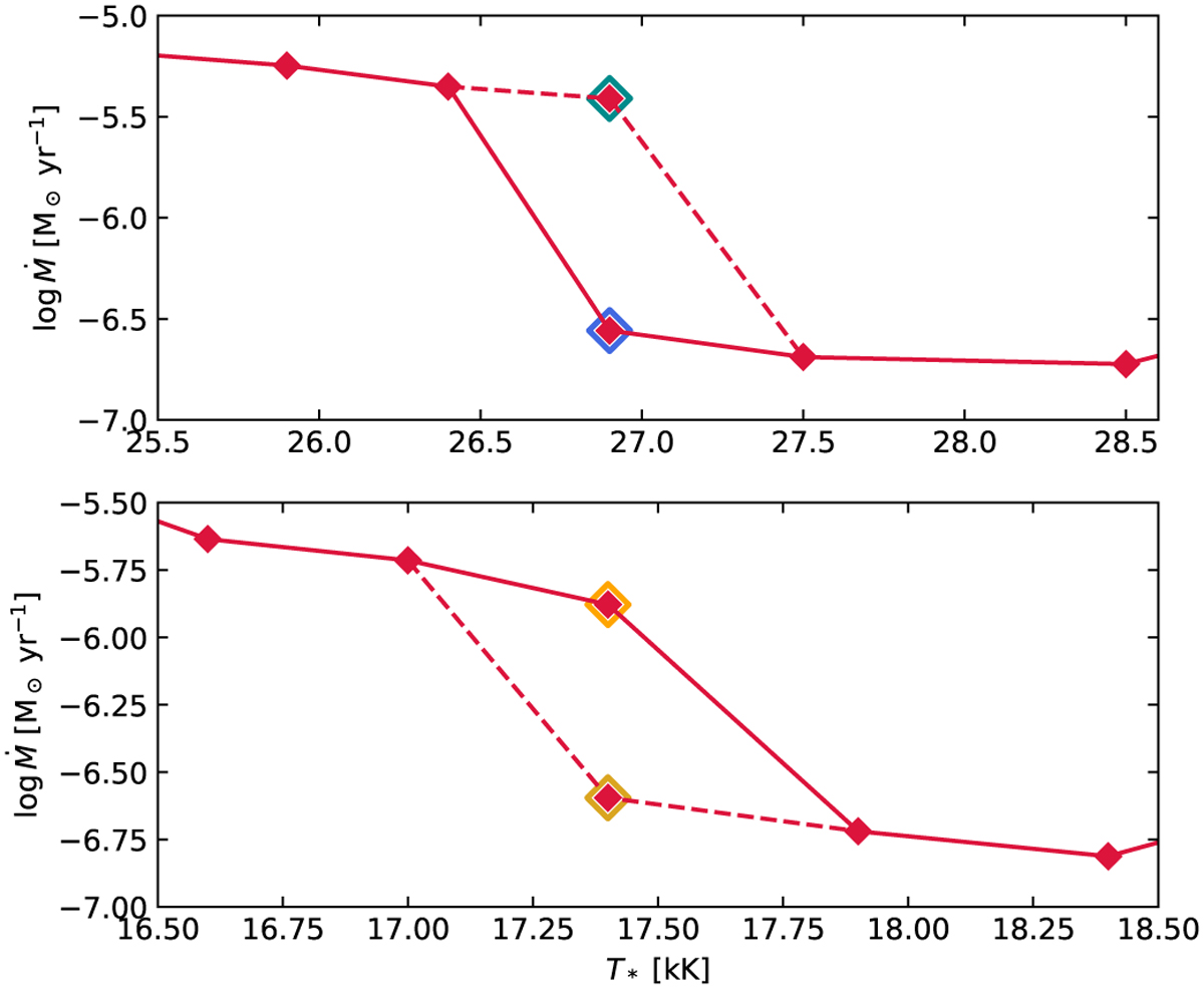
Fig. C.1

Download original image
Demonstration of the bistability of solutions in the 1-BiSJ (upper panel) and 2-BiSJ (lower panel). In either case, we find models with the same T* yielding different results based on their initial conditions.
Current usage metrics show cumulative count of Article Views (full-text article views including HTML views, PDF and ePub downloads, according to the available data) and Abstracts Views on Vision4Press platform.
Data correspond to usage on the plateform after 2015. The current usage metrics is available 48-96 hours after online publication and is updated daily on week days.
Initial download of the metrics may take a while.