Issue |
A&A
Volume 494, Number 2, February I 2009
|
|
---|---|---|
Page(s) | L13 - L16 | |
Section | Letters | |
DOI | https://doi.org/10.1051/0004-6361:200811228 | |
Published online | 14 January 2009 |
Online Material
Appendix A: Derivation of gas to ice ratios
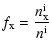
The gas to ice ratio for a particular species in a protostellar envelope can be estimated by assuming a steady-state between photodesorption and freeze-out:
![]() |
(A.1) | ||
![]() |
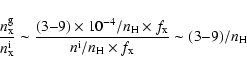
(A.2) |
where














![]() |
(A.3) |
For a typical envelope density of 104 cm-3, ice photodesorption hence predicts a gas to ice ratio of 10-4-10-3. The derivation of a gas to ice ratio from observed cold gas emission lines and ice absorption features in the same line of sight is complicated by the fact that different regions can contribute by varying amounts. The emission features trace gas in the envelope and cloud both in front and behind the protostar, while the ice absorption features only trace envelope material directly in front of the protostar. The column is hence twice as long for the gas observations. This is probably more than compensated for by using beam averaged gas column densities, as is done in this study, because the large beam traces on average less dense material compared to the pencil beam of the ice absorption observations. Note also that the CH3OH ice abundance may vary between lower and higher density regions. To quantify a conversion factor between the observed and true gas to ice ratio requires detailed modeling of each source which is outside the scope of this study. Instead we here assume that the observed ratio is a lower limit to the true ratio.
Current usage metrics show cumulative count of Article Views (full-text article views including HTML views, PDF and ePub downloads, according to the available data) and Abstracts Views on Vision4Press platform.
Data correspond to usage on the plateform after 2015. The current usage metrics is available 48-96 hours after online publication and is updated daily on week days.
Initial download of the metrics may take a while.