<!DOCTYPE html PUBLIC "-//W3C//DTD XHTML 1.0 Transitional//EN">
<html xmlns:xlink="http://www.w3.org/1999/xlink" xmlns:mml="http://www.w3.org/1998/Math/MathML">
<link rel="stylesheet" type="text/css" href="../../../CSS_FULL/edps_full.css">
<body><div id="contenu_olm">

<!-- DOI: 10.1051/0004-6361/200810978 -->

<h2 class="sec">Online Material</h2>

<p>
<A NAME="tab:fit_pj"></A><p class="inset-old"><a href="/articles/aa/full_html/2009/25/aa10978-08/table3.html"><span class="bold">Table 3:</span></a>&#160;&#160;
Spectral fitting results of the projected annular
 spectra.</p>
<p>

<p>
<A NAME="tab:fit_dpj"></A><p class="inset-old"><a href="/articles/aa/full_html/2009/25/aa10978-08/table4.html"><span class="bold">Table 4:</span></a>&#160;&#160;
Spectral fitting results of the deprojected annular spectra.</p>
<p>

<div class="inset-old">
<table>
<tr><td><!-- init Label --><!-- end Label--><A NAME="2144"></A><A NAME="figure1987"
 HREF="img562.png"><IMG
 WIDTH="181" HEIGHT="235" SRC="Timg562.png"
 ALT="\begin{figure}
\par\includegraphics[width=16cm,clip]{0978fA1a.eps}\\
\includeg...
...8fA1d.eps}\\
\includegraphics[width=16cm,clip]{0978fA1e.eps}\\
\end{figure}"></A><!-- HTML Figure number: 19 --></td>
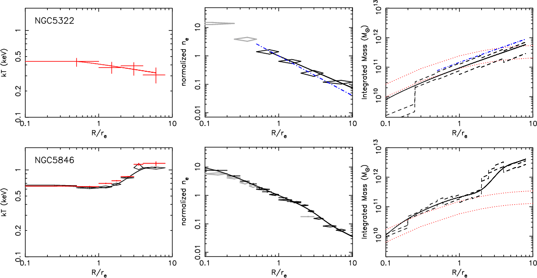
<td class="img-txt"><span class="bold">Figure 18:</span><p>
(<I> Left</I>) The ISM temperature profiles of sample galaxies. The
 cross data points represent temperature profile derived from projected spectra, 
 and the diamond data points are from deprojected spectra. The solid lines
 represent each best-fit function. 
 (<I> Center</I>) The ISM density profiles. The diamond data points represent XMM-Newton
 data, and the cross data points are Chandra data obtained from
 spatial analysis. The solid lines represent each best-fit function. 
 The black data points are used to fit the function, but the gray data points are not. 
 The dot-dashed lines show best-fit function of the ISM density
 profile obtained from the spectral fit. These ISM density profiles are
 normalized by the value at 
<!-- MATH: $1~r_{\rm e}$ -->
<IMG
 WIDTH="24" HEIGHT="26" ALIGN="MIDDLE" BORDER="0"
 SRC="img22.png"
 ALT="$1~r_{\rm e}$">.
 (<I> Right</I>) The integrated mass profiles. The solid and dot-dashed lines are total mass
 obtained from ISM density profiles from the surface brightness and
 spectral fit, respectively. 
 The dashed lines are upper and lower limit. We also plotted
 the stellar mass profiles assuming stellar <I>M</I>/<I>L</I><SUB><I>B</I></SUB> to be 3 and 8 (dotted lines).</p></td>
</tr><tr><td colspan="2"><a href="http://dexter.edpsciences.org/applet.php?pdf_id=19&DOI=10.1051/0004-6361/200810978" target="DEXTER">Open with DEXTER</a></td></tr>

</table></div>
<p>

<div class="inset-old">
<table>
<tr><td><!-- init Label --><!-- end Label--><A NAME="2008"></A><A NAME="figure2001"
 HREF="img563.png"><IMG
 WIDTH="204" HEIGHT="264" SRC="Timg563.png"
 ALT="\begin{figure}\par\includegraphics[width=18cm]{0978fA1f.eps}\\
\includegraphic...
...]{0978fA1i.eps}\\
\includegraphics[width=18cm]{0978fA1j.eps}\\
\end{figure}"></A><!-- HTML Figure number: 20 --></td>
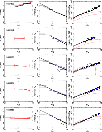
<td class="img-txt"><span class="bold">Figure 18:</span><p>
continued.</p></td>
</tr><tr><td colspan="2"><a href="http://dexter.edpsciences.org/applet.php?pdf_id=20&DOI=10.1051/0004-6361/200810978" target="DEXTER">Open with DEXTER</a></td></tr>

</table></div>
<p>

<div class="inset-old">
<table>
<tr><td><!-- init Label --><!-- end Label--><A NAME="2019"></A><A NAME="figure2012"
 HREF="img564.png"><IMG
 WIDTH="204" HEIGHT="264" SRC="Timg564.png"
 ALT="\begin{figure}\par\includegraphics[width=18cm]{0978fA1k.eps}\\
\includegraphic...
...]{0978fA1n.eps}\\
\includegraphics[width=18cm]{0978fA1o.eps}\\
\end{figure}"></A><!-- HTML Figure number: 21 --></td>
<td class="img-txt"><span class="bold">Figure 18:</span><p>
continued.</p></td>
</tr><tr><td colspan="2"><a href="http://dexter.edpsciences.org/applet.php?pdf_id=21&DOI=10.1051/0004-6361/200810978" target="DEXTER">Open with DEXTER</a></td></tr>

</table></div>
<p>

<div class="inset-old">
<table>
<tr><td><!-- init Label --><!-- end Label--><A NAME="2030"></A><A NAME="figure2023"
 HREF="img565.png"><IMG
 WIDTH="204" HEIGHT="264" SRC="Timg565.png"
 ALT="\begin{figure}\par\includegraphics[width=18cm]{0978fA1p.eps}\\
\includegraphic...
...]{0978fA1s.eps}\\
\includegraphics[width=18cm]{0978fA1t.eps}\\
\end{figure}"></A><!-- HTML Figure number: 22 --></td>
<td class="img-txt"><span class="bold">Figure 18:</span><p>
continued.</p></td>
</tr><tr><td colspan="2"><a href="http://dexter.edpsciences.org/applet.php?pdf_id=22&DOI=10.1051/0004-6361/200810978" target="DEXTER">Open with DEXTER</a></td></tr>

</table></div>
<p>

<div class="inset-old">
<table>
<tr><td><!-- init Label --><!-- end Label--><A NAME="2038"></A><A NAME="figure2034"
 HREF="img566.png"><IMG
 WIDTH="204" HEIGHT="104" SRC="Timg566.png"
 ALT="\begin{figure}\par\includegraphics[width=18cm]{0978fA1u.eps}\\
\includegraphics[width=18cm]{0978fA1v.eps}\\
\end{figure}"><!-- HTML Figure number: 23 --></td>
<td class="img-txt"><span class="bold">Figure 18:</span><p>
continued.</p></td>
</tr><tr><td colspan="2"><a href="http://dexter.edpsciences.org/applet.php?pdf_id=23&DOI=10.1051/0004-6361/200810978" target="DEXTER">Open with DEXTER</a></td></tr>

</table></div>
<p>
<br>

</div></body></html>