<!DOCTYPE html PUBLIC "-//W3C//DTD XHTML 1.0 Transitional//EN">
<html xmlns:xlink="http://www.w3.org/1999/xlink" xmlns:mml="http://www.w3.org/1998/Math/MathML">
<link rel="stylesheet" type="text/css" href="../../../CSS_FULL/edps_full.css">
<body><div id="contenu_olm">

<!-- DOI: 10.1051/0004-6361/200911815 -->

<h2 class="sec">Online Material</h2>

<p>

<A NAME="tab2"></A><p class="inset-old"><a href="/articles/aa/full_html/2009/28/aa11815-09/table2.html"><span class="bold">Table 2:</span></a>&#160;&#160;
Flux densities and polarised flux densities from Effelsberg 100-m and 
NVSS&nbsp;measurements.</p> 

<p>

<A NAME="tab3"></A><p class="inset-old"><a href="/articles/aa/full_html/2009/28/aa11815-09/table3.html"><span class="bold">Table 3:</span></a>&#160;&#160;
Percentage of polarised flux density and position angle of the 
electric vector at the five frequencies.</p>
<p>

<A NAME="tab4"></A><p class="inset-old"><a href="/articles/aa/full_html/2009/28/aa11815-09/table4.html"><span class="bold">Table 4:</span></a>&#160;&#160;
Depolarisation indices and RMs.</p>
<p>

<p>

<h2 class="sec"><a name="SECTION00090000000000000000"></a>
Appendix 1
</h2>

<p>
In this Appendix, we present plots of the fractional polarisation&nbsp;<I>m</I> derived form our Effelsberg observations complemented with those extracted from the NVSS at 1.4&nbsp;GHz and those taken from Tabara &amp; Inoue (<a href="/articles/aa/full_html/2009/28/aa11815-09/aa11815-09.html#Tabara80">1980</a>). The values of <I>m</I> predicted by the models of Burn and 
Tribble are shown for comparison. Also plotted are polarisation angles versus <IMG
 WIDTH="16" HEIGHT="30" ALIGN="MIDDLE" BORDER="0"
 SRC="img2.png"
 ALT="$\lambda ^2$">
with their corresponding linear best&nbsp;fit.

<p>

<div class="inset-old">
<table>
<tr><td><!-- init Label --><A NAME="figA.1">&#160;</A><!-- end Label--><A NAME="1771"></A><A NAME="figure1559"
 HREF="img54.png"><IMG
 WIDTH="181" HEIGHT="87" SRC="Timg54.png"
 ALT="\begin{figure}
\par\includegraphics[width=8cm,clip]{11815a02.ps}\includegraphics[width=8cm,clip]{11815b02.ps}
\end{figure}"></A><!-- HTML Figure number: 2 --></td>
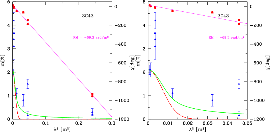
<td class="img-txt"><span class="bold">Figure A.1:</span><p>
Position angles of the electric field vector&nbsp;<IMG
 WIDTH="12" HEIGHT="26" ALIGN="MIDDLE" BORDER="0"
 SRC="img1.png"
 ALT="$\chi $">
in&nbsp;deg (dots) and fractional  polarisation&nbsp;<I>m</I> in&nbsp;% (triangles) versus <IMG
 WIDTH="16" HEIGHT="30" ALIGN="MIDDLE" BORDER="0"
 SRC="img2.png"
 ALT="$\lambda ^2$">
in m<sup>2</sup> for the source&nbsp;3C&nbsp;43,
for the full range (<I> left</I>), and for a narrow range (<I> right</I>) of wavelengths. The solid line represents the Tribble model, the dashed line the Burn model.</p></td>
</tr><tr><td colspan="2"><a href="http://dexter.edpsciences.org/applet.php?pdf_id=2&DOI=10.1051/0004-6361/200911815" target="DEXTER">Open with DEXTER</a></td></tr>

</table></div>
<p>
<div class="inset-old">
<table>
<tr><td><!-- init Label --><A NAME="figA.2">&#160;</A><!-- end Label--><A NAME="1772"></A><A NAME="figure1567"
 HREF="img55.png"><IMG
 WIDTH="181" HEIGHT="86" SRC="Timg55.png"
 ALT="\begin{figure}
\par\includegraphics[width=8cm,clip]{11815a03.ps}\includegraphics[width=8cm,clip]{11815b03.ps}
\end{figure}"></A><!-- HTML Figure number: 3 --></td>
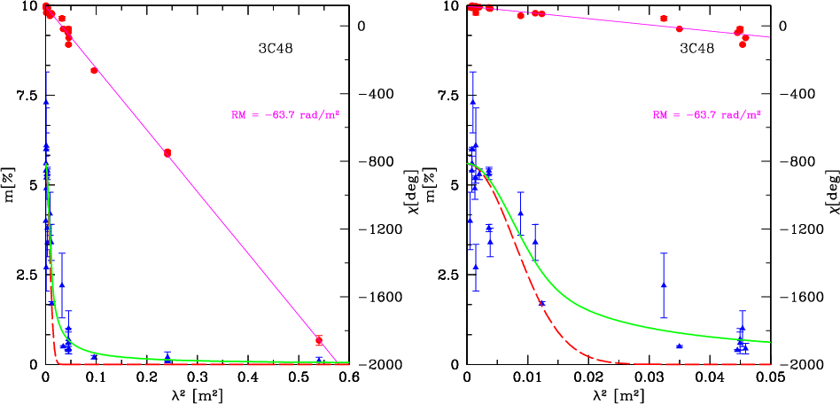
<td class="img-txt"><span class="bold">Figure A.2:</span><p>
Position angles <IMG
 WIDTH="12" HEIGHT="26" ALIGN="MIDDLE" BORDER="0"
 SRC="img1.png"
 ALT="$\chi $">
and fractional polarisation&nbsp;<I>m</I> for the source&nbsp;3C&nbsp;48. Layout as in Fig.&nbsp;<a href="/articles/aa/full_html/2009/28/aa11815-09/aa11815-09.html#figA.1">A.1</a>.</p></td>
</tr><tr><td colspan="2"><a href="http://dexter.edpsciences.org/applet.php?pdf_id=3&DOI=10.1051/0004-6361/200911815" target="DEXTER">Open with DEXTER</a></td></tr>

</table></div>
<p>

<p>
<div class="inset-old">
<table>
<tr><td><!-- init Label --><A NAME="figA.3">&#160;</A><!-- end Label--><A NAME="1773"></A><A NAME="figure1574"
 HREF="img56.png"><IMG
 WIDTH="89" HEIGHT="87" SRC="Timg56.png"
 ALT="\begin{figure}
\par\includegraphics[width=8cm,clip]{11815a04.ps}
\end{figure}"></A><!-- HTML Figure number: 4 --></td>
<td class="img-txt"><span class="bold">Figure A.3:</span><p>
Position angles <IMG
 WIDTH="12" HEIGHT="26" ALIGN="MIDDLE" BORDER="0"
 SRC="img1.png"
 ALT="$\chi $">
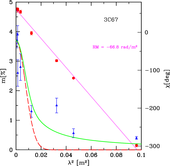
and fractional polarisation&nbsp;<I>m</I> for the source&nbsp;3C&nbsp;67. Layout as in Fig.&nbsp;<a href="/articles/aa/full_html/2009/28/aa11815-09/aa11815-09.html#figA.1">A.1</a>.</p></td>
</tr><tr><td colspan="2"><a href="http://dexter.edpsciences.org/applet.php?pdf_id=4&DOI=10.1051/0004-6361/200911815" target="DEXTER">Open with DEXTER</a></td></tr>

</table></div>
<p>
<div class="inset-old">
<table>
<tr><td><!-- init Label --><A NAME="figA.4">&#160;</A><!-- end Label--><A NAME="1774"></A><A NAME="figure1580"
 HREF="img57.png"><IMG
 WIDTH="89" HEIGHT="86" SRC="Timg57.png"
 ALT="\begin{figure}
\par\includegraphics[width=8cm,clip]{11815a05.ps}
\end{figure}"></A><!-- HTML Figure number: 5 --></td>
<td class="img-txt"><span class="bold">Figure A.4:</span><p>
Position angles <IMG
 WIDTH="12" HEIGHT="26" ALIGN="MIDDLE" BORDER="0"
 SRC="img1.png"
 ALT="$\chi $">
and fractional polarisation <I>m</I> for the source&nbsp;0319+12. Layout as in Fig.&nbsp;<a href="/articles/aa/full_html/2009/28/aa11815-09/aa11815-09.html#figA.1">A.1</a>.</p></td>
</tr><tr><td colspan="2"><a href="http://dexter.edpsciences.org/applet.php?pdf_id=5&DOI=10.1051/0004-6361/200911815" target="DEXTER">Open with DEXTER</a></td></tr>

</table></div>
<p>

<p>
<div class="inset-old">
<table>
<tr><td><!-- init Label --><A NAME="figA.5">&#160;</A><!-- end Label--><A NAME="1775"></A><A NAME="figure1586"
 HREF="img58.png"><IMG
 WIDTH="181" HEIGHT="86" SRC="Timg58.png"
 ALT="\begin{figure}
\addtocounter{figure}{+0}
\par\includegraphics[width=8cm,clip]{11815a06.ps}\includegraphics[width=8cm,clip]{11815b06.ps}
\end{figure}"></A><!-- HTML Figure number: 6 --></td>
<td class="img-txt"><span class="bold">Figure A.5:</span><p>
Position angles <IMG
 WIDTH="12" HEIGHT="26" ALIGN="MIDDLE" BORDER="0"
 SRC="img1.png"
 ALT="$\chi $">
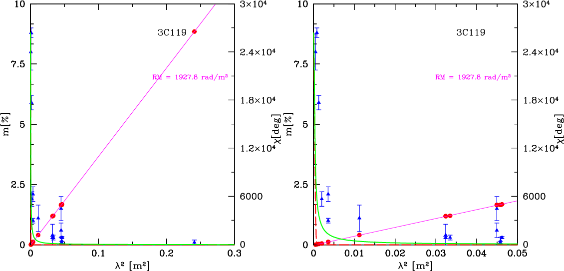
and fractional polarisation <I>m</I> for the source&nbsp;3C&nbsp;119. Layout as in Fig.&nbsp;<a href="/articles/aa/full_html/2009/28/aa11815-09/aa11815-09.html#figA.1">A.1</a>.</p></td>
</tr><tr><td colspan="2"><a href="http://dexter.edpsciences.org/applet.php?pdf_id=6&DOI=10.1051/0004-6361/200911815" target="DEXTER">Open with DEXTER</a></td></tr>

</table></div>
<p>
<div class="inset-old">
<table>
<tr><td><!-- init Label --><A NAME="figA.6">&#160;</A><!-- end Label--><A NAME="1776"></A><A NAME="figure1595"
 HREF="img59.png"><IMG
 WIDTH="181" HEIGHT="86" SRC="Timg59.png"
 ALT="\begin{figure}
\par\includegraphics[width=8cm,clip]{11815a07.ps}\includegraphics[width=8cm,clip]{11815b07.ps}
\end{figure}"></A><!-- HTML Figure number: 7 --></td>
<td class="img-txt"><span class="bold">Figure A.6:</span><p>
Position angles <IMG
 WIDTH="12" HEIGHT="26" ALIGN="MIDDLE" BORDER="0"
 SRC="img1.png"
 ALT="$\chi $">
and fractional polarisation <I>m</I> for the source&nbsp;3C&nbsp;138. Layout as in Fig.&nbsp;<a href="/articles/aa/full_html/2009/28/aa11815-09/aa11815-09.html#figA.1">A.1</a>.</p></td>
</tr><tr><td colspan="2"><a href="http://dexter.edpsciences.org/applet.php?pdf_id=7&DOI=10.1051/0004-6361/200911815" target="DEXTER">Open with DEXTER</a></td></tr>

</table></div>
<p>

<p>
<div class="inset-old">
<table>
<tr><td><!-- init Label --><A NAME="figA.7">&#160;</A><!-- end Label--><A NAME="1777"></A><A NAME="figure1602"
 HREF="img60.png"><IMG
 WIDTH="89" HEIGHT="87" SRC="Timg60.png"
 ALT="\begin{figure}
\par\includegraphics[width=8cm,clip]{11815a08.ps}
\end{figure}"></A><!-- HTML Figure number: 8 --></td>
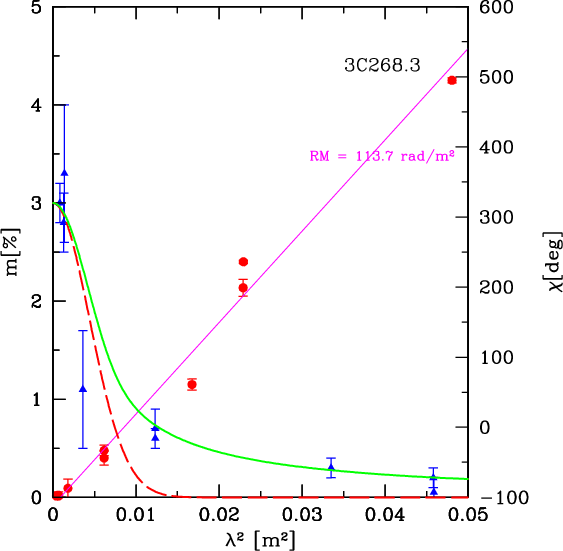
<td class="img-txt"><span class="bold">Figure A.7:</span><p>
Position angles <IMG
 WIDTH="12" HEIGHT="26" ALIGN="MIDDLE" BORDER="0"
 SRC="img1.png"
 ALT="$\chi $">
and fractional polarisation <I>m</I> for the source&nbsp;3C&nbsp;268.3. Layout as in Fig.&nbsp;<a href="/articles/aa/full_html/2009/28/aa11815-09/aa11815-09.html#figA.1">A.1</a>.</p></td>
</tr><tr><td colspan="2"><a href="http://dexter.edpsciences.org/applet.php?pdf_id=8&DOI=10.1051/0004-6361/200911815" target="DEXTER">Open with DEXTER</a></td></tr>

</table></div>
<p>

<p>
<div class="inset-old">
<table>
<tr><td><!-- init Label --><A NAME="figA.8">&#160;</A><!-- end Label--><A NAME="1778"></A><A NAME="figure1608"
 HREF="img61.png"><IMG
 WIDTH="174" HEIGHT="83" SRC="Timg61.png"
 ALT="\begin{figure}
\par\includegraphics[width=7.7cm,clip]{11815a09.ps}\includegraphics[width=7.7cm,clip]{11815b09.ps}
\end{figure}"></A><!-- HTML Figure number: 9 --></td>
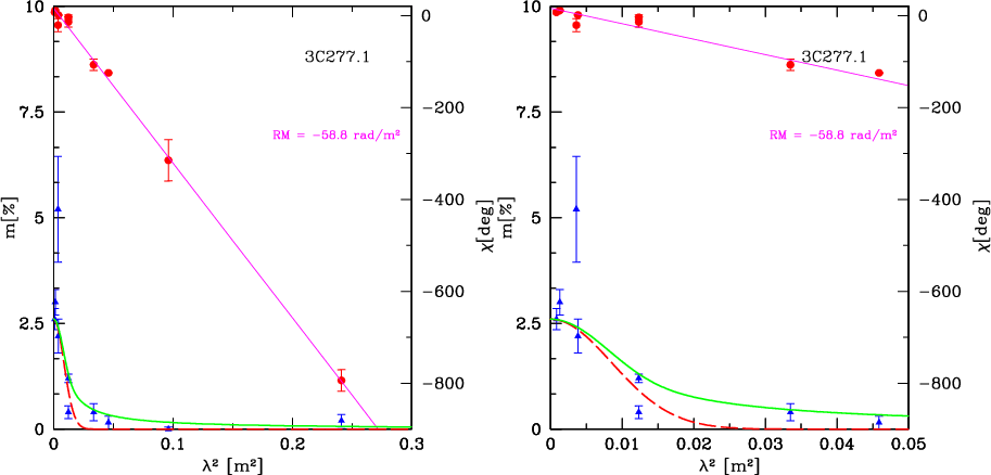
<td class="img-txt"><span class="bold">Figure A.8:</span><p>
Position angles <IMG
 WIDTH="12" HEIGHT="26" ALIGN="MIDDLE" BORDER="0"
 SRC="img1.png"
 ALT="$\chi $">
and fractional polarisation <I>m</I> for the source&nbsp;3C&nbsp;277.1. Layout as in Fig.&nbsp;<a href="/articles/aa/full_html/2009/28/aa11815-09/aa11815-09.html#figA.1">A.1</a>.</p></td>
</tr><tr><td colspan="2"><a href="http://dexter.edpsciences.org/applet.php?pdf_id=9&DOI=10.1051/0004-6361/200911815" target="DEXTER">Open with DEXTER</a></td></tr>

</table></div><div class="inset-old">
<table>
<tr><td><!-- init Label --><A NAME="figA.9">&#160;</A><!-- end Label--><A NAME="1779"></A><A NAME="figure1615"
 HREF="img62.png"><IMG
 WIDTH="174" HEIGHT="84" SRC="Timg62.png"
 ALT="\begin{figure}
\includegraphics[width=7.7cm,clip]{11815a10.ps}\includegraphics[width=7.7cm,clip]{11815b10.ps}
\end{figure}"></A><!-- HTML Figure number: 10 --></td>
<td class="img-txt"><span class="bold">Figure A.9:</span><p>
Position angles <IMG
 WIDTH="12" HEIGHT="26" ALIGN="MIDDLE" BORDER="0"
 SRC="img1.png"
 ALT="$\chi $">
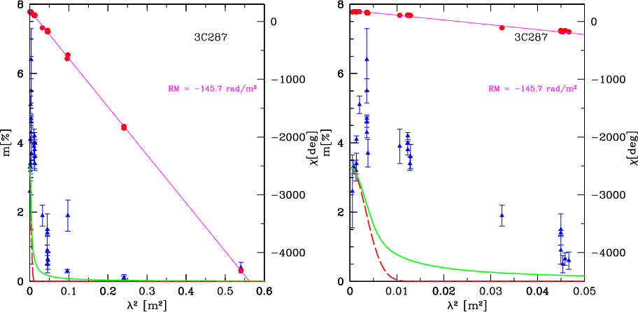
and fractional polarisation <I>m</I> for the source&nbsp;3C&nbsp;287. Layout as in Fig.&nbsp;<a href="/articles/aa/full_html/2009/28/aa11815-09/aa11815-09.html#figA.1">A.1</a>.</p></td>
</tr><tr><td colspan="2"><a href="http://dexter.edpsciences.org/applet.php?pdf_id=10&DOI=10.1051/0004-6361/200911815" target="DEXTER">Open with DEXTER</a></td></tr>

</table></div><div class="inset-old">
<table>
<tr><td><!-- init Label --><A NAME="figA.10">&#160;</A><!-- end Label--><A NAME="1780"></A><A NAME="figure1622"
 HREF="img63.png"><IMG
 WIDTH="174" HEIGHT="84" SRC="Timg63.png"
 ALT="\begin{figure}
\includegraphics[width=7.7cm,clip]{11815a11.ps}\includegraphics[width=7.7cm,clip]{11815b11.ps}
\end{figure}"></A><!-- HTML Figure number: 11 --></td>
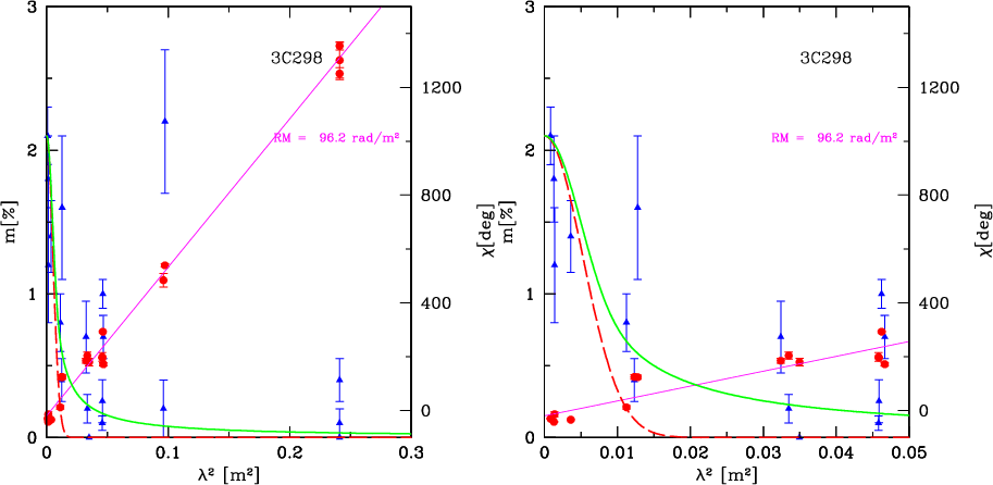
<td class="img-txt"><span class="bold">Figure A.10:</span><p>
Position angles <IMG
 WIDTH="12" HEIGHT="26" ALIGN="MIDDLE" BORDER="0"
 SRC="img1.png"
 ALT="$\chi $">
and fractional polarisation <I>m</I> for the source&nbsp;3C&nbsp;298. Layout as in Fig.&nbsp;<a href="/articles/aa/full_html/2009/28/aa11815-09/aa11815-09.html#figA.1">A.1</a>.</p></td>
</tr><tr><td colspan="2"><a href="http://dexter.edpsciences.org/applet.php?pdf_id=11&DOI=10.1051/0004-6361/200911815" target="DEXTER">Open with DEXTER</a></td></tr>

</table></div>
<p>

<p>
<div class="inset-old">
<table>
<tr><td><!-- init Label --><A NAME="figA.11">&#160;</A><!-- end Label--><A NAME="1781"></A><A NAME="figure1629"
 HREF="img64.png"><IMG
 WIDTH="89" HEIGHT="87" SRC="Timg64.png"
 ALT="\begin{figure}
\par\includegraphics[width=8cm,clip]{11815a12.ps}
\end{figure}"></A><!-- HTML Figure number: 12 --></td>
<td class="img-txt"><span class="bold">Figure A.11:</span><p>
Position angles <IMG
 WIDTH="12" HEIGHT="26" ALIGN="MIDDLE" BORDER="0"
 SRC="img1.png"
 ALT="$\chi $">
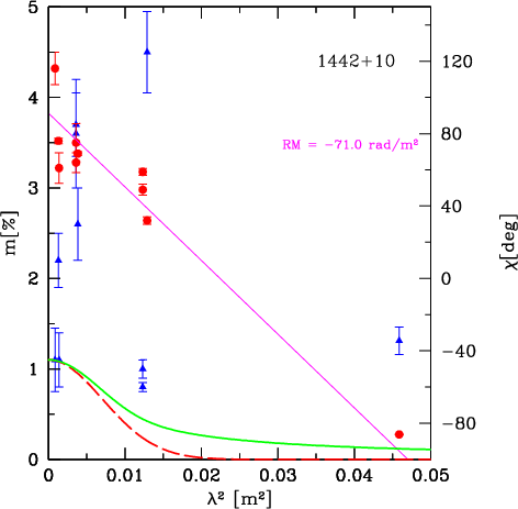
and fractional polarisation <I>m</I> for the source&nbsp;1442+10. Layout as in Fig.&nbsp;<a href="/articles/aa/full_html/2009/28/aa11815-09/aa11815-09.html#figA.1">A.1</a>.</p></td>
</tr><tr><td colspan="2"><a href="http://dexter.edpsciences.org/applet.php?pdf_id=12&DOI=10.1051/0004-6361/200911815" target="DEXTER">Open with DEXTER</a></td></tr>

</table></div>
<p>

<p>
<div class="inset-old">
<table>
<tr><td><!-- init Label --><A NAME="figA.12">&#160;</A><!-- end Label--><A NAME="1782"></A><A NAME="figure1635"
 HREF="img65.png"><IMG
 WIDTH="181" HEIGHT="87" SRC="Timg65.png"
 ALT="\begin{figure}
\par\includegraphics[width=8cm,clip]{11815a13.ps}\includegraphics[width=8cm,clip]{11815b13.ps}
\end{figure}"></A><!-- HTML Figure number: 13 --></td>
<td class="img-txt"><span class="bold">Figure A.12:</span><p>
Position angles <IMG
 WIDTH="12" HEIGHT="26" ALIGN="MIDDLE" BORDER="0"
 SRC="img1.png"
 ALT="$\chi $">
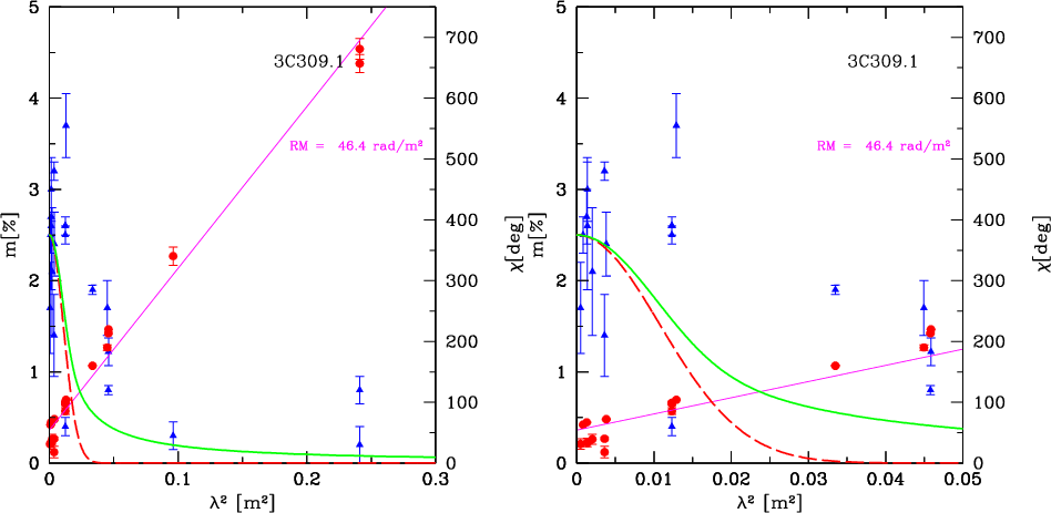
and fractional polarisation <I>m</I> for the source&nbsp;3C&nbsp;309.1. Layout as in Fig.&nbsp;<a href="/articles/aa/full_html/2009/28/aa11815-09/aa11815-09.html#figA.1">A.1</a>.</p></td>
</tr><tr><td colspan="2"><a href="http://dexter.edpsciences.org/applet.php?pdf_id=13&DOI=10.1051/0004-6361/200911815" target="DEXTER">Open with DEXTER</a></td></tr>

</table></div>
<p>
<div class="inset-old">
<table>
<tr><td><!-- init Label --><A NAME="figA.13">&#160;</A><!-- end Label--><A NAME="1783"></A><A NAME="figure1642"
 HREF="img66.png"><IMG
 WIDTH="181" HEIGHT="86" SRC="Timg66.png"
 ALT="\begin{figure}
\addtocounter{figure}{+0}
\par\includegraphics[width=8cm,clip]{11815a14.ps}\includegraphics[width=8cm,clip]{11815b14.ps}
\end{figure}"></A><!-- HTML Figure number: 14 --></td>
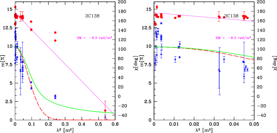
<td class="img-txt"><span class="bold">Figure A.13:</span><p>
Position angles <IMG
 WIDTH="12" HEIGHT="26" ALIGN="MIDDLE" BORDER="0"
 SRC="img1.png"
 ALT="$\chi $">
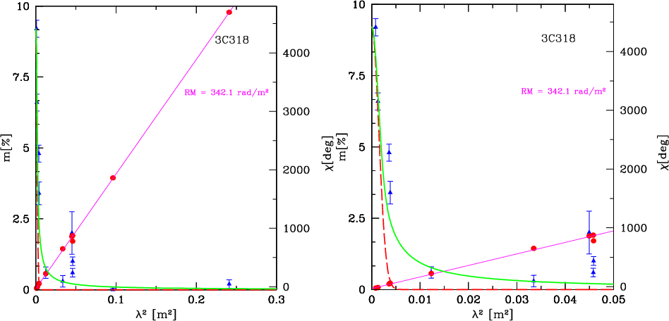
and fractional polarisation <I>m</I> for the source&nbsp;3C&nbsp;318. Layout as in Fig.&nbsp;<a href="/articles/aa/full_html/2009/28/aa11815-09/aa11815-09.html#figA.1">A.1</a>.</p></td>
</tr><tr><td colspan="2"><a href="http://dexter.edpsciences.org/applet.php?pdf_id=14&DOI=10.1051/0004-6361/200911815" target="DEXTER">Open with DEXTER</a></td></tr>

</table></div>
<p>
<div class="inset-old">
<table>
<tr><td><!-- init Label --><A NAME="figA.14">&#160;</A><!-- end Label--><A NAME="1784"></A><A NAME="figure1651"
 HREF="img67.png"><IMG
 WIDTH="181" HEIGHT="86" SRC="Timg67.png"
 ALT="\begin{figure}
\par\includegraphics[width=8cm,clip]{11815a15.ps}\includegraphics[width=8cm,clip]{11815b15.ps}
\end{figure}"></A><!-- HTML Figure number: 15 --></td>
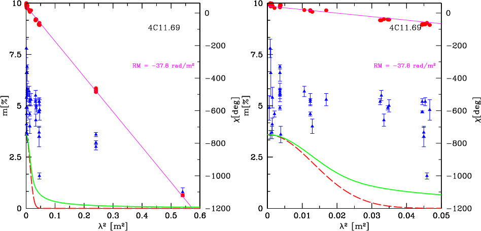
<td class="img-txt"><span class="bold">Figure A.14:</span><p>
Position angles <IMG
 WIDTH="12" HEIGHT="26" ALIGN="MIDDLE" BORDER="0"
 SRC="img1.png"
 ALT="$\chi $">
and fractional polarisation <I>m</I> for the source&nbsp;4C&nbsp;11.69. Layout as in Fig.&nbsp;<a href="/articles/aa/full_html/2009/28/aa11815-09/aa11815-09.html#figA.1">A.1</a>.</p></td>
</tr><tr><td colspan="2"><a href="http://dexter.edpsciences.org/applet.php?pdf_id=15&DOI=10.1051/0004-6361/200911815" target="DEXTER">Open with DEXTER</a></td></tr>

</table></div>
<p>
<div class="inset-old">
<table>
<tr><td><!-- init Label --><A NAME="figA.15">&#160;</A><!-- end Label--><A NAME="1785"></A><A NAME="figure1658"
 HREF="img68.png"><IMG
 WIDTH="181" HEIGHT="86" SRC="Timg68.png"
 ALT="\begin{figure}
\par\includegraphics[width=8cm,clip]{11815a16.ps}\includegraphics[width=8cm,clip]{11815b16.ps}
\end{figure}"></A><!-- HTML Figure number: 16 --></td>
<td class="img-txt"><span class="bold">Figure A.15:</span><p>
Position angles <IMG
 WIDTH="12" HEIGHT="26" ALIGN="MIDDLE" BORDER="0"
 SRC="img1.png"
 ALT="$\chi $">
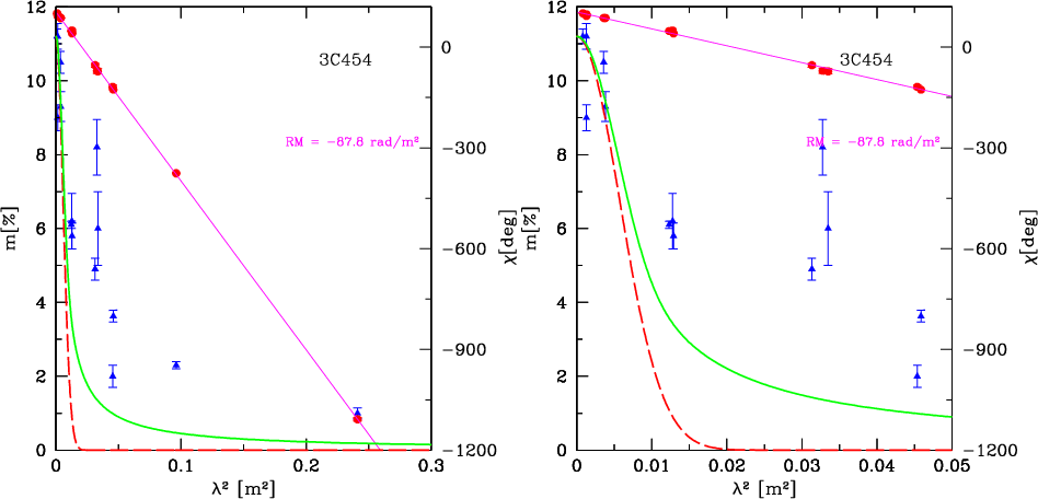
and fractional polarisation <I>m</I> for the source&nbsp;3C&nbsp;454. Layout as in Fig.&nbsp;<a href="/articles/aa/full_html/2009/28/aa11815-09/aa11815-09.html#figA.1">A.1</a>.</p></td>
</tr><tr><td colspan="2"><a href="http://dexter.edpsciences.org/applet.php?pdf_id=16&DOI=10.1051/0004-6361/200911815" target="DEXTER">Open with DEXTER</a></td></tr>

</table></div>
<p>
<div class="inset-old">
<table>
<tr><td><!-- init Label --><A NAME="figA.16">&#160;</A><!-- end Label--><A NAME="1786"></A><A NAME="figure1665"
 HREF="img69.png"><IMG
 WIDTH="181" HEIGHT="87" SRC="Timg69.png"
 ALT="\begin{figure}
\par\includegraphics[width=8cm,clip]{11815a17.ps}\includegraphics[width=8cm,clip]{11815b17.ps}
\end{figure}"></A><!-- HTML Figure number: 17 --></td>
<td class="img-txt"><span class="bold">Figure A.16:</span><p>
Position angles <IMG
 WIDTH="12" HEIGHT="26" ALIGN="MIDDLE" BORDER="0"
 SRC="img1.png"
 ALT="$\chi $">
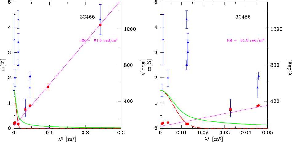
and fractional polarisation <I>m</I> for the source&nbsp;3C&nbsp;455. Layout as in Fig.&nbsp;<a href="/articles/aa/full_html/2009/28/aa11815-09/aa11815-09.html#figA.1">A.1</a>.</p></td>
</tr><tr><td colspan="2"><a href="http://dexter.edpsciences.org/applet.php?pdf_id=17&DOI=10.1051/0004-6361/200911815" target="DEXTER">Open with DEXTER</a></td></tr>

</table></div>
<p>

<p>

<h2 class="sec"><a name="SECTION000100000000000000000"></a>
Appendix 2
</h2>

<p>

<h3 class="sec2"><a name="SECTION000101000000000000000"></a>
2.1 Sources following the Tribble model
</h3>

<p>
The model proposed by Tribble reproduces the data of about one third of our sample, namely of 3C&nbsp;48, 3C&nbsp;67, 3C&nbsp;119, 3C&nbsp;138, 3C&nbsp;268.3, 3C&nbsp;277.1, and 3C&nbsp;318. Sources such as 3C&nbsp;48, 3C&nbsp;67, 3C&nbsp;138, and 3C&nbsp;277.1 also show RM&nbsp;<IMG
 WIDTH="20" HEIGHT="26" ALIGN="MIDDLE" BORDER="0"
 SRC="img70.png"
 ALT="$< \la $">
few 10&nbsp;rad&nbsp;m<sup>-2</sup>, which is an indication of an unresolved foreground screen, presumably the halo of our own Galaxy.

<p>
The source 3C&nbsp;119, which has a very high RM and thus a fast decline in its fractional polarisation, might already be affected by significant depolarisation at wavelengths shorter than 2.8&nbsp;cm. A&nbsp;higher&nbsp;<I>m</I><SUB>0</SUB> would lead to depolarisation according to the Tribble&nbsp;law.

<p>

<h3 class="sec2"><a name="SECTION000102000000000000000"></a>
2.2 Sources with an indication of repolarisation
</h3>

<p>
Eight sources (3C 43, 0319+12, 3C 287, 1442+10, 3C 309.1, 4C 11.69, 3C 454, and 3C 455) show indications of repolarisation, i.e., an increase in fractional polarisation with decreasing frequency, generally at short wavelengths <IMG
 WIDTH="13" HEIGHT="26" ALIGN="MIDDLE" BORDER="0"
 SRC="img71.png"
 ALT="$\la$">10&nbsp;cm; this corresponds to a relatively 
strong increase in fractional polarisation followed by a decline that can still be described by the Tribble law. This effect is visible despite possible instrumental effects of different telescopes and also considering that observations were made at different epochs. In three of these sources (3C&nbsp;309.1, 4C&nbsp;11.69, 3C&nbsp;454), the repolarisation effect is indeed confused with possible time variability. Focusing on our simultaneous measurements only, we still find constant or slightly
increasing fractional polarisation with increasing wavelength, which is not predicted by any depolarisation model.  In particular, the galaxy&nbsp;3C&nbsp;455 shows a measured repolarisation 
greater than the 3<IMG
 WIDTH="12" HEIGHT="26" ALIGN="MIDDLE" BORDER="0"
 SRC="img72.png"
 ALT="$\sigma$">&nbsp;level between 10.45&nbsp;GHz and 2.64&nbsp;GHz together with a small value of theRM<IMG
 WIDTH="10" HEIGHT="26" ALIGN="MIDDLE" BORDER="0"
 SRC="img20.png"
 ALT="$_{\rm rf}$">
(194&nbsp;rad&nbsp;m<sup>-2</sup>), which is an indication of the influence of  a foreground screen, possibly an extended cloud with [OII]&nbsp;emission detected by Hes et&nbsp;al. (<A NAME="aaref12"></A><a href="/articles/aa/full_html/2009/28/aa11815-09/aa11815-09.html#Hes96">1996</a>). 
A&nbsp;plausible mechanism would be the effect of shear layers caused by the interaction between the 
surface of an expanding source and the surrounding medium (Burn <a href="/articles/aa/full_html/2009/28/aa11815-09/aa11815-09.html#Burn66">1966</a>).

<p>
The source 3C&nbsp;455 was observed with the VLA at 8.35&nbsp;GHz by Bogers et&nbsp;al.  (1994). It shows a triple structure with the indication of a jet joining the core with the south western lobe. The three components are almost aligned along the source major axis extending up to about&nbsp;4
<!-- MATH: $\hbox{$^{\prime\prime}$ }$ -->
<IMG
 WIDTH="15" HEIGHT="14" ALIGN="BOTTOM" BORDER="0"
 SRC="img73.png"
 ALT="$\hbox{$^{\prime\prime}$ }$">.
However, 3C&nbsp;455 appears slightly resolved by the NVSS, which has a restoring beam of&nbsp;45
<!-- MATH: $\hbox{$^{\prime\prime}$ }$ -->
<IMG
 WIDTH="15" HEIGHT="14" ALIGN="BOTTOM" BORDER="0"
 SRC="img73.png"
 ALT="$\hbox{$^{\prime\prime}$ }$">,
suggesting that the three components imaged by Bogers et&nbsp;al. are actually embedded in a more extended region of low brightness emission. This can be seen in the image available in the VLA Low-Frequency Sky Survey (VLSS; Cohen et&nbsp;al. <A NAME="aaref4"></A><a href="/articles/aa/full_html/2009/28/aa11815-09/aa11815-09.html#Cohen07">2007</a>) at 74&nbsp;MHz, which shows an even more extended structure of about 2
<!-- MATH: $\hbox{$^\prime$ }$ -->
<IMG
 WIDTH="10" HEIGHT="14" ALIGN="BOTTOM" BORDER="0"
 SRC="img74.png"
 ALT="$\hbox{$^\prime$ }$">
in&nbsp;size. The existence of this extended emission is supported by the source spectral index, which indicates an upturn towards higher flux density above <IMG
 WIDTH="13" HEIGHT="14" ALIGN="BOTTOM" BORDER="0"
 SRC="img3.png"
 ALT="$\sim$">100&nbsp;MHz.  Therefore, a second  possible interpretation is that by observing at 2.64&nbsp;GHz or lower  frequencies, we have integrated the  flux density and polarised flux density from that region. At&nbsp;10.45&nbsp;GHz, the steep spectrum extended structure is below the detection limit.

<p>
A similar case of repolarisation at a lower frequency was pointed out by 
Montenegro-Montes et&nbsp;al. (<a href="/articles/aa/full_html/2009/28/aa11815-09/aa11815-09.html#Montenegro-Montes08">2008</a>) for the source&nbsp;1159+01.

<p>

<h3 class="sec2"><a name="SECTION000103000000000000000"></a>
2.3 Polarisation variability
</h3>

<p>
Finally, 3C&nbsp;298 could exhibit time variability in its fractional polarisation. Unfortunately, the current data base does not provide a sufficient number of simultaneous measurements to prove this effect, which was reported  for example by Aller et&nbsp;al. (<A NAME="aaref1"></A><a href="/articles/aa/full_html/2009/28/aa11815-09/aa11815-09.html#Aller2003">2003</a>) for the source&nbsp;3C&nbsp;147.

<p>
<br>

</div></body></html>