| Issue |
A&A
Volume 503, Number 2, August IV 2009
|
|
|---|---|---|
| Page(s) | L13 - L16 | |
| Section | Letters | |
| DOI | https://doi.org/10.1051/0004-6361/200912620 | |
| Published online | 28 July 2009 | |
Online Material
Appendix A: The FUV luminosity
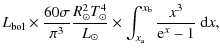
For the modeling in Sect. 4, the FUV luminosity
is required. Assuming the protostar to emit a blackbody spectrum, this quantity depends on the bolometric luminosity
and the effective temperature
.
While
of the embedded protostar can be determined relatively well from photometry in the IR and is assumed to be given in the following, only rough estimations of
are available, since photons are absorbed or redistributed to longer wavelengths by the high dust and gas column density toward the source.
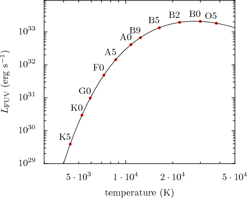
![]() |
Figure A.1:
Luminosity in the FUV band depending on
|
| Open with DEXTER | |
The Stefan-Boltzmann law requires
with the source radius R, the Stefan-Boltzmann constant
with
How does this temperature dependence affect the results of the models in Sect. 4? In the absence of any attenuation,
erg s-1 is required to provide the necessary FUV field of
ISRF at position B for heating. Assuming the bolometric luminosity to be correct, the temperature needs to be higher than 6800 K. For a temperature of
K instead of
K, the FUV luminosity decreases by a factor of 2 and the required column density for attenuation (Sect. 4) reduces to
.
We conclude that the modeling results are not affected by
as long as the temperature exceeds about 104 K.
Current usage metrics show cumulative count of Article Views (full-text article views including HTML views, PDF and ePub downloads, according to the available data) and Abstracts Views on Vision4Press platform.
Data correspond to usage on the plateform after 2015. The current usage metrics is available 48-96 hours after online publication and is updated daily on week days.
Initial download of the metrics may take a while.
![\begin{figure}
\par\includegraphics[width=7.3cm,clip]{12620fg4.eps}
\end{figure}](/articles/aa/olm/2009/32/aa12620-09/Timg61.png)


