Issue |
A&A
Volume 506, Number 3, November II 2009
|
|
---|---|---|
Page(s) | 1429 - 1436 | |
Section | The Sun | |
DOI | https://doi.org/10.1051/0004-6361/200912044 | |
Published online | 27 August 2009 |
Online Material
Appendix A: Parameter evolution
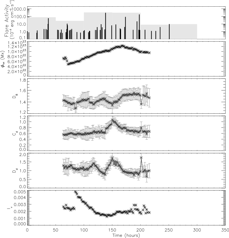
In Figs. A.1-A.14 we report the evolution of the flare activity, total magnetic flux


![]() |
Figure A.1:
Flare activity,
|
Open with DEXTER |
![]() |
Figure A.2:
Flare activity,
|
Open with DEXTER |
![]() |
Figure A.3:
Flare activity,
|
Open with DEXTER |
![]() |
Figure A.4:
Flare activity,
|
Open with DEXTER |
![]() |
Figure A.5:
Flare activity,
|
Open with DEXTER |
![]() |
Figure A.6:
Flare activity,
|
Open with DEXTER |
![]() |
Figure A.7:
Flare activity,
|
Open with DEXTER |
![]() |
Figure A.8:
Flare activity,
|
Open with DEXTER |
![]() |
Figure A.9:
Flare activity,
|
Open with DEXTER |
![]() |
Figure A.10:
Flare activity,
|
Open with DEXTER |
![]() |
Figure A.11:
Flare activity,
|
Open with DEXTER |
![]() |
Figure A.12:
Flare activity,
|
Open with DEXTER |
![]() |
Figure A.13:
Flare activity,
|
Open with DEXTER |
![]() |
Figure A.14:
Flare activity,
|
Open with DEXTER |
Current usage metrics show cumulative count of Article Views (full-text article views including HTML views, PDF and ePub downloads, according to the available data) and Abstracts Views on Vision4Press platform.
Data correspond to usage on the plateform after 2015. The current usage metrics is available 48-96 hours after online publication and is updated daily on week days.
Initial download of the metrics may take a while.