A&A 457, 385-391 (2006)
DOI: 10.1051/0004-6361:20065581

High order correction terms for the peak-peak correlation function in nearly-Gaussian models

A. P. A. Andrade1,2 - A. L. B. Ribeiro1 - C. A. Wuensche2


1 - Laboratório de Astrofísica Teórica e Observacional, Universidade Estadual de Santa Cruz, Brazil
2 - Divisão de Atrofísica, Instituto Nacional de Pesquisas Espaciais, Brazil

Received 10 May 2006 / Accepted 9 June 2006

Abstract
Context. One possible way to investigate the nature of the primordial power spectrum fluctuations is by investigating the statistical properties of the local maximum in the density fluctuation fields.
Aims. In this work we present a study of the mean correlation function, $\xi_r$, and the correlation function for high-amplitude fluctuations (peak-peak correlation) in a slighlty non-Gaussian context.
Methods. From the definition of the correlation excess, we computed the Gaussian two-point correlation function and, using an expansion in generalized Hermite polynomials, we estimated the correlation of high-density peaks in a non-Gaussian field with a generic distribution and power spectrum. We also applied the results to a scale-mixed distribution model, which corresponds to a nearly Gaussian model.
Results. The results reveal that, even for a small deviation from Gaussianity, we can expect high-density peaks to be much more correlated than in a Gaussian field with the same power spectrum. In addition, the calculations reveal how the amplitude of the peaks in the fluctuation field is related to the existing correlations.
Conclusions. Our results may be used as an additional tool for investigating the behavior of the N-point correlation function, to understand how non-Gaussian correlations affect the peak-peak statistics, and extract more information about the statistics of the density field.

Key words: methods: statistical - large-scale structure of Universe

1 Introduction

Investigation of the statistical properties of cosmological density fluctuations is a very useful tool for understanding the origin of the cosmic structure. Cosmological models to describe primordial fluctuations can be roughly divided into two classes: Gaussian and non-Gaussian. The most accepted model for structure formation assumes initial quantum fluctuations created during inflation and amplified by gravitational effects. The standard inflationary models predict an uncorrelated random field, with a scale-invariant power spectrum, which follows a nearly-Gaussian distribution (Guth & Pi 1982; Gangui et al. 1994). However, non-Gaussian fluctuations are also allowed in a wide class of alternative models, such as: the multiple interactive fields (Allen et al. 1987; Salopek et al. 1989), the cosmic defects models (Kibble 1976), and the hybrid models (Magueijo & Brandenbergher 2000; Battye & Weller 2000). By discriminating between different classes of models, the statistical properties of the fluctuations field can be used to investigate the nature of cosmic structure. However, non-Gaussian models include an infinite range of possible statistics. As a consequence, performing statistical tests of this kind is not a straightforward task, since there is no adequate general test for every kind of model. To attack this problem, any effort to better understand how the statistical properties of the density fluctuation field affect the observed Universe is welcome, since it may bring extra pieces of information to the investigation of cosmic structure.

Due to the importance of characterizing non-Gaussian signatures, many statistical approaches have been used to study the distribution of fluctuations in the cosmic microwave background radiation (CMBR) (Chiang et al. 2003; Bond & Efstathiou 1987; Eriksen et al. 2005; Cabella et al. 2004; Komatsu et al. 2003) and the large-scale structure (LSS) (Frith et al. 2005; Takada & Jain 2003; Verde et al. 2001; Fry 1985). One possible way to investigate the nature of the primordial power spectrum fluctuations is by investigating the statistical properties of the local maximum in the density fluctuation fields. Since some of the peak properties, such as number, frequency, correlation, height, and extrema, are highly dependent upon the statistics of the fluctuation field, we can gather information about the statistical distribution function by studying the morphological properties of the fluctuations fields (Bardeen et al. 1986; Novikov et al. 1999; Larson & Wandelt 2005). Other useful statistical estimators applied to investigate density fluctuations are the wavelets tools (McEwen et al. 2004; Mukherjee & Wang 2004; Vielva et al. 2004), the phase correlations (Coles et al. 2004; Naselsky et al. 2005), and the most widely used estimator: the N-point correlations in phase (Lewin et al. 1999; Verde & Heavens 2001; Komatsu et al. 2005) or density spaces (Takada & Jain 2005; Coles & Jones 1991; Heavens & Sketh 1999; Heavens & Gupta 2001; Peebles 2001; Eriksen et al. 2004).

The extensive use of the two-point correlation function to characterize the statistical properties of the fluctuations field is justified by the mathematical simplicity in the Gaussian condition, since the mean correlation function can be obtained analytically, and it specifies a Gaussian distribution completely (as well as its power spectrum). However, this assumption is not true for a non-Gaussian case, where higher order correlations may make a significant contribution, despite the great effort demanded to compute a wide range of correlations. However, it is possible to detect primordial non-Gaussianity with a non-zero measure of the N-point correlation $ (n \ensuremath {\ge} 3)$. In order to achieve a good description of non-Gaussian signatures in cosmic structure, many works have been done to estimate the three-point correlation function and the related bi or tri-spectrum for a few classes of non-Gaussian models (Verde & Heavens 2001; Komatsu et al. 2003; Eriksen et al. 2005; Komatsu et al. 2005; Gaztanaga & Wagg 2004; Hansen et al. 2004; Creminelli et al. 2005; De Troia et al. 2003). It is believed that, with the advent of the CMBR experiments and the high quality surveys in cosmology, the N-point correlation function will be the main statistical descriptor for the cosmic structure.

In this work we present a technique for extracting non-Gaussian components from a two-point correlation function. In the presence of a non-Gaussian component, and even between two points, it is possible to estimate the influence of higher order correlations for models with different statistical descriptions. By performing the calculation of the high-order correction terms for the peak-peak correlation function, we show how the amplitude of peaks is dependent on the correlations involved. We point out that for a non-Gaussian statistics the higher order correlations impose some restrictions for the amplitude of high-density peaks.

This paper is divided as follows. In Sect. 2 we give a general description of a random variable field and estimate the peak-peak correlation function for a Gaussian field. In Sect. 3 we describe the general treatment to obtain the peak-peak non-Gaussian correlation function. In Sect. 4 we apply the calculations for a slightly non-Gaussian model in two steps: first we consider an approximated solution for a non-Gaussian model with null high-order correlations and finally we estimate the complete solution for a slightly non-Gaussian field. In Sect. 5, we summarize our results and discuss the possibilities for using the peak-peak correlation function as a statistical descriptor of the density fluctuation field.

2 Random variable fields

Most of the models for the early universe (i.e. inflation) actually predict that the fluctuation field is random. This requires that  $\delta({\bf x})$ be treated as a random variable in the 3D-space and assumes that the universe is a random realization of a statistical ensemble of possible universes.

We define a random variable, \ensuremath{\delta}, using the fact that, instead of knowing its exact value, we only know how to measure various values of \ensuremath{\delta_1}, \ensuremath{\delta_2}, ... \ensuremath{\delta_n}, which define a random variable field under certain experimental conditions. Therefore, a random variable can only be characterized by a certain statistical ensemble of realizations. When we say that a random variable is known, it means that we only know the statistical sample that characterizes it. To completely describe the statistical properties of a random variable, \ensuremath{\delta}, we define the probability density function, $P[\delta]$, which can be obtained from the Fourier transform of the characteristic distribution function, $\Theta_{\delta}$ (Gnedenko & Kolmogorov 1968):

 \begin{displaymath}%
P[\delta]=\frac{1}{2\pi}\int_{-\infty}^{\infty}{\rm e}^{-{\rm i}u\delta}\Theta_{\delta}(u){\rm d}u.
\end{displaymath} (1)

The characteristic function, $\Theta_{\delta}(u)$, can be obtained by the McLaurin series for the moments, m:

 \begin{displaymath}%
\Theta_{\delta}(u)=1+\sum_{n=1}^{\infty}\frac{({\rm i}u)^n}{n!}m_n, \ \ {\rm for}: m_n=\left<\delta^n\right>.
\end{displaymath} (2)

Another possibility for obtaining the characteristic function of a random variable is to use the distribution in series of cumulants:

 \begin{displaymath}%
\Theta_{\delta}(u)=\exp\left[\sum_{n=1}^{\infty}\frac{({\rm...
...eft< \left( \delta - \langle \delta \rangle \right)^n \right>.
\end{displaymath} (3)

Since the physical importance of the cumulants kn in Eq. (3) decreases as n increases, it is usual to confine the statistical calculations of random variables to the first few terms of the cumulant distribution series and, for convenience, set the higher order terms to zero. However, the calculations presented in the next sections show that, even if the cumulant terms are very small, they can significantly contribute to the statistical description of non-Gaussian fields.

2.1 Correlations in a random field

The main numerical indication of the correlation degree between random variables are the N-order correlation functions. The autocorrelation (or double correlation) for a random variable $\delta$ is defined by:

 \begin{displaymath}%
K_2[\delta_1\delta_2]=\left<\delta_1\delta_2\right>-\left<\delta_1\right>\left<\delta_2\right>.
\end{displaymath} (4)

The triple correlation is similarly defined in terms of all possible combinations between the three variables, as:
 
$\displaystyle %
K_3[\delta_1\delta_2\delta_3] = \left<\delta_1\delta_2\delta_3\...
...\delta_1\delta_2]-\left<\delta1\right>\left<\delta2\right>\left<\delta3\right>.$     (5)

Note that, in the case where we have the same three variables ( \ensuremath{\delta_1} = \ensuremath{\delta_2} = \ensuremath{\delta_3}), the three-point correlation function is similar to the third cumulant of the distribution. Higher order correlations between several variables can be defined, in a similar way, by the difference between all the possible correlations involved.

For a statistical process where the correlation functions of order greater than one are null, we set the variable described by this correlation function as not random, or deterministic. In the case where the correlation functions of order greater than two are null, we have a Gaussian variable. For the case of correlation functions of order greater than two and not completely null, the variable is considered to be non-Gaussian. In this sense, we can say that a Gaussian random field is a simplified version of a general random field.

Usually, the cosmological density fluctuation field is statistically described by the mean correlation function, \ensuremath{\xi(r)}, applied to a galaxy or a cluster distribution, with two-point mean separation defined by r (Peebles 1980). For an isotropic and homogenous field, the correlation function is defined as the excess of probability for a density field described by a Poisson distribution. Therefore, the probability of finding two points in a volume  ${\rm d}V_1{\rm d}V_2$, separated by a distance r12 is given by:

 \begin{displaymath}%
{\rm d}P = n^2{\rm d}V_1{\rm d}V_2\left[1 + \xi(r_{12})\right].
\end{displaymath} (6)

Describing the fluctuation field in Fourier modes, we have:

 \begin{displaymath}%
\xi (r) \equiv \left< \sum_{k}\sum_{k'}\delta_k \delta_{k'}...
...)\cdot \vec r} {\rm e}^{-{\rm i} \vec k \cdot \vec r} \right>,
\end{displaymath} (7)

which is equivalent, in a continuous space, to:

 \begin{displaymath}%
\xi (r) = \frac {V}{(2\pi)^3} \int \left\vert\delta_k\right\vert^2 {\rm e}^{-{\rm i} \vec k \cdot \vec r} {\rm d}^3 \vec k.
\end{displaymath} (8)

2.2 High density peaks in a Gaussian random field

For a Gaussian random field, the n-dimensional probability density function can be estimated from the Fourier transform of the characteristic function (Eqs. (1) and (2)) defined for the moment distribution of s  \ensuremath{\leq} 2:

 
$\displaystyle P^G[\delta_1,\delta_2 ... \delta_n]
=\frac{1}{(2\pi)^n} \int_{0}^...
...ft[-{\rm i}\displaystyle
\sum_{\alpha=1}^{n} u_{\alpha}\delta_{\alpha}\right]}.$     (9)

The expression above can be reduced to:
 
$\displaystyle P^G[\delta_1,\delta_2 ... \delta_n]~~=~~\frac{1}{(2\pi)^{\frac{n}...
...elta_{\alpha})\right]
\left[ \delta_{\beta}-K_1(\delta_{\beta})\right] \right],$     (10)

where ${\rm det}\Vert K_2(\delta_\alpha,\delta_\beta) \Vert$ and $\Vert a_{\alpha\beta}
\Vert$ are the determinant and the inverse of the correlation matrix respectively.

For a bidimensional Gaussian fluctuation field with zero mean, the correlation matrix can be obtained and inverted, resulting in:

 \begin{displaymath}%
P^G[\delta_1,\delta_2] = \frac{1}{2\pi\sigma^2}\left(\frac{1}{1-A^2}\right)^\frac{1}{2}{\rm e}^{-Q[\delta_1,\delta_2]},
\end{displaymath} (11)

where $ A=\frac{\xi_r}{\sigma^2} $, for:

$ \xi_r=\left<\delta_1\delta_2\right>$, $ r = \vert\vec x_2 - \vec
x_1\vert$, $\sigma^2=\left< \delta_1^2\right> = \left<\delta_2^2\right>$, and:

 \begin{displaymath}%
Q= \frac{1}{2} \left(
\frac{1}{1-A^2}\right)\frac{1}{\sigma^2}\left[\delta_1^2+\delta_2^2-2A\delta_1\delta_2 \right],
\end{displaymath} (12)

where $\xi_r$ is equal to $K_2(\delta_1,\delta_2)$, the mean correlation function for a Gaussian field.

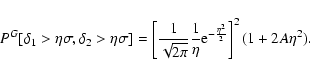
To find the correlation function between high density peaks, we calculate the probability of  \ensuremath{\delta_1} and  \ensuremath{\delta_2} exhibiting density values that are higher than the variance field \ensuremath{\sigma}, by a factor \ensuremath{\eta (\eta > 0)}. For a Gaussian field, this probability is given by the integral (Padmanabhan 1999):

 \begin{displaymath}%
P^G[\delta_1 >\eta\sigma, \delta_2 >\eta\sigma] =
\int_{\e...
..._{\eta\sigma}^{\infty}{\rm d}\delta_2P^{G}[\delta_1,\delta_2].
\end{displaymath} (13)

The integral above can be obtained by substituting Eqs. (9) into (13). For a weakly correlated field, where $A= \frac{\xi_r}{\sigma^2} \ll 1$, and high density peaks, $\eta >1$, the integral above will be
 
$\displaystyle P^G[\delta_1 >\eta\sigma, \delta_2 >\eta\sigma]=
\int_{\eta\sigma...
...ma}\right)F^{p+1}\left(\frac{\delta_2}{\sigma}\right)
\right]\frac{(2A)^p}{p!},$     (14)

where F is the Err function (erf):

 \begin{displaymath}%
F^{p+1}(Z)= \frac{(-{\rm i})^p}{2\pi}
\int_{-\infty}^{\inft...
...ft[ -{\rm i} \lambda z -\frac{z^2}{2} \right]} {\rm d}\lambda.
\end{displaymath} (15)

The final result is

 \begin{displaymath}%
P^G[\delta_1 >\eta\sigma, \delta_2 >\eta\sigma] =
\left[\fr...
...c{1}{\eta} {\rm e}^{-\frac{\eta^2}{2}}\right]^2 (1 +2A\eta^2).
\end{displaymath} (16)

Redefining expression 16, the probability of finding peaks $\delta_1$ and $\delta_2$ with density $\eta$ times the variance, $\sigma$, is

 \begin{displaymath}%
P^G[\delta_1 >\eta\sigma, \delta_2 >\eta\sigma] \equiv
[P^G(\delta>\eta\sigma)]^2 [1 + \xi_{\eta}^G(r)],
\end{displaymath} (17)

where $[P^G[\delta>\eta\sigma)]]^2$ is the mean probability of finding high density peaks in a bi-dimensional random field, and $[1 + \xi_{\eta}^G(r)]$ is the probability excess expressed in terms of the mean correlation function, $\xi_r$. Then, for weakly correlated fields:

 \begin{displaymath}%
\xi_\eta^G(r) \equiv 2A\eta^2 \approx {\rm e}^{2A\eta^2}-1 = \exp\left[2\left(\frac{\eta}{\sigma}
\right)^2\xi_r\right]-1.
\end{displaymath} (18)

3 Correlations in a generic non-Gaussian field

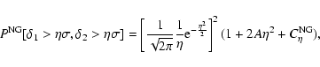
The correlation function of high density peaks in a non-Gaussian field can also be computed using Eq. (13), except that we have to consider the non-Gaussian probability of finding both peaks $\delta_1$ and $\delta_2$, the $P^{\rm NG}[\delta_1,\delta_2]$. This probability can be estimated using Eq. (9), performing the sum over terms of order higher than 2. Since the summation is also computed for additional terms, the result can be synthesized by:

 \begin{displaymath}%
P^{\rm NG}[\delta_1 >\eta\sigma, \delta_2 >\eta\sigma]\! = ...
...
\left[1 \!+\! \xi_{\eta}^G(r)\!+\! C_{\eta}^{\rm NG}\right],
\end{displaymath} (19)

which results in:

 \begin{displaymath}%
P^{\rm NG}[\delta_1 >\eta\sigma, \delta_2 >\eta\sigma] =
\...
...^{-\frac{\eta^2}{2}}\right]^2 (1 +2A\eta^2+C_{\eta}^{\rm NG}),
\end{displaymath} (20)

where the factor $C_{\eta }^{\rm NG}$ carries the corrections terms of higher order (s  \ensuremath{\ge} 3).

One intriguing question we could ask is how important the high-order residual terms for slightly non-Gaussian statistics are. First, we could consider the approximated case in which the extra calculation in Eq. (9) was avoided, so correlation terms of order (s  \ensuremath{>} 2) could be neglected ( $C_{\eta}^{\rm NG} \sim 0$) and the non-Gaussian peak-peak correlation function would be reduced to:

 \begin{displaymath}%
\xi_\eta^{\rm NG}(r) \approx \exp \left[2\left(\frac{\eta}{\sigma}\right)^2\xi_r^{\rm NG}\right]-1.
\end{displaymath} (21)

This solution is similar to the calculation for a Gaussian random field, except that we were considering a non-Gaussian mean correlation function.

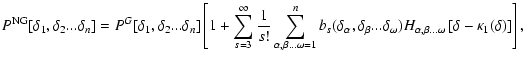
At this point we want to assess the robustness of the assumption $C_{\eta}^{\rm NG} \sim 0$, stated in the previous paragraph. For this purpose, we compute the higher order correction terms considering a slightly non-Gaussian component, which means a very small contribution to correlations of order greater than two. However, the non-Gaussian probability described in Eq. (9) cannot be calculated using the Fourier transform of the characteristic function, since there is no analytical solution for that expression. One possible way to obtain $P^{\rm NG}[\delta_1,\delta_2]$, as suggested by Gnedenko & Kolmogorov (1968), is to expand it in a series of generalized Hermite polynomials, H:

 
$\displaystyle P^{\rm NG}[\delta_1,\delta_2 ...\delta_n]= P^G[\delta_1,\delta_2....
...\omega)H_{\alpha,\beta...\omega}\left[\delta -\kappa_1 (\delta) \right]\right],$     (22)

where bs is the quasi-moment function and  \ensuremath{\kappa_1} the first cumulant of the distribution. The definitions of bs and H are given in Appendix A. By Eq. (22), the non-Gaussian probability is expressed in terms of a Gaussian probability added to higher order $(s \ge 3)$ correction terms, which are related to the deviation from Gaussianity. Combining Eqs. (13), (19), and (22), we can estimate the higher-order correction term for a bi-dimensional using the following:
 
$\displaystyle C^{\rm NG}_{\eta}~~=~~\int_{\eta\sigma}^{\infty} \int_{\eta\sigma...
...a,\delta_\beta)H_{\alpha,\beta}\left[\delta
-\kappa_1 (\delta) \right] \right].$     (23)

Note that the calculation of $C^{\rm NG}_\eta$ starts at s  \ensuremath{\ge} 3, ensuring that the terms used in the expansion are related to the non-Gaussian contributions. Details of the calculation involved in these higher order terms are also presented in Appendix A.

4 Correlations in a nearly-Gaussian field

In order to estimate how the high-order terms affect the correlation between high-density peaks, we estimated the  $\xi_{\eta}$ for a Gaussian and a slightly non-Gaussian field, computing the approximated solutions (Eq. (21)) and the full calculation of the expansion (Eq. (22)) until $s \leq 6$ order. For this comparison, we have considered a mixed probability distribution, as proposed by Ribeiro et al. (2001), hereafter (RWL).

4.1 The mixture model

The general procedure to create a wide class of non-Gaussian models is to admit the existence of an operator that transforms Gaussianity into non-Gaussianity according to a specific rule. An alternative approach for studing non-Gaussian fields was proposed by RWL, in which the PDF is treated as a mixture: $P(\psi)= (1- \alpha)
f_1(\phi) + \alpha f_2(\phi)$, where $f_1(\phi)$ is a (dominant) Gaussian PDF and $f_2(\phi)$ is a second distribution, with $0 \le \alpha \le 1$. The $\alpha$ parameter gives the absolute level of Gaussian deviation, while $f_2(\phi)$ modulates the shape of the resultanting non-Gaussian distribution. RWL used this mixed scenario to probe the evolution of galaxy cluster abundance in the universe and found that even at a level of non-Gaussianity $(\alpha \sim 10^{-4}{-}10^{-3})$ the mixed field can introduce significant changes in the cluster abundance rate.

The effects of such mixed models in the CMBR power spectrum, combining a Gaussian adiabatic field with a second non-Gaussian isocurvature fluctuation field to produce a positive skewness density field, was discussed by Andrade et al. (2004) (hereafter AWR04). In this approach, they adopted a scale-dependent mixture parameter and a power-law initial spectrum to simulate the CMBR temperature and polarization power spectra for a flat \ensuremath{\Lambda}-CDM model, generating a large grid of cosmological-parameter combination. The choice of a scale-dependent mixture is not unjustified, since it could fit both CMB and high-z galaxy clustering in the Universe (e.g. AWR04; Avelino & Liddle 2004; Mathis et al. 2004). At the same time, in a mixed scenario, the scale-dependence acts in order to keep a continuously mixed field inside the Hubble horizon. Simulation results show how the shape and amplitude of the fluctuations in CMBR depend upon such mixed fields and how a standard adiabatic Gaussian field can be distinguished from a mixed non-Gaussian one. They also allow one to quantify the contribution of the second component. By applying a $\chi^2$ test to recent CMBR observations, the contribution of the isocurvature field was estimated by Andrade et al. (2005) (hereafter AWR05) as \ensuremath{\alpha}0 = 0.0004  \ensuremath{\pm} 0.00030 with a 68% confidence limit. In the present work, we also investigate the predictions of scale-dependent mixed non-Gaussian cosmological density fields for the peak-peak correlation function.

4.2 The two-point correlation function

To obtain the mean correlation function, $\xi_r$, we have computed the Fourier transform of the power spectrum related to a pure Gaussian field and a mixed non-Gaussian PDF. In this sense, we rewrite Eq. (8), which is equivalent to:

 \begin{displaymath}%
\xi (r) = \frac {V}{(2\pi)^3} \int_{0}^{\infty} P(k)k^2{\rm...
...}^{2\pi}{\rm d}\phi\int_{-1}^{1}{\rm e}^{-{\rm i}kru}{\rm d}u,
\end{displaymath} (24)

where $u=\cos \theta$. For an isotropic field, we have:

 \begin{displaymath}%
\xi (r) = \frac {V}{(2\pi)^3} \int_{0}^{\infty} P^{\rm NG}(k)\frac{\sin(kr)}{kr}k^2{\rm d}k.
\end{displaymath} (25)

For the mixture correlation function, we consider a mixed-scale power spectrum described as:

 \begin{displaymath}%
P^{Mix}(k)=A_{n}P(k)[1+M(\alpha_0)k] = \beta k^n[1+M(\alpha_0)k].
\end{displaymath} (26)

This power spectrum was estimated by the correlated mixed-model that considers a possible mixture, inside the horizon, between fluctuations of an adiabatic Gaussian field and an isocurvature non-Gaussian one (AWR04). In this model, $\alpha_0$ is the mixture parameter that modulates the contribution of the isocurvature field ( \ensuremath{\alpha} $_{0} =
(0.00042 \ensuremath{\pm}0.00030)$) as estimated from recent CMB observations. For a null $\alpha_0$, the field is purely Gaussian with a simple power- law spectrum, and An is the normalization constant of the primordial power spectrum, estimated as $\sim$1.3 $\times $ 10-11 for recent CMBR observations (AWR05). $M(\alpha_0)$ is the mixed term, which accounts for the statistical effects of the second component in the power spectrum, expressed as a functional of both distributions, $f_{\mathit{1}}$ and  $f_{\mathit{2}}$:

 \begin{displaymath}%
M^{\rm mix}(\alpha_0,k)\equiv\int_\nu[(1-\alpha_0k)f_1(\nu)+\alpha_0kf_2(\nu)]\nu^2\; {\rm d}\nu.
\end{displaymath} (27)

Evaluating the integral in Eq. (25) for a mixed power spectrum, we find an expression for the mean correlation function:

 \begin{displaymath}%
\xi^{\rm Mix}(R)=A_{n}\left[\frac{1.76\times 10^{-2}}{3\pi
...
...0^{-4}M(\alpha_0)}{3\pi \left(\frac{R}{R_0}\right)^2} \right],
\end{displaymath} (28)

where R0 is about 25 Mpc, the mean correlation width for galaxy clusters.

In Fig. 1, we show the mean correlation function estimated for (i) a purely Gaussian field, $M(\alpha_0) =0$, (ii) for a mixed PDF, $M(\alpha_0) = \alpha_0 \left( \frac{e^2}{2}-1\right)$, and also (iii) the individual contribution of the non-Gaussian field for $\alpha _0 \sim 10^{-3}$. In this plot, it is possible to observe the importance of even a small contribution of the second component to the mean correlation function. For $\frac{R}{R_0} \leq 1$ $\times $ 10-3 the non-Gaussian component dominates the correlation function. This behavior illustrates the excess of power on small scales, as observed on the CMB angular power spectrum in the mixed context (AWR04).


  \begin{figure}
\par\includegraphics[height=5.55cm,width=7.5cm,clip]{5581fig1.eps}\end{figure} Figure 1: The mean two-point correlation function estimated for non-correlated or weakly correlated fields: pure Gaussian, pure log-normal and, mixed field with $\alpha _0 \sim 10^{-3}$.
Open with DEXTER

Inserting the mean correlation function described in Eq. (28) into the approximated expression of the correlation function for high density peaks (Eq. (21)) for a few classes of PDFs, we estimate the functions $\xi_{\eta}$ plotted in Fig. 2. In this plot, we show that the effect of the second component is still observed and that the correlation function for high density peaks is also sensitive for different non-Gaussian distributions. Comparing Figs. 1 and 2, we see how the high density peaks can be much more correlated than the mean field for a non-Gaussian case, especially on small scales, $\frac{R}{R_0} \sim 10^{-5}$, where  $\xi _{\eta }^{\rm Mix}$ is nearly two orders of magnitude greater than the mean correlation.


  \begin{figure}
\par\includegraphics[height=5.55cm,width=7.5cm,clip]{5581fig2.eps}\end{figure} Figure 2: The two-point correlation function computed for $2\sigma $ density peaks in both a pure Gaussian and mixed context ( $\alpha _0 \sim 10^{-3}$). For this estimation, we used: $M^{\rm Gaus}(\alpha _0) =0$; $ M^{\rm Exp}(\alpha _0) =\alpha _0$; $M^{\rm Max}(\alpha_0)
=\alpha_0\left( 3 \sqrt{\frac{\pi}{2}}-1\right)$; $M^{Xi^2}(\alpha _0) =2\alpha _0$ and $M^{\rm LN}(\alpha_0) = \alpha_0 \left( \frac{e^2}{2}-1\right)$.
Open with DEXTER

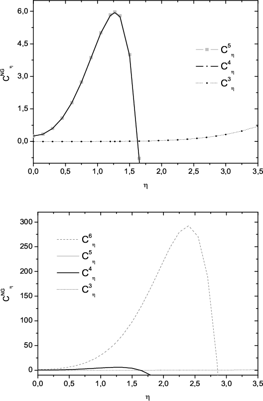
With the help of a program that performs algebraic and numerical calculations, we actually computed $C_{\eta }^{\rm NG}$, as indicated in Eq. (23), for correlations up to the 6-th order ($s \le 6$). This limit was set in order to keep a meaningful non-Gaussian distortion, avoiding more time-consuming calculations. We do not present the full computed expression in this section since it contains hundreds of non-linear terms in the mean correlation function $(\xi_r)$ and $\eta$, where the coefficients are the high-order correlations (or cumulants). In fact, the $C^{\rm NG}_\eta$ is more accurately described as $C^{\rm NG}_{\eta}(\xi_r)$. In Appendix A, we show the steps in calculating the quasi-moment function, blm, and the Hermite polynomials, Hlm.


  \begin{figure}
\par\includegraphics[height=5.45cm,width=7.55cm,clip]{5581fig3a.e...
...mm}
\includegraphics[height=5.45cm,width=7.55cm,clip]{5581fig3b.eps}\end{figure} Figure 3: The behavior of the higher order factor, $C_{\eta }^{\rm NG}$, for a fixed mean correlation ( $\xi _r \sim 1$). The curves in A) show the factor estimated for third-order correlation, $C_{\eta }^{3}$, fourth, $C_{\eta }^{4}$, and fifth, $C_{\eta }^{5}$. In B) the sixth-order factor, $C_{\eta }^{6}$, is also plotted.
Open with DEXTER

In general, correlations of a very high order tend to zero (Gnedenko & Kolmogorov 1968), the most extreme case being the normal distribution, where all cumulants of $s \ge 3$ are null. Deviations from Gaussianity are set by the increment of non-vanishing cumulants in the expansion of  $C_{\eta }^{\rm NG}$. A possible question that may be raised is related to the convergence and normalization of the expansion in Eq. (23) in which some terms are set as non-vanishing. However, investigation of general nearly Gaussian deviations have already been performed by the use of the Edgeworth expansion in one-dimension by setting the function to zero in higher-order terms and normalizing it appropriately (Martinez-Gonzalez et al. 2002). Following these authors, we have considered the following behavior as a working hypothesis for such coefficients: we set the terms $s \ge 7$ to zero and the cumulants involved in the quasi moment function to 10-3 for $3 \le s \le 6$.

One very interesting result is summarized in Fig. 3. In order to follow the absolute behavior of the corrections terms in the nearly Gaussian field, we set the normalization value of the mean correlation function to one, $(\xi_r \sim 1)$ and explore the $\eta$ dependence of $C^{\rm NG}_{\eta}(\xi_r)$ with the purpose of understanding how the amplitude of the fluctuations is related to the high-order correlations. While computing only third-order terms, the $C_{\eta }^{3}$ describes a gradual enhancement in the correlation function. For fourth and sixth-order terms, the $C_{\eta }^{4}$ and  $C_{\eta }^{5}$, what is observed, in the case of small Gaussian deviationis, is that the $C_{\eta }^{4}$ and  $C_{\eta }^{5}$ just overlap each other, meaning that the fifth-order correlations do not contribute significantly. However, the fourth-order correlation describes peaks of maximum density allowed by a weakly correlated field at about $\eta \sim 1.8\sigma$. For higher order correlations, the $C_{\eta }^{6}$ shows a very large increment in the two-point correlation for densities of about $2.5\sigma$ and a nearly null contribution to peaks with amplitudes ( $\eta \ge 3\sigma$).

We conclude that one should not expect very high density peaks for the specified, slightly non-Gaussian, correlated field. However, factors of order $3 \le s \le 6$, are quite significant for peaks with amplitude up to $2.5\sigma$ and are too far from a null correction, even if we consider weakly correlated fields. Then, we cannot consider the simplified solution in Eq. (21) as a good description of the two-point correlation function for high density peaks despite our choice of considering only a small deviation from Gaussianity. It is important to note that this result is independent of the power spectrum or the mean correlation function. It only shows the influence of higher order correlations in the amplitude of the field of fluctuations.

Analyzing the relation between $C_{\eta}$ and $\eta$, we gain some insight into the amplitude of such high-order terms, since $C_{\eta}$ controls the amplitude of the permitted peaks in the fluctuations field. Increasing values of correlations with s > 6 imply a high probability of very high-amplitude (very rare) peaks, which contradict the observations of large-scale structures. However, when we impose correlation levels of the order 10-3 up to sixth order, we favor the existence of peaks up to $3\sigma$, which is very reasonable for a nearly Gaussian field.

In Fig. 4 we show the behavior of the two-point correlation function estimated for a Gaussian, $\xi _{\eta }^{\rm Gauss}$; for a mixed approximated solution, $\xi _{\eta }^{\rm Mix}$, and for the non-Gaussian complete solution, $\xi _{\eta }^{\rm Mix} + C_{\eta }^{\rm NG}(\xi _r)$ . In this plot, we set the amplitude threshold of $\eta \sim 2$ and test the dependence on $\xi_r$. The observed effect of  $C^{\rm NG}_{\eta}(\xi_r)$ is to amplify the correlations between high density peaks. This result is valid for the case of an increasing mean correlation function and does not depend on the mixed model. While non-Gaussian deviation tends to add non-vanish high-order correlations, we conclude that we can expect high-density peaks to be much more correlated even in a slightly non-Gaussian model.


  \begin{figure}
\par\includegraphics[height=5.45cm,width=7.1cm,clip]{5581fig4.eps}\end{figure} Figure 4: The behavior of the two-point correlation function is shown for three estimated cases: a pure Gaussian, $\xi _{\eta }^{\rm Gauss}$ (lower curve); a mixed approximated solution, $\xi _{\eta }^{\rm Mix}$ with $\alpha _0 \sim 3$ $\times $ 10-3 (mid curve); and for the complete non-Gaussian solution, $\xi _{\eta }^{\rm Mix} + C_{\eta }^{\rm NG}(\xi _r)$, estimated for a PDF of the type: (Gauss + Exp) with $\alpha _0 \sim 3$ $\times $ 10-3
Open with DEXTER

5 Discussion

In this work, we have estimated the two-point mean correlation function and the peak-peak correlation function for the density field. In the Gaussian case, the calculations are simplified, since the Fourier transform of the power spectrum describes the random variable completely. However, for a non-Gaussian field, the calculations are much more complicated, since high-order correlations between these two-points may not vanish and strongly contribute to the final function, even in a small deviation from the Gaussian case.

In this work, we showed that, when considering a mixed model, both the mean correlation and the peak-peak correlation functions are much more intense on small scales than in the Gaussian case. This result can be particularly relevant since it is generally accepted that galaxies form in high-density regions. In addition, we conclude that the peak-peak correlation function is quite sensitive to the PDF of the fluctuations field, especially for a mixed model. This result suggests that it is possible to use the peak-peak correlation function as a test of the nature of cosmic structures. Nevertheless, we have to be careful when approximating terms for high-order correlations, since the peak-peak correlation function is very sensitive to the correction terms. We also point out that correlations of order \ensuremath{>}2 can be a very important tool for characterizing non-Gaussian fields, and they definitely deserve deeper investigation. Estimating high order correlations allows us to investigate the behavior of the N-point correlation function, as well as gather more information about the amplitude of the expected high-density fluctuation field. As seen in Fig. 3, correlations may restrict the amplitude of the density peaks. Furthermore, from the amplitude of the peaks found in the density field (in CMB or LSS fluctuations), we are able to extract more information about the statistics of the density field. It is also good to remember that the presence of correlations of order $s \ge 3$ lead to formation of structures in earlier times than would be expected for a model with the same power spectrum but with weaker spatial correlations. The results presented in this paper may be used to set new constraints in structure formation models.

One possible application of this method in investigations of primordial non-Gaussianity could be implemented in the search for maximum-amplitude fluctuations of the full sky CMB temperature maps, such those derived from WMAP (Spergel et al. 1989) and the future Planck mission (Wright 2000). However, variations in the number of density peaks and their correlation could as well be related to non-Gaussian Galactic foregrounds or other contaminants. Once such a non-Gaussian trace has detected, we have to be very careful before assigning it a primordial origin. To avoid misunderstanding, the investigation of the peak statistics in CMB datasets should be realized over several datasets and different frequencies. Indeed, one possible manner to minimize the foregrounds effects is to analyze the most sensitive and cleaned map, such as the WMAP three-year di-biased internal linear combination, WMAP-DILC map, or the WMAP coadded map, with the combination of Q+V+W frequencies. This analysis will be the next test applied to the non-Gaussian mixed model.

Acknowledgements
APAA thanks FAPESB and CNPq for the financial support under grant 1431030005400. ALBR thanks CNPq for the financial support under grants 470185/2003-1 and 306843/2004-8. CAW was partially supported by the CNPq grant 307433/2004-8.

Appendix A: Calculation of $b_{{\rm s}}$ and H

To obtain the non-Gaussian probability for a multi-dimensional case, we have to perform the calculation in Eq. (22) by expanding the Hermite polynomials and the quasi-moment function. One possible way to obtain the quasi-moment functions, bs, is by relating to the correlation function, since:

 
$\displaystyle %
\exp\left[\ \displaystyle \sum_{s=3}^{\infty} \sum_{\alpha,\bet...
...{n}b_{s}(x_{\alpha},x_{\beta},...,
x_{\omega})z_{\alpha}z_{\beta}...z_{\omega}.$     (A.1)

The generalized Hermite polynomials can be obtained by the definition
 
$\displaystyle %
H_{\alpha\beta...\omega}[x]= {\rm e}^{\phi[x]}\left(
-\frac{\pa...
...right)...\left(
-\frac{\partial}{\partial x_{\omega}}\right){\rm e}^{-\phi[x]},$     (A.2)

where: $\phi[x]=\frac{1}{2}\sum_{\alpha,\beta=1}^{n}a_{\alpha\beta}x_{\alpha}x_{\beta}$, with $\vert\vert a_{\alpha\beta}\vert\vert$ the elements of the inverse correlation matrix $\vert\vert k_2(t_{\alpha},
t_{\beta})\vert\vert$. The unidimensional case of Eq. (24) is known as the Edgeworth series, while the bidimensional case corresponds to:
 
$\displaystyle P^{NG}[\delta_1,\delta_2]=
\left[1+ \displaystyle \sum_{s=3}^{\in...
...a-\kappa_1\left(\delta\right)\right]\right]P^{G}\left[\delta_1,\delta_2\right],$     (A.3)

where $b_{lm}= b_{l+m}[\underbrace {\delta_1 \cdots
\delta_1}_{l \ \textrm{times} }; \underbrace {\delta_2 \cdots \delta_2}_{m \
\textrm {times}}]$,

and $H_{lm}=H_{\scriptsize\underbrace{\scriptsize 1 \cdots 1}_{ l \ \footnotesize
\t...
...times}};\underbrace{\scriptsize 2 \cdots 2}_{ m \ \footnotesize\textrm{times}}}$.

Performing the calculations for the quasi-moment function, we have

$b_3=K[\delta_1,\delta_2,\delta_3]; $
$b_4=K[\delta_1,\delta_2,\delta_3,\delta_4];$
$b_5=K[\delta_1,\delta_2,\delta_3,\delta_4,\delta_5];$
$b_6=K[\delta_1,\delta_2,\delta_3,\delta_4,\delta_5,
\delta_6]+10\left[K_3[\delta_1,\delta_2,\delta_3]K_4[\delta_4,\delta_5,\delta_6]\right].$

Note that the first five terms of bs are equivalent to the correlation function, only the sixth term has additional terms. As an example, for s = 3, we obtain four different forms of b3:

$ b_{30}=K_3[\delta_1,\delta_1,\delta_1,] = \left < \delta_1^3 \right>;$
$ b_{03}=K_3[\delta_2,\delta_2,\delta_2,] = \left < \delta_2^3 \right>;$
$ b_{21}=K_3[\delta_1,\delta_1,\delta_2,] = \left < \delta_1^2\delta_2 \right>;$
$ b_{12}=K_3[\delta_1,\delta_2,\delta_2,] = \left < \delta_1\delta_2^2 \right>$.

Proceeding in a similar manner, we find five terms for b4, six for b5, and seven terms for b6.

The best way to find the Hermite polynomials is using expression (Gnedenko & Kolmogorov 1968)

\begin{displaymath}%
y_\alpha=y_\alpha[x]=\frac{\partial \phi[x]}{\partial
x_\alpha}=\sum_{\beta=1}^{n}a_{\alpha\beta}x_\beta, %
\end{displaymath} (A.4)

where:
$H_\alpha = y_\alpha, $
$ H_{\alpha\beta} = y_\alpha y_\beta - a_{\alpha\beta}, $
$ H_{\alpha\beta\gamma} = y_\alpha y_\beta y_\gamma - a_{\alpha\beta} y_\gamma -
a_{\alpha\gamma} y_\beta - a_{\gamma\beta} y_\alpha $
$~~~~~~~~~= y_\alpha y_\beta y_\gamma - \left\{ a_{\alpha\beta} y_\gamma
\right\}_3,\nonumber $
$H_{\alpha\beta\gamma\delta} = y_\alpha y_\beta y_\gamma y_\delta
-\left\{a_{\al...
...amma y_\delta \right\}_6 - \left\{ a_{\alpha\beta}
a_{\gamma\delta} \right\}_3,$
$H_{\alpha\beta\gamma\delta\omega} = y_\alpha y_\beta y_\gamma y_\delta
y_\omega...
...right\}_{10} - \left\{ a_{\alpha\beta} a_{\gamma\delta} y_\omega \right\}_{15},$
$H_{\alpha\beta\gamma\delta\omega\theta} = y_\alpha y_\beta y_\gamma y_\delta
y_...
...ta - \left\{ a_{\alpha\beta} y_\gamma y_\delta y_\omega
y_\theta \right\}_{15} $
$ ~~~~~~~~~~~~~~~~~-\left\{ a_{\alpha\beta} a_{\gamma\delta} y_\omega
y_\theta \...
..._{45} - \left\{ a_{\alpha\beta} a_{\gamma\delta}
a_{\omega\theta} \right\}_{15}$

where we used the notation $\left\{ i \right\}_s$ to indicate a simetrization set.

To perform the calculation above for blm and Hlm up to (l+m = 6)and perform the integration in $d\delta_1$ and $d\delta_2$, we used a software for algebraic and numerical calculations.

References

 

Copyright ESO 2006