A&A 457, 485-492 (2006)
DOI: 10.1051/0004-6361:20065615
On the signatures of gravitational redshift:
the onset of relativistic emission lines
A. Müller1 - M. Wold2
1 - Max-Planck-Institut für Extraterrestrische Physik, PO box 1312, 85741 Garching, Germany
2 - European Southern Observatory, Karl-Schwarzschild-Strasse 2, 85748 Garching, Germany
Received 16 May 2006 / Accepted 9 June 2006
Abstract
Aims. We quantify the effect of gravitational redshift on emission lines to explore the transition region from the Newtonian to the Einsteinian regime. With the emitting region closer to the Kerr black hole, lines are successively subjected to a stronger gravitationally induced shift and distortion. Simulated lines are compared to broad, optical emission lines observed in Mrk 110.
Methods. We simulate relativistic emission line profiles by using Kerr ray tracing techniques. Emitting regions are assumed to be thin equatorial rings in stationary Keplerian rotation. The emission lines are characterised by a generalized Doppler factor or redshift associated with the line core.
Results. With decreasing distance from the black hole, the gravitational redshift starts to smoothly deviate from the Newtonian Doppler factor: shifts of the line cores reveal an effect at levels of 0.0015 to 60% at gravitational radii ranging from 105 to 2. This corresponds to fully relativistic Doppler factors of 0.999985 to 0.4048. The intrinsic line shape distortion by strong gravity i.e. very asymmetric lines occur at radii smaller than roughly ten gravitational radii.
Conclusions. Due to the asymptotical flatness of black hole space-time, GR effects are ubiquitous and their onset can be tested observationally with sufficient spectral resolution. With a resolving power of
,
yielding a resolution of
0.1 Å for optical and near-infrared broad emission lines like H
,
HeII and Pa
,
the gravitational redshift can be probed out to approximately 75 000 gravitational radii. In general, gravitational redshift is an important indicator of black hole mass and disk inclination as recently demonstrated by observations of optical lines in Mrk 110. Comparing our simulated lines with this observations, we independently confirm an inclination angle of 30 degrees for the accretion disk. Redshift deviations induced by black hole spin can be probed only very close to the black hole e.g. with X-ray iron lines.
Key words: black hole physics - relativity - line: profiles - galaxies: active -
Galaxy: nucleus - galaxies: Seyfert
Active galactic nuclei (AGN) such as Seyfert galaxies and quasars are powered
by accreting supermassive black holes (SMBHs) following the standard model
that has been developed over four decades (Lynden-Bell & Rees 1971; Lynden-Bell 1969).
The masses of SMBHs lie in the range 106 to 1010
,
see e.g.
Netzer (2003).
In the standard model, clouds moving in the gravitational potential of the
black hole are photoionized by the central AGN continuum, thereby producing
Doppler broadened emission lines with widths of typically 103-104 km s-1
(Woltjer 1959, as pioneering studies). The region where the
broad lines originate is usually referred to as the broad-line region (BLR). The
scale of the BLR is believed to be 1015 to 1017 cm, corresponding to
103 to
or 0.6 to 60 light days for a
107
black hole. Here the gravitational radius is defined as
with Newton's constant G, vacuum speed of light
and black hole mass M. Robinson et al. (1990) have presented complex models
involving spherical or disk geometries for the BLR as well as rotational and radial
cloud kinematics. They studied the influence of continuum variability on line
profiles and found diverse line shapes exhibiting spikes, bumps and shoulders
though in a non-relativistic regime. Additional velocity components in the BLR caused
by disk winds (Konigl & Kartje 1994) and a radial component have been suggested from accretion
theory and radial velocity maps of the narrow-line region (Ruiz et al. 2001). However,
the detailed structure and velocity field of the BLR remain unclear (Collin et al. 2006).
The broad-line clouds respond to variations in the central photoionizing continuum as
suggested by strong correlations between H
response times and non-stellar optical
continuum fluxes,
(Peterson et al. 2002).
This phenomenon is exploited in reverberation mapping techniques to determine both the
scale of the BLR and the black hole mass (Blandford & McKee 1982; Peterson 1993; Kaspi et al. 2000).
The idea that gravitational redshift may influence optical lines causing line asymmetries
was raised by Netzer (1977). In the Seyfert-1 galaxy Akn 120, a slight redward
displacement of the H
line was reported, amounting to
,
interpreted as the result of gravitational redshift (Peterson et al. 1985).
However, such effects may also arise from attenuation of the BLR or light-travel
time effects, as discussed by Peterson et al. (1985). Similar studies that assume that observed
effects are a result of gravitational redshift have been done for a quasar sample where the
SMBH mass of QSO 0026+129 could be roughly estimated to be
(Zheng & Sulentic 1990);
this is still the current value within a factor of 2 (Czerny et al. 2004). Recently, several BLR
optical emission lines in the narrow-line Seyfert-1 galaxy Mrk 110 were investigated
(see Kollatschny 2003, K03 hereafter).
In that work, H
,
H
,
HeI
5876 and HeII
4686 emission lines were
found to possess a systematic shift to the red, with higher ionization lines showing larger shifts
as expected in a BLR with stratified ionization structure.
In this paper, we study the gravitational redshift over a large range of distances from the central
black hole. We quantify the relativistic gravitational redshift on emission lines until GR fades
beyond the current observable limit. The investigation is carried out in a very general form by
discussing the observed line profile as a function of the generalized GR Doppler factor (g-factor)
for Kerr black holes and an arbitrary velocity field of emitters, see e.g. Müller & Camenzind (2004, M04 hereafter).
Pioneering work on relativistic spectra was performed by Cunningham (1975) using transfer functions.
However, the considerations of the g-factors in this work were restricted to minimum and maximum values
of g on infinitesimally narrow and thin stationary rings. Furthermore, the distance range of interest
for BLRs, 103 to
,
has not been investigated in detail.
Corbin (1997) studied relativistic effects on emission lines from the BLR by assuming Keplerian
orbits for the emitting clouds in a Schwarzschild geometry. It was found that line profiles decrease
in both, width and redward centroid shift when the line emitting region moves away from the black hole.
Our goal is to accurately quantify the effects of gravitational redshift in the vicinity of a Kerr black
hole. After a very general consideration that holds for any classical black hole of arbitrary mass, a more
specific treatment involving optical emission lines from BLRs is addressed. For the case study of Mrk 110,
it is even demonstrated how the mass of the SMBH and the inclination of the inner disk can be determined.
2.1 Relativistic ray tracing
In contrast to Cunningham's work, emission lines are computed by ray tracing in the Kerr geometry
of rotating black holes. Light rays emitted in the vicinity of the black hole travel to the
observer on null geodesics in curved space-time, and in this work the observer is assumed to be
located at
.
The Kerr Black Hole Ray Tracer (KBHRT) maps
emitting points in the equatorial plane of a Kerr black hole to points on the observer's screen.
Spectral line fluxes are computed by numerical integration over the solid angle subtended by the screen.
All relativistic effects such as gravitational redshift, beaming and lensing are included, but higher order
images are not considered. The complete solver has been presented in earlier work (M04).
2.2 Analysing relativistic emission lines
In the following, line fluxes are discussed as a function of the
g-factor which is defined as
 |
(1) |
where
and
denote frequency and wavelength, respectively, and the redshift is z.
Emitter's and observer's frame of reference are indicated by subscripts "em'' and
"obs''. A g-factor
of unity therefore corresponds to an unshifted line, whereas g < 1 indicates redshifted emission
and g > 1 blueshifted emission. Note that by using the g-factor, the simulated line profiles are
discussed very generally without specifying a particular emission line.
Analysis tools for relativistic emission lines as well as line classification schemes
by morphology that were introduced by M04 (Sect. 8) are utilized here. A relativistic
emission line exhibiting two Doppler peaks can be characterised by several quantities:
-
,
minimum g-factor that defines the terminating energy at the red wing;
-
,
maximum g-factor that defines the terminating energy at the blue wing;
-
,
the g-factor associated with the red relic Doppler peak;
-
,
the g-factor associated with the blue beamed Doppler peak;
- DPS =
,
the Doppler peak spacing in energy;
-
,
maximum line flux;
-
,
line flux associated with the red relic Doppler peak;
-
,
line flux associated with the blue beamed Doppler peak;
- DPR =
/
,
the flux ratio of both Doppler peaks.
The existence and strength of these parameters depend on the line shape. Low inclination angles
of the emitting surface i.e. face-on situations with axial observers destroy the typical
structure with two distinct Doppler peaks.
Based on relativistic emission line terminology, line morphologies can be classified as
triangular, double-peaked, double-horned, shoulder-like and bumpy shapes. Triangular
and shoulder-like morphologies lack a red Doppler peak. Bumpy morphology even lacks a
distinct blue beaming peak either because a very steep disk emissivity suppresses emission
at large disk radii or because the line originates too close to the black hole. We want to
stress here that Robinson et al. (1990) found a similar terminology for non-relativistic lines
but the classification scheme for relativistic lines in M04 was established independently.
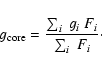
In order to be able to characterize any line profile independently of its
morphology, and in order quantify the shift of the resulting line centroid,
we define a new quantity,
:
 |
(2) |
The
parameter is thus associated with the line core energy,
i.e. the energy associated with the flux weight of the whole line. As can be
seen, it is evaluated numerically by multiplying each energy bin, gi,
with the corresponding flux in that bin, Fi, and summing over the line
profile.
Gravitational redshift in the weak field regime establishes pure shifts of spectral
features without changing their intrinsic shape. However, gravitational redshift
in the strong field regime - strong gravity - produces remarkable distortions
of spectral shapes if the rest frame feature is compared to its analogue in the observer's
frame. Distortion is a key feature of relativistic spectra exhibiting very skewed and
asymmetric line profiles (Fabian et al. 1989; Popovic et al. 1995; Tanaka et al. 1995). These effects are
important only very close to the black hole. Here we investigate how gravitational redshift
changes the mode i.e. Einsteinian gravity transmutes to Newtonian gravity for emission
regions moved away from the black hole.
We also define the half-energy radius as the radius where a given g-factor
is reduced to exactly 1/2 its original value. More precisely, Rj denotes the half-energy
radius associated with
.
Due to Eq. (1) the observed energy of the radiation associated with the specific g is exactly one half of the emitted energy in the rest frame. As a measure of strong
gravity
is chosen as the radius where the g-factor associated with the
red Doppler peak is exactly 1/2. This is a suitable choice because strong gravity
deforms the red line wing in an extraordinary manner.
2.3 Emitter model: rendering parameters and emissivity
The aim of this paper is to study gravitational redshift effects. Therefore, it is of particular interest
to avoid blueshift effects that would blur or cancel the redshift. An easy way to switch off blueward displacements
is tilting the emitting region to a face-on situation: axial observers with inclination angle
to the emitting area have no relative motion along the line of sight to the emitter. In this case, the
radiation is only affected by gravitational redshift because no motion is directed out of the plane.
For numerical reasons an inclination angle of
is chosen which is close enough to the
face-on situation. Other parameters are: Kerr black hole rotating at Thorne's limit a/M=0.998
(Thorne 1974) and a prograde Keplerian velocity field of emitters,
.
We consider here stationary thin rings with
emission peaking at
.
This is established by rendering a disk and shifting a
Gaussian radial emissivity profile over the disk
 |
(3) |
as introduced by M04. The parameter
controls the width of the Gaussian or the size of the
emitting region and is chosen to be 0.2. The peak radius,
,
is given in units of
gravitational radius. A localized Gaussian emissivity set in this way mimics a thin and narrow
luminous ring with
distance between inner and outer edge. The Gaussian guarantees
a smooth but steep decay of emission at the ring edges. Note that using
as a natural scale allows
for applications to any classical black hole including also stellar and intermediate-mass black holes.
The technique is now straightforward: the ring is shifted from large distances in asymptotically flat space-time
in the direction towards the black hole where space-time curvature becomes strong. In the present work, we assume
that the radial range of interest is
.
For each simulated
emission ring we determine the line core energy
by applying Eq. (2) and computing
the associated line redshift,
,
from Eq. (1). These quantities allow for quantifying the
gravitational redshift as a function of distance to the rotating black hole.
Further, we use the ring emitter model as a simple model for the broad-line region in AGN. In this case, the BLR
clouds are distributed in an equatorial plane and follow Keplerian orbits around the black hole as proposed elsewhere
(Corbin 1997; Robinson et al. 1990; Netzer 1977). Depending on radial distance to the center and orientation angle to
observer, the BLR emission is influenced by Doppler effect, gravitational redshift and beaming to different extent.
We show in Sect. 4 that it is possible to fit optical data to this simple, flat Keplerian BLR model and
that plausible inclination angles of the inner disk can be deduced.
3 Gravitationally redshifted emission lines
3.1 Redshifted line cores
![\begin{figure}
\rotatebox{0}{\includegraphics[width=8.8cm,clip]{Figures/5615fig1.ps}}
\end{figure}](/articles/aa/full/2006/38/aa5615-06/Timg54.gif) |
Figure 1:
Radial dependence of redshift z of line cores (filled circles,
left y-axis) and strength of gravitational redshift effect (triangles,
right y-axis). Inclination angle amounts to . |
| Open with DEXTER |
As outlined in the previous section the line cores are computed by ray tracing and their dependence on
radial distance to the black hole is analysed. Figure 1 displays the core redshifts of
emission lines,
,
as a function of
for rings inclined to
.
The redshifted lines are dominated by gravitational redshift by construction. The filled circles show
that the redshift approaches
,
i.e. that
,
at distances of a few
thousand gravitational radii from the black hole. This is the regime of nearly flat space-time and
Newtonian physics. But approaching the black hole, space-time curvature becomes more significant:
z grows rapidly and g approaches zero.
![\begin{figure}
\rotatebox{0}{\includegraphics[width=9cm,clip]{Figures/5615fig2.ps}}
\end{figure}](/articles/aa/full/2006/38/aa5615-06/Timg57.gif) |
Figure 2:
Shift of line core energy in units of g-factor with distance to the black
hole. Lowly inclined rings, ,
are compared to highly inclined rings,
.
Note the blueshift g > 1 in the latter case. |
| Open with DEXTER |
The triangles illustrate the strength of the gravitational redshift effect in an alternative way.
The scale of the axis on the right-hand side is computed as
so
that a value of g=1 corresponds to 0% effect and g=0 to a 100% effect, i.e. the gravitational
redshift at the event horizon of the black hole. The error bars result from uncertainties in determining
g-factors. Ray tracing simulations with different numerical resolutions in both disk resolution for
rendering and spectral resolution for line computation yield slightly deviating values for
(and other quantities in general).
Gravitational redshift can alternatively be visualised by plotting the line core energies,
,
as a function of the peak radius for each ring. Figure 2 shows the result for
and
.
Highly inclined rings exhibit strong blueshift effects overlapping the redshift. As a consequence
the core g-factors of the
dataset never drop below 0.8 for radii larger than the marginally
stable orbit. So, comparison of both orientations demonstrates that highly inclined rings are not appropriate
to study gravitational redshift as pure shifting effect. It is shown later that high inclinations are
well-suited for probing strong gravity.
In Table 1 we show the results of the Kerr ray tracing simulations for nearly face-on rings,
,
in terms of numerical values for
,
and GR effect as
a function of distance to a Kerr black hole with a/M=0.998.
Table 1:
Radial redshift dependence for
.
In principle, Table 1 illustrates the die out of GR with increasing radius. However, it is important
to note that according to the asymptotical flatness of GR black holes solutions, space-time curvature approaches
zero only in the limit
i.e. there is no finite distance at which the gravitational redshift
vanishes exactly. Hence, Table 1 could be generally continued ad infinitum. However,
observability poses a limit to what is practical since the resolving power of a spectrograph, in the ideal case,
constrains the amount of gravitational redshift (parameterized by
here) that can be detected.
Assuming a spectral resolution of 0.1 Å for H
as is obtainable by instruments like UVES and CRIRES on
the VLT, the corresponding critical value of the g-factor is
g=0.999979. In terms of velocity shift, this is
10 km s-1. As seen in Table 1, this shift occurs at a radius of
.
Hence, we do not consider radii above
in Table 1. For supermassive black holes of
107-108
this radius corresponds to 0.05-0.5 pc, whereas for stellar-mass black holes of
10
it is 0.01 AU.
Applying Eq. (1)
an optical HeII emission line with
4686 Å in the emitter frame is gravitationally
redshifted to 4686.1, 4686.7, 4693.0, 4757.7 Å at 100 000, 10 000, 1000, 100
.
3.2 Line distortion by strong gravity
In the previous section the gravitational redshift was investigated as an effect that shifts the
whole line core. We now focus on the behaviour of the intrinsic shape of relativistic
emission lines as a function of distance to the black hole. This is dubbed strong gravity as
anticipated in Sect. 2.2. In the following, we tilt the emitting ring to an inclination
of
in order to be able to study the characteristic broad profile with the two relic
Doppler peaks. Figure 3 shows how the line profile changes by tilting from
to
.
Figure 4 shows the effect of gravitational redshift on the
profile
as a function of distance to the black hole. The line profile broadens and the line flux gets more and
more suppressed as the emitting ring is moved closer to the black hole
. Eventually, the line decays and disappears at
the event horizon. The red relic Doppler peak is shifted to lower energies as the ring approaches the
hole, illustrated in
Fig. 5.
The red peak flux is also more and more suppressed as can be seen in Fig. 4. Close to
the black hole the distortions are so strong that the red Doppler peak becomes highly blurred and effectively
vanishes in the line profile. At the event horizon the profile dies out and becomes unobservable.
![\begin{figure}
\rotatebox{0}{\includegraphics[width=9cm,clip]{Figures/5615fig3.ps}}
\end{figure}](/articles/aa/full/2006/38/aa5615-06/Timg64.gif) |
Figure 3:
Two example relativistic lines emitted from a highly inclined
ring,
,
and a face-on ring, ,
both with the
emission peaking at the same
around a Kerr black hole with a/M=0.998. The arrows indicate the
core g-factors,
and
respectively for each particular case. |
| Open with DEXTER |
![\begin{figure}
\rotatebox{0}{\includegraphics[width=9cm,clip]{Figures/5615fig4.ps}}
\end{figure}](/articles/aa/full/2006/38/aa5615-06/Timg65.gif) |
Figure 4:
Line distortion by strong gravity. The emission of narrow rings peaks at the
radii as denoted in the legend. There is no way to confuse the lines because line
flux successively decreases with decreasing radius of maximum emission
.
All rings follow Keplerian rotation around a Kerr black hole with a/M=0.998 and all are
inclined to an inclination angle of
. |
| Open with DEXTER |
Figure 5 can be used to read the half-energy radius associated with the red relic Doppler
peak as defined in Sect. 2.2. At
this value is
and documents that strong gravity is important only very close to the black hole. The distortion of the
intrinsic line profile by gravitational redshift can be seen from
alone or by using another
line criterion. A further line characteristic is the Doppler peak spacing (DPS) i.e. the energetic distance
of both Doppler peaks (if available). DPS can be measured in units of energy, frequency, wavelength or - as
has been done here for generality - in units of g. Figure 6 shows that this quantity does not
remain constant as the black hole is approached. DPS rises quickly so that the line is stretched. This
phenomenon is directly but only qualitatively visible in Fig. 4. Gravitational redshift causes
an additional suppression in flux so that close to the black hole the emission line from an intermediately to
highly inclined ring is asymmetric and skewed.
We close this section with a comment on black hole detectability: redshifted line cores as presented in
Sect. 3.1 leave enough room for other gravitational sources than black holes; in contrast,
spectral lines distorted by strong gravity in connection with a measured high compact mass support black hole
candidates.
![\begin{figure}
\rotatebox{0}{\includegraphics[width=9cm,clip]{Figures/5615fig5.ps}}
\end{figure}](/articles/aa/full/2006/38/aa5615-06/Timg68.gif) |
Figure 5:
Distortion of the red relic Doppler peak for rings satisfying
:
with
decreasing radius the red peak can be found at lower peak energies due to strong gravitational
redshift. Very close to the black hole -
at this specific
inclination - these distortions are such strong that the red Doppler peak is highly blurred
and vanishes effectively in the line profile. |
| Open with DEXTER |
![\begin{figure}
\rotatebox{0}{\includegraphics[width=9cm,clip]{Figures/5615fig6.ps}}
\end{figure}](/articles/aa/full/2006/38/aa5615-06/Timg69.gif) |
Figure 6:
Energetic distance of red and blue Doppler peak at
.
This Doppler peak spacing (DPS) is measured in units of g. Far away from the black
hole both peaks approach significantly and the double-peaked line profile becomes
very narrow: At
the peak difference in g only amounts
to 0.03. |
| Open with DEXTER |
4 Gravitationally redshifted optical emission lines
4.1 Observations of NLS-1 Mrk 110
In a recent work by Kollatschny (2003), broad optical emission lines from
H
,
H
,
HeI
5876 and HeII
4686 were found to
display significant and systematic redshifts. By reverberation mapping, the
distances of the emitting regions from the central continuum source were
determined and a stratified ionization structure seen with HeII arising
closest to the black hole at a distance of
.
The observed shift of the HeII line was measured to be
,
corresponding to
.
4.2 Inner disk inclination of Mrk 110 from Kerr ray tracing
In this section, we follow the assumption that the observed optical lines of Mrk 110
are subject of gravitational redshift and Doppler shifts and compare them with Kerr
ray
tracing techniques. It is aimed to determine parameters of the black hole-BLR
system. The flat BLR model assuming line emitting rings as outlined in Sect. 2.3 is applied. Line redshifts are computed with the fully generalized
GR Doppler factors g that were presented by M04 (see Eq. (13) therein). We note
that in order to capture the correct
value, a fine line binning
is needed and hence a very high numerical spectral resolutions is used,
.
In contrast to our redshift analysis we now have to allow for arbitrary inclination
angles for the BLR in Mrk 110. A parameter space with inclination between
and
and radii in the range 100 and 10 000
suffices to cover
the observational data. The simulated core redshift values follow a power law, z = p rs,
for fixed inclinations and are plotted in Fig. 7. Observational data
for Mrk 110 by K03 are overplotted as boxes. The horizontal error bars are due to the
uncertainty in time lag measurements and the vertical error bars involve the uncertainties
in the differential redshifts of the rms line centers. The labels of the axes are adapted
to theoretical considerations and display redshift z as a function of distance to the
black hole in units of gravitational radii. To rescale the x-axis the best-fit value
for the black hole mass
obtained by K03 is assumed,
.
![\begin{figure}
\rotatebox{0}{\includegraphics[width=9cm,clip]{Figures/5615fig7.ps}}
\end{figure}](/articles/aa/full/2006/38/aa5615-06/Timg75.gif) |
Figure 7:
Radial dependence of the line core redshift: data for the NLS-1 Mrk 110
taken from K03 (boxes) are compared to the line core redshifts as computed from Kerr
ray tracing simulations with different inclination angles. Redshift as a function of distance
scales with a power law with identical slope s=-1 for all inclinations but with different
projection parameter p that determines the vertical shift of the power law. Best
fit for Mrk 110 (solid thick) yields
that can be used to
determine the inclination of the inner disk. |
| Open with DEXTER |
Table 2:
Power law fit parameters p and s for inclinations
to
.
Table 2 shows the fitting results for power laws at each inclination
angle. At any inclination the power law exhibits the same slope,
,
which is the average of the five
inclination angles assumed here. This is a direct consequence of the Schwarzschild
factor,
i.e.
.
Additionally, the power
laws shift toward lower gravitational redshifts as the inclination angle increases.
This is due to projection effects - included in the projection parameter p.
The inclination dependence of the redshift can be approximated by
i.e. p is related to the cosine of i. In other words, the higher the inclination,
the more blueshift there will be (see Fig. 2), and this Doppler
blueshift counteracts the redshift. Interestingly, this behaviour could be exploited
to determine the inclination angle of the inner disk from observed gravitationally
redshifted features.
The best-fitting power law is shown as a thick solid line
in Fig. 7.
Here, the slope of s=-1 has been fixed and the projection parameter p fitted to
give
.
Its relation to a specific inclination i can be extracted from Fig. 8 which shows the cosine behaviour of p for the simulated sets
.
The cosine fit
to ray tracing data yields
(error
;
note that
this is only valid for
)
within the radial range between 100 and 10 000
.
Taking the best fit value 0.886 one reads in Fig. 8
at the cross that the inner disk of Mrk 110 is inclined to
.
This
result is consistent with that of K03 (
).
4.3 Static vs. stationary emitter velocity field
The redshifts calculated above were based on a simple, but dynamical BLR model.
In this section we clarify under which conditions the Schwarzschild factor can be used
to estimate gravitational redshifts. Usually, a velocity field of the BLR emitters has
to be assumed. The prominent Schwarzschild factor can only be applied to quantify the
redshift in case of static emitters (and static black holes). Of course, real
emitters such as the BLR are dynamical e.g. in stationary motion. In this case, the ray
tracing technique is a convenient method for redshift computations. This approach is also
justified by the fact that it takes into account that real emitters are extended. The
relativistic g-factor (consult M04 for details) for static emitters simplifies
significantly because the Keplerian angular velocity satisfies
for
radii larger than the radius of marginal stability,
.
The emitter velocity
field in Bardeen Observer's frame is assumed to be purely rotational i.e. v(i)=0 with
.
We are thus left with a Lorentz factor
.
Considering
in
the Lorentz factor simply goes to unity,
.
It should be kept in mind
that this regime is not applicable at
when frame-dragging
becomes important and
is replaced by
.
Altogether, the
generally complicated g-factor is identical to the lapse function
for static
emitters in the
regime. The quantity
is evaluated here for static
black holes (as already shown in K03) and for rotating black holes. Restriction to the
equatorial plane,
,
yields a simple expression for the lapse function (see
e.g. M04, Eq. (3)):
 |
(4) |
The lapse function reduces to the well-known Schwarzschild factor for a=0
 |
(5) |
4.4 Black hole rotation
A rotating SMBH can not be excluded a priori in the case of Mrk 110. On the
contrary, theories of black hole growth, see e.g. Shapiro (2005), strongly suggest
fast spinning SMBHs in the local universe with either
(MHD disk) or
even
(standard thin gas disk). However, it is also known that the rotation
of space-time decays very rapidly in the outer regions of the black hole gravitational
potential. The frame-dragging frequency decreases according to
.
This is documented in the final Fig. 9 which summarizes the results
from Figs. 7 and 8 and also extends beyond the region
explored by K03. The redshifts corresponding to g-factors of
are
plotted for a non-rotating and a fast rotating black hole with a=0 (solid curve)
and a/M=0.998 (dotted curve), respectively. The curves are compared to the
observations of Mrk 110 (boxes) and the best-fitting
Kerr ray
tracing simulation (filled circles).
![\begin{figure}
\rotatebox{0}{\includegraphics[width=9cm,clip]{Figures/5615fig8.ps}}
\end{figure}](/articles/aa/full/2006/38/aa5615-06/Timg111.gif) |
Figure 8:
Variation of the projection parameter p with inclination i as computed from Kerr
ray tracing. The numerical data points can be approximated by a cosine function (solid),
within 10% precision. p measurements from observations
give inner disk inclinations. The cross marks the result for Mrk 110 based on K03 data:
. |
| Open with DEXTER |
It is evident from the figure that the rotation of space-time is important only at small radii,
.
Therefore, black hole rotation can only be probed with spectral features
originating in regions very close to the black hole, like the X-ray fluorescence lines of iron.
Optical emission lines are not suited for probing black hole rotation in that manner - at least not
for AGN. The reason for the small offset between the ray tracing results shown by the filled circles
in Fig. 9 and the Schwarzschild/Kerr lapse functions plotted as solid and dotted
lines is the different velocity field of the emitters and the transverse Doppler effect. The
ray traced emitters are assumed to rotate stationarily, whereas the lapse functions only coincide with
ray traced g-values when static emitters are assumed. Also the ray traced redshift values are based
on
computed by averaging over the whole line (Eq. (2)), and therefore are
less sharp than those given by the lapse function.
Multi-wavelength observations such as the ongoing COSMOS project
may help filling the gap between 2 and 200
in Fig. 9. If several
gravitationally redshifted spectral lines can be identified in a source, the central mass can be
determined with high accuracy.
4.5 Assumptions
BLR emission lines are influenced by both gravitational redshift and Doppler
effects. Therefore, the fitting procedure involves two parameters, black
hole mass M and inclination angle of the emitter i. The inclination
can be determined if the black hole mass is known from other methods. In
case of Mrk 110, the mass of the SMBH was inferred from reverberation
mapping as well as from gravitational redshift in the literature.
Other techniques are measurements involving stellar and gas dynamics, the
M-
relation and Masers.
To be able to determine the inner inclination, we used the best fit
black hole mass computed from gravitational redshift found in K03.
The error boxes of K03 can be fitted quite well with the ray tracing
results (3.9% error). Hence, a model with stationary rotating rings
distributed in a radial range between 240 and 4700
and
inclined to
can explain the observed gravitational
redshift of optical lines in Mrk 110.
It is surprising that a simple Keplerian rotating model can describe the
BLR structure so well. Similar results have been obtained e.g. for NGC 5548 (Peterson & Wandel 1999) and other AGN (Onken & Peterson 2002; Peterson & Wandel 2000; Chen et al. 1989).
In this work we have made the assumptions of a flat and Keplerian rotating
BLR structure. However, nature is supposed to be more complicated allowing
particularly for BLR wind components and opacity effects
(Popovic et al. 1995; Chiang & Murray 1996). This implies a modification of the solver
including radial and poloidal motion as well as photon propagation through
a dense volume.
Furthermore, disk warping has not been considered and this may significantly
change the results. For warped disks the analysis has to be extended by using
suitable generalized ray tracing codes e.g. like the one by Cadez et al. (2003).
![\begin{figure}
\rotatebox{0}{\includegraphics[width=9cm,clip]{Figures/5615fig9.ps}}
\end{figure}](/articles/aa/full/2006/38/aa5615-06/Timg114.gif) |
Figure 9:
Synoptical plot with optical K03 data for Mrk 110 (boxes) and best fitting
Kerr ray tracing simulation with
(filled circles) as well as lapse
functions for a static (Schwarzschild, solid) and rotating (Kerr, dotted)
black hole. An essential statement illustrated here is that optical BLR lines can not
probe black hole rotation due to their huge distance. Generally, multi-wavelength observations
are recommended to fill the gap at smaller radii. |
| Open with DEXTER |
5 Conclusions
Line cores at distances from 2 to 100 000
from a rotating black hole
have been analysed using relativistic ray tracing simulations in the Kerr geometry.
The line cores are gravitationally redshifted by
at
distances of
from the black hole,
respectively. This
behaviour at large radii
is a straightforward consequence of the Schwarzschild factor. Lines characterised by
a core energy
confirm this scaling behaviour.
Gravitational redshift occurs in two modes. One regime starts at larger distances from
the black hole and shifts only the line as a total feature while conserving its intrinsic
shape; the amount of redshift can be looked up in Table 1. The other regime,
which is the strong gravity regime, dominates
at
or at
cm for a ten million solar
mass black hole. Relativistic emission lines originating in this region are strongly
deformed and suppressed and differ substantially from the corresponding line profiles
in the emitter's rest frame.
The present work has demonstrated that the onset of GR becomes important at
distances smaller than
if assuming an optical spectral resolution
of 0.1 Å. It is stressed that this critical radius depends on the astronomical resolving
power and lies farther out if the resolution is higher. However, even with high-resolution
spectroscopy it remains a challenge to probe gravitationally redshifted spectral lines due
to the fact that competing effects and more complex physics are likely to be involved: a
flat Keplerian BLR model may be too simple to model the complex BLR velocity field and both
spherical BLR structure and a wind component may play a crucial role.
In addition, narrow-line components and e.g. contamination of the H
line by
FeII may also complicate both the analysis and the
interpretation. Nevertheless, the theory of
General Relativity predicts that the gravitational redshift is present, and a valuable
ansatz for probing it is to search for systematic shifts with varying distance, as done by K03. It is suggested in this work to supplement this by multi-wavelength observations that should all point towards the same central mass and inner inclination.
We confirm the analysis by K03 of the NLS-1 galaxy Mrk 110 here, using a more general
treatment with stationary g-factors that are in concordance with observational data.
Ray tracing simulations in the Kerr geometry support an inclination of
for
the inner disk of Mrk 110. Reversely, if the inclination is known, this can be exploited to
determine the black hole mass from the fitting procedure outlined here. Whether fitting i
or M (or both) - such techniques may help explore AGN unification schemes: multi-wavelength
studies allow for studying the inclination deep into the AGN and to probe orientation and
luminosity-dependence of AGN types. Furthermore, we show that broad optical lines can not
serve as a probe of black hole spin because frame-dragging effects only occur very close to
the black hole. In this region, only hot emission lines (such as the Fe K
line in
X-rays) or other relativistic spectral features indicate black hole spin. The analysis
presented here is not only valid for supermassive black holes but also for stellar-mass
black holes in X-ray binaries or intermediate-mass black holes that may be found in
ultra-luminous X-ray sources or globular clusters.
Acknowledgements
A.M. wishes to thank the organizers and participants of the Japanese-German meeting in Wildbad
Kreuth, Germany, especially Wolfram Kollatschny (University of Göttingen) and Lutz Wisotzki
(AIP). We wish to thank John Silverman (MPE) for inspiring discussions.
-
Blandford, R. D., & McKee, C. F. 1982, ApJ, 255,
419 [NASA ADS] [CrossRef]
- Cadez, A.,
Brajnik, M., Gomboc, A., Calvani, M., & Fanton, C. 2003,
A&A, 403, 29 [EDP Sciences] [NASA ADS] [CrossRef] (In the text)
- Chen, K., Halpern,
J. P., & Filippenko, A. V. 1989, ApJ, 339, 742 [NASA ADS] [CrossRef]
- Chiang, J.,
& Murray, N. 1996, ApJ, 466, 704 [NASA ADS] [CrossRef]
- Collin, S.,
Kawaguchi, T., Peterson, B., & Vestergaard, M. 2006, ArXiv
Astrophysics e-prints
(In the text)
- Corbin,
M. R. 1997, ApJ, 485, 517 [NASA ADS] [CrossRef] (In the text)
-
Cunningham, C. T. 1975, ApJ, 202, 788 [NASA ADS] [CrossRef] (In the text)
- Czerny, B.,
Rózanska, A., & Kuraszkiewicz, J. 2004, A&A, 428,
39 [EDP Sciences] [NASA ADS] [CrossRef] (In the text)
- Fabian,
A. C., Rees, M. J., Stella, L., & White, N. E.
1989, MNRAS, 238, 729 [NASA ADS]
- Kaspi, S., Smith,
P. S., Netzer, H., et al. 2000, ApJ, 533, 631 [NASA ADS] [CrossRef]
-
Kollatschny, W. 2003, A&A, 412, L61 [EDP Sciences] [NASA ADS] [CrossRef] (In the text)
- Konigl, A.,
& Kartje, J. F. 1994, ApJ, 434, 446 [NASA ADS] [CrossRef] (In the text)
-
Lynden-Bell, D. 1969, Nature, 223, 690 [NASA ADS] [CrossRef]
-
Lynden-Bell, D., & Rees, M. J. 1971, MNRAS, 152, 461 [NASA ADS]
- Müller,
A., & Camenzind, M. 2004, A&A, 413, 861 [EDP Sciences] [NASA ADS] [CrossRef] (In the text)
- Netzer, H.
1977, MNRAS, 181, 89P [NASA ADS] (In the text)
- Netzer, H.
2003, ApJ, 583, L5 [NASA ADS] [CrossRef] (In the text)
- Onken,
C. A., & Peterson, B. M. 2002, ApJ, 572, 746 [NASA ADS] [CrossRef]
- Peterson,
B. M. 1993, PASP, 105, 247 [NASA ADS] [CrossRef]
- Peterson,
B. M., & Wandel, A. 1999, ApJ, 521, L95 [NASA ADS] [CrossRef] (In the text)
- Peterson,
B. M., & Wandel, A. 2000, ApJ, 540, L13 [NASA ADS] [CrossRef]
- Peterson,
B. M., Meyers, K. A., Carpriotti, E. R., et al.
1985, ApJ, 292, 164 [NASA ADS] [CrossRef] (In the text)
- Peterson,
B. M., Berlind, P., Bertram, R., et al. 2002, ApJ, 581,
197 [NASA ADS] [CrossRef] (In the text)
- Popovic,
L. C., Vince, I., Atanackovic-Vukmanovic, O., & Kubicela,
A. 1995, A&A, 293, 309 [NASA ADS]
- Robinson,
A., Perez, E., & Binette, L. 1990, MNRAS, 246, 349 [NASA ADS] (In the text)
- Ruiz, J. R.,
Crenshaw, D. M., Kraemer, S. B., et al. 2001, AJ,
122, 2961 [NASA ADS] [CrossRef] (In the text)
- Shapiro,
S. L. 2005, ApJ, 620, 59 [NASA ADS] [CrossRef] (In the text)
- Tanaka, Y.,
Nandra, K., Fabian, A. C., et al. 1995, Nature, 375,
659 [NASA ADS] [CrossRef]
- Thorne,
K. S. 1974, ApJ, 191, 507 [NASA ADS] [CrossRef] (In the text)
- Woltjer, L.
1959, ApJ, 130, 38 [NASA ADS] [CrossRef] (In the text)
- Zheng, W., &
Sulentic, J. W. 1990, ApJ, 350, 512 [NASA ADS] [CrossRef] (In the text)
Copyright ESO 2006