| Issue |
A&A
Volume 494, Number 2, February I 2009
|
|
|---|---|---|
| Page(s) | 563 - 577 | |
| Section | Extragalactic astronomy | |
| DOI | https://doi.org/10.1051/0004-6361:200810543 | |
| Published online | 04 December 2008 | |
Cosmic rays and the magnetic field in the nearby starburst galaxy NGC 253
I. The distribution and transport of cosmic rays
V. Heesen1 - R. Beck2 - M. Krause2 - R.-J. Dettmar1
1 - Astronomisches Institut der Ruhr-Universität Bochum, Universitätsstr. 150, 44780 Bochum, Germany
2 - Max-Planck Institut für Radioastronomie, Auf dem Hügel 69, 53121 Bonn, Germany
Received 8 July 2008 / Accepted 28 November 2008
Abstract
Context. Nearby edge-on galaxies showing a synchrotron halo are nearly ideal objects for studying the transport of cosmic rays (CRs) in galaxies. Among them, the nearby starburst galaxy NGC 253 hosts a galactic wind indicated by various ISM phases in its halo.
Aims. The diffusive and convective CR transport from the disk into the halo is investigated using the local CR bulk speed. The connection between the CR transport and the galactic wind is outlined.
Methods. We observed NGC 253 with the VLA at
in a mosaic with 15 pointings. The missing zero-spacing flux density of the VLA mosaic was filled in using observations with the 100-m Effelsberg telescope. We also obtained a new
map from Effelsberg observations and reproduced VLA maps at
and
.
The high dynamic range needed due to the strong nuclear point-like source was addressed with a special data calibration scheme for both the single-dish and the interferometric observations.
Results. We find a thin and a thick radio disk with exponential scaleheights of
and
at
.
The equipartition total magnetic field strength between
and
in the disk is remarkably high. We use the spectral aging of the cosmic ray electrons (CREs) seen in the vertical profiles of the spectral index to determine a lower limit for the global CR bulk speed as 170
.
The linear correlation between the scaleheights and the CRE lifetimes, as evident from the dumbbell shaped halo, requires a vertical CR transport with a bulk speed of 300
in the northeastern halo, similar to the escape velocity of
.
This shows the presence of a ``disk wind'' in NGC 253. In the southwestern halo, the transport is mainly diffusive with a diffusion coefficient of 2.0
0.2
.
Conclusions. Measuring the radio synchrotron scaleheight and estimating the CRE lifetime allow us to determine the bulk speed of the CR transport into the halo. The transport is convective and more efficient in the northeastern halo, while it is diffusive in the southwestern halo. The luminous material is transported by the disk wind, which can explain the different amounts of extra-planar H I, H
,
and soft X-ray emission in the two halo parts. Future low-frequency radio observations will provide the data to analyze the vertical velocity profile of galactic winds.
Key words: galaxies: individual: NGC 253 - ISM: cosmic rays - methods: observational - methods: data analysis - galaxies: halos - galaxies: ISM
1 Introduction
NGC 253 is a prototypical starburst galaxy at a distance of 3.94 Mpc (Karachentsev et al. 2003). It is a late-type spiral galaxy with a high inclination angle of
(Pence 1980). This allows observations of extra-planar components of the interstellar
medium (ISM) at different wavelengths: ROSAT Position Sensitive Proportional Counter (PSPC) observations have revealed a very extended halo of soft diffuse X-ray emission extending into the halo to a distance of
from the disk. The prominent lobes of soft X-ray emission show a distinct ``X''-shaped pattern centered on the nucleus (Pietsch et al. 2000). Moreover, H
observations by Hoopes et al. (1996) show plumes emerging from the disk into the halo,
which spatially coincide with the lobes of the soft X-ray emission. Observations of Boomsma et al. (2005) in H I show large plumes of extra-planar H I emission enclosing the soft X-ray emission.
Given the different phases of the ISM in the halo of NGC 253, the question arises of how the observed halo structure was formed. The distribution of the different ISM phases in shells has led to the suggestion that the halo can be considered as one huge bubble that is fueled by an active star-forming region around the nucleus of the galaxy (Strickland et al. 2002). This scenario is supported by the finding of a small plume of hot X-ray gas in CHANDRA maps associated with a conical outflow from the nuclear starburst (Strickland et al. 2000). Spectroscopic measurements of
H
-emitting gas in the southern nuclear outflow cone by Schulz & Wegner (1992) give an outflow velocity of
.
Numerical models by Suchkov et al. (1994) follow the evolution of a multi-phase halo powered by a compact source located in the center of the disk. A close resemblance of the ``X''-shaped pattern of the soft X-ray emission was indeed found, which could be interpreted as the termination shock of the hot gas where the gas cools effectively.
A possible explanation for the amount of X-ray and H
-emitting gas in the halo is the dissipation of kinetic energy via shock heating (Lehnert & Heckman 1996) if the thermalization fraction is high enough (Strickland et al. 2002). A precondition for this model is the existence of cool gas in the halo that condenses to clouds from which the shock can form. ISOPHOT observations discussed by Radovich et al. (2001) show ``X''-shaped far-infrared emission overlapping with the H
and X-ray emission, indicating the existence of such a cool gas. However, the origin of the gas is not clear. It could be a preexisting population of cool gas in the halo, possibly accreted from a merger with a satellite. Another possibility is that the gas of the disk can be transported into the halo along the walls of the cavity as Kelvin-Helmholtz instabilities rip off clumps of cool gas in the disk (see e.g. Heckman et al. 2000; Suchkov et al. 1994). Summarizing, it is important to understand how the gas is transported from the disk into the halo.
Cosmic rays (CRs) and magnetic fields are important for the evolution of the ISM, because they may possess an energy density comparable to that of the thermal gas (Beck et al. 1996). They are even more important for the study of galactic winds, because the thermal gas itself can drive a galactic wind only when the heating processes are sufficiently strong and the gravitational potential is comparably weak. A good example of this situation is the edge-on galaxy M 82, which possesses a
huge halo of hot X-ray, H
,
and radio continuum emission. However, the hot gas cools radiatively preventing the escape from the gravitational potential and falls back onto the disk in
condensed clouds. This galactic fountain scenario proposed by Field et al. (1969) might explain the infall of the so-called High Velocity Clouds that could be interpreted as cooled remnants
of the hot gas.
If we incorporate the CR pressure the galactic wind can be sustained against the radiative losses (Ipavich 1975), because the CRs suffer only little from radiative losses (mainly via synchrotron losses of the electrons). As the protons carry most of the energy this does not influence the CR energy density. Thus the pressure support from below can drive a galactic wind against the gravity of the underlying galactic disk. Breitschwerdt et al. (1993,1991) started a series of papers treating the CR transport along ``flux density tubes'' in a one-dimensional model. This model was extended to a full three-dimensional treatment (with rotational symmetry) by Zirakashvili et al. (1996), including the influence of galactic rotation. It was found that CRs can drive a galactic wind under a broad variety of conditions in the disk and that the loss of mass and momentum over the lifetime of a galaxy is significant (Ptuskin et al. 1997). A recent study by Everett et al. (2008) showed that the extra-planar X-ray emission in the Milky Way can be explained by a CR driven galactic wind.
The theory of a CR driven galactic wind can be constrained with radio continuum studies: as the relativistic CRs are the most pervasive component of the ISM, they are expected to be associated with the other phases in the halo of NGC 253. Indeed, a radio halo around NGC 253 was detected by Beck et al. (1979) using the 100-m Effelsberg telescope at
.
However, no correction for the sidelobes of the strong nuclear point-like source was applied and thus it
was not possible to disentangle the intrinsic halo emission from the contribution by the sidelobes. The study was extended later with VLA interferometric observations by Carilli et al. (1992), which show an extended radio halo over the length of the optical disk very different in shape from the halo seen in X-rays. The finding of a large ``radio spur'' southeast of the nucleus already led to speculations of an outflow connected with the spur.
Extending the observations to other wavelengths and including polarization, a prediction of the magnetic field structure in the disk was presented by Beck et al. (1994). The sensitivity of the
observations, however, was not sufficient to get information for the extra-planar polarized emission so that the magnetic field structure in the halo could not be determined. With the new VLA mosaic at
we are able to increase the sensitivity at short wavelengths, allowing us to study in detail the extra-planar emission and possible relations to the outflow of hot gas. The
advantage is that the high synchrotron losses at this short wavelength impose tighter constraints on the CR transport from the disk into the halo. Moreover, for the first time sensitive polarization
measurements were carried out to study the large-scale magnetic field structure in the halo of NGC 253, which will be addressed in a subsequent paper (thereafter Paper II).
This paper is organized as follows: in Sect. 2 we introduce our observations and present the data reduction. We present our radio continuum maps along with a discussion of the morphology in Sect. 3. The distribution of the radio spectral index is presented in Sect. 4. The finding of an extended radio halo with a thick radio disk leads to the determination of the vertical CR bulk speed (Sect. 5). In Sect. 6 we discuss the impact of our findings on the feeding of the radio halo with CRs from the star-forming disk. Finally, we summarize our results and present our conclusions in Sect. 7.
2 Observations and data reduction
2.1 The Effelsberg observations
For the single-dish observations at
and
of NGC 253 we used the Effelsberg 100-m telescope
. The
observations were obtained between February 2003 and July 2004 with a single-horn receiver mounted in the secondary focus cabin (SFK). We used the broad band receiver channel centered at
which has a bandwidth of
.
The
observations were carried out in 1997 with a dual-horn receiver mounted in the SFK using a bandwidth of
centered at
.
Both receivers are capable to record the total intensity and the Stokes channels Q and U simultaneously. As primary (flux) calibrator we used 3C 286 adopting the flux density scale of Baars et al. (1977).
We observed 26 maps at
with a map size of
.
Two perpendicular scanning directions were aligned with the major/minor axis of NGC 253 (
), in order to reduce the time for scanning. For the
observations we made use of the ``software beam switching'' technique described in Morsi & Reich (1986). Since the
observations with the dual-horn are made in the azimuth-elevation coordinate system, we used a restoration method (see Emerson et al. 1979) to obtain eleven maps with a size of
.
The data reduction was performed using NOD2 data reduction package (Haslam 1974). Each map was checked and corrected for pointing errors using Gaussian fits on the nuclear point-like
source in NGC 253. The final map was produced using the PLAIT algorithm, which we used to suppress scanning effects (Emerson & Gräve 1988). The noise level of the final map at
is
in total power with a resolution of
![]()
. At
a noise level of
with a resolution of
was achieved.
![]() |
Figure 1:
The VLA mosaic of NGC 253 at
|
| Open with DEXTER | |
The sidelobes of the Effelsberg beam pattern peak at a level of a few % which limits the dynamic range to 100 at most. As the nuclear point-like source has a flux density of
,
we would be limited to a noise level of
.
In order to overcome these limitations we had to remove the sidelobes of the nuclear point-like source. This was accomplished by applying a procedure
similar to the CLEAN algorithm by Högbom (1974). This procedure was revised and extended for application on single-dish observations by Klein and Rottmann (see Klein & Mack 1995; Rottmann 1996). The required beam patterns were obtained from deep observations of 3C 84 and 0234-23 at
and
,
respectively. Each single map of NGC 253 was cleaned with the mean parallactic angle of the map, respectively. This is sufficient, since the variation of the parallactic angle is less than
during the observation of a single map.
We were able to obtain essentially noise limited maps with a dynamic range of at least 1000. The cleaned structures (the difference between the uncleaned and the cleaned map) exhibit prominent sidelobes extending far from the disk underlining the importance of a careful cleaning procedure. Details of the single-dish cleaning can be found in Heesen (2008).
2.2 The VLA observations
With the VLA
in D-configuration we observed NGC 253 in July 2004 at
with a total integration time of 40 h. The size of the primary beam of the VLA antennas at
is
,
requiring a mosaic of 15 pointings. They were arranged in three rows parallel to the major axis of the galaxy, including much of the extra-planar field of interest. An illustration of the mosaic setup is shown in Fig. 1 as an overlay onto an optical image from the DSS
. The data were calibrated with 3C 48 and 3C 138 as primary (flux) calibrators using the standard procedures in the Astronomical Image Processing System
with the flux density scale given in Baars et al. (1977). The performed self-calibration allowed us to suppress the sidelobes of the nuclear point-like source in order to gain a high dynamic range.
After inverting the (u,v)-data and the successive cleaning we convolved the maps of each pointing with a Gaussian in order to obtain an identical clean beam. Using LTESS (part of AIPS) the maps were
finally combined with a linear superposition and a correction for the VLA primary beam attenuation using information from each pointing out to the 7% level of the primary beam (Braun 1988). Our final map has a noise level of
in total power which corresponds to a dynamic range of 40 000 with respect to the nucleus.
An important shortcoming of interferometric observations is the limited sensitivity to extended emission on large angular scales. The VLA in D-configuration at
is only sensitive to emission with a scale smaller than
.
Since NGC 253 is much larger, we observe with the VLA only a fraction of the extended emission detected with a single-dish telescope. The influence of the missing zero-spacing flux density can be easily seen by comparing the Effelsberg map at
in Fig. 3
with the VLA map shown in Fig. 2. The missing total flux density is
about 10% of the total flux density measured with Effelsberg; if the flux density of the extended emission (without the nuclear point-like source) is considered, the fraction of the missing
zero-spacing flux density increases to 20%.
We used the Effelsberg map in order to fill in the missing zero-spacing flux in the VLA map. This was done using IMERG (part of AIPS) which performs a Fourier combination of the two maps. We stress that in particular for mosaics, which cover the entire region of interest, a single-dish map is necessary in order to detect all extended emission.
The
and
maps are from VLA observations by Carilli et al. (1992). While one pointing with a primary beam size of
is sufficient to cover NGC 253 at
,
three pointings with a beam size of
were combined to a mosaic at
.
The largest angular scale structure which can be imaged reasonable well with the VLA is
at
and
at
,
respectively. The needed correction for the missing zero-spacing flux of the mosaic at
was not performed because no single-dish map is available at this
wavelength. Hence, the
map is not well suited to investigate the structure of the extended emission in the halo.
3 Morphology of the total power emission
We present the total power maps as contour plots with the first contour indicating emission at three times the rms noise level (
2m-1;
). The optical background image was obtained from the DSS. A summary of the maps presented in this paper can be found in Table 1.
![]() |
Figure 2:
Total power radio continuum at
|
| Open with DEXTER | |
![]() |
Figure 3:
Total power radio continuum at
|
| Open with DEXTER | |
The continuum emission not only extends over the optical disk along the major axis, but we also find a notable extension of emission along the minor axis in all maps. We refer to this as extra-planar emission. A detailed analysis and proof that the emission does not belong to the disk is given in Sect. 5.1. The extent of extra-planar emission is strongly dependent on the observation wavelength, which can be seen by comparing the maps. The
map shown in Fig. 4 has very pronounced
extra-planar emission, while the disk does not show up prominently. The
and
maps presented in Figs. 5 and 6 have less extra-planar emission and at
there is almost no extra-planar emission (Fig. 7).
The morphology of the total power emission also depends on the resolution and the sensitivity of the maps. In the
and
maps with a resolution of
the spiral arms are distincted features in the disk, one extending to the northeast and another to the southwest. The inner part of the disk is visible as a plateau of high emission coinciding
with the brightest part in the optical image. In all maps, independent of the resolution, there is an extension southeast of the nucleus with an unresolved source at its southern tip. This is an example of a so-called ``radio spur'', where the magnetic field has a strong vertical component, as will be shown in Paper II.
Table 1: The maps of NGC 253 included in this paper.
![]() |
Figure 4:
Total power radio continuum at
|
| Open with DEXTER | |
![]() |
Figure 5:
Total power radio continuum at
|
| Open with DEXTER | |
![]() |
Figure 6:
Total power radio continuum at
|
| Open with DEXTER | |
![]() |
Figure 7:
Total power radio continuum at
|
| Open with DEXTER | |
The total extent of emission perpendicular to the disk is not a good measure for the amount of extra-planar emission since it depends on the sensitivity of the observations. This is visible in the
map which shows less extra-planar emission than the
map because its noise level is 10 times higher. Thus, with a low sensitivity we observe only the brightest tip of the radio halo. Moreover, the extent appears to be larger for low resolutions. This is the motivation to use the scaleheight h which prescribes the emission profiles perpendicular to the disk as an exponential function
of the distance z from the galactic midplane. In Sect. 5.1 we discuss the scaleheights in order to characterize the radio halo.
We find that the extent of the extra-planar emission varies with the offset along the major axis. The contour lines in all maps show a dumbbell shape which means that the extension of the extra-planar emission has a local minimum at the center of the disk. While this trend is visible in
all maps it is clearly seen at the shorter wavelengths. Especially the
map
has a prominent neck above and below the nucleus, where the contour lines indicate a steep gradient along the minor axis. This points to a smaller scaleheight of the extra-planar emission. If the scaleheight were constant along the major axis, the largest vertical extension of the emission would be expected in the center. We investigate this issue and give an explanation in Sect. 5.
4 Spectral index distribution
4.1 Unresolved sources
Our continuum maps, in particular those with the highest resolution, show several unresolved (point-like) sources. We identified the sources in order to subtract them from the maps prior to our analyis of the extended emission. We obtained peak flux densities and positions by fitting Gaussians to them, where we corrected the peak flux density for the underlying extended emission. This is particularly important for the nuclear point-like source, because it is embedded in strong extended emission. The list of point-like sources presented in Table 2 includes positions, flux densities, and spectral indices. The spectral
is defined by the relation
,
where S is the total power radio continuum flux density and
is the observation frequency. The strongest two sources, the nucleus (No. 3) and the source in the radio spur (No. 6), are detected at all four wavelengths. For these two sources the spectral
index and its error is calculated in the range between
and
.
Point source No. 6 was resolved with VLA observations in B-configuration into two components with
separation (Carilli et al. 1992). This source that has no known optical counterpart is likely a background AGN.
4.2 Total flux density
The total radio continuum flux density was integrated within ellipses with the major axis aligned to the position angle (
)
of NGC 253. The ellipses were chosen such that the visible extended emission in the disk and halo is covered. The parameters of the flux density integration are listed in Table 3 and the total flux densities obtained at different measurements are listed in Table 4. The flux densities of the
point-like sources were
subtracted from the total flux density, in order to obtain the flux density of the extended emission only.
The average spectral index of the extended emission is
0.08 in the range between
and
.
This spectrum is considerably steeper than that of young cosmic ray electrons (CREs) in supernova remnants (SNRs) with
,
although young shell SNRs can have a steeper spectrum with
(see e.g. Green 2002). This is an indication for synchrotron losses of the CREs, which is be
discussed in Sect. 5.3.
Assuming a thermal fraction of 8% at
(Niklas et al. 1997), we find a synchrotron non-thermal spectral index of
= 1.0.
4.3 Extended emission
Table 2: Unresolved sources which are denoted in Figs. 4-7. The error of the flux densities was calculated assuming a 5% calibration error.
![]() |
Figure 8:
Spectral index distribution between
|
| Open with DEXTER | |
![]() |
Figure 9:
Spectral index distribution between
|
| Open with DEXTER | |
![]() |
Figure 10:
Spectral index distribution between
|
| Open with DEXTER | |
Table 3:
The total flux densities were integrated within ellipses chosen to include the extended emission in the disk and halo. The major axis a, and the minor axis b for each wavelength
is presented.
In this section we present the spectral index distribution of the extended emission, which we obtained from the total power maps. The center of all spectral index maps is dominated by the nuclear point-like source (No. 3) with its flat spectral index of
.
In Fig. 8 we present the
spectral index map. The
map was convolved with a Gaussian to match the resolution of the
map with
.
At this low resolution the inner disk and the spiral arms are not resolved. We find that the spectral index gradually steepens with increasing distance from the major axis, with the gradient strongest in the inner part of the disk. There is a slight trend that indicates that the southwestern part possesses a flatter spectral index than the
northeastern part. At the southern tip of the radio spur the point-like source No. 6 is recognized by its flatter spectral index of
compared with the spectral index in the halo.
The
spectral index map presented in Fig. 9 with its higher resolution of
reveals more details. The spiral arms are well resolved and show a flatter spectral index than the inter-arm regions. In
addition the inner disk has a notable plateau with a flat spectral index of
extent along the major axis, which is not so clearly seen in the other maps. We find regions of steep spectral
index
at the base of the radio spur and at the northeastern extension. This finding agrees with the
spectral index map presented above, which
has a steep spectral index at these locations, too.
The
spectral index map presented in Fig. 10 has the lowest angular resolution of
among our spectral index maps. The morphology of this map is similar to the
map even though smoothed out in comparison. The spectral index is flat in the inner disk and in the spiral arms with
.
Limited by the sensitivity of the
map we find only four small extensions with extra-planar spectral indices, which are steeper than in the disk. The exception is the extension northwest of the nucleus, which contains the point-like source No. 2 with a flat spectral index of
.
Table 4:
Integrated total power flux densities.
is the total integrated flux density and
is the flux density of the extended emission only. The error of the flux densities was calculated as the quadratic sum of a 5% calibration error and the baselevel error.
5 Cosmic ray transport
While the CRs are created and accelerated in the disk, the observation of extra-planar radio continuum emission requires a transport of CRs from the disk into the halo. This transport is investigated in this section.
5.1 The scaleheight of the thick radio disk
With the observed inclination angle of
(Pence 1980) any emission profile taken perpendicular to the disk is a superposition of disk and halo
emission. We created a template of the vertical emission profile by projecting the emission profile along the major axis onto the minor axis. Moreover, the profile was convolved to the resolution of the observations in order to account for the beam smearing. Thus, the effective beam size was
determined by fitting a Gaussian to the resulting profile. Any emission profile perpendicular to the disk that does not exceed the effective beam size cannot be attributed to extra-planar emission but
is just the observed inclined emission of the disk. Hence, we arrived at effective beam sizes of
,
,
,
and
for
,
,
,
and
,
respectively.
For the following analysis of the extended emission we subtracted all point-like sources by fitting Gaussians to them. The emission profiles were obtained using a strip integration perpendicular to the major axis with a strip width of
(
)
and a pixel separation of
(
). With the routine discussed in Dumke et al. (1995) profiles
consisting of two exponential functions were fitted to the measured profiles taking the effective beam size into account. This yields a scaleheight of the thin and the thick radio disks for the northern and the southern hemisphere, respectively. The synchrotron scaleheight
is calculated as the mean of the scaleheight of the thick radio disk in the northern and the southern hemisphere. In case we could not obtain a two-component fit, we took the one-component
exponential scaleheight as the thick radio disk.
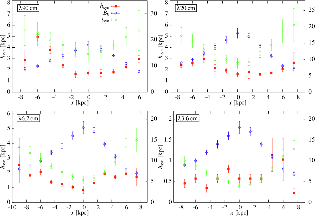
The scaleheights are smallest in the center and increase along the major axis further away from the center. This is shown in Fig. 11 where also the variations of the
total magnetic field strength and the CRE lifetime are presented. The error of the scaleheights is estimated by varying the choice of data points. Moreover, the difference between the northern and the southern scaleheights contributes to the error. The weighted mean scaleheight at
of the thin radio disk is
(0.38
). The thick radio disk at
has a scaleheight of
(1.7
). At
scaleheights of
(0.44
)
for the thin radio disk and
(1.7
)
for the thick radio disk are found. Note that the
profiles drop beyond
height above the disk due to missing large-scale structure. However, this has only a marginal effect on the scaleheights.
The
and
maps have a sufficient signal-to-noise (S/N) ratio, so that we were able to obtain two-component exponential distributions, whereas the
map does not have a sufficient S/N ratio so that we used only a one-component exponential distributions. At
we found a mean scaleheight of
(0.6
)
and at
we found
(2.5
). The scaleheights at
are dominated by the thin disk, because the low signal does not allow the thick disk to be traced to sufficiently large distances. In contrast at
the emission is dominated by the thick radio disk so that one-component exponential fits are sufficient.
![]() |
Figure 11:
Scaleheight
|
| Open with DEXTER | |
The average scaleheight of NGC 253 agrees well with those reported for other edge-on galaxies at
(see also Sect. 6). That the scaleheight of the
thick radio disk is larger than the effective beam proves the finding of extra-planar emission and hence the existence of a radio halo. The scaleheights of the thick disk at
,
,
and
are smallest for the central strips where the
underlying SFR is highest. This important observation is the result of synchrotron loss and is discussed in the next sections.
![]() |
Figure 12:
Total power emission profiles in
|
| Open with DEXTER | |
5.2 The total magnetic field strength
From the non-thermal total power emission one can determine the total magnetic field strength assuming equipartition between the energy density of the CRs and the magnetic field. Here we used the revised equipartition formula by Beck & Krause (2005) assuming a pathlength of
,
which is the full width to the half power of the Gaussian fitted to the total power emission along the major axis. Moreover, we assumed a non-thermal spectral index of
(see Sect. 4.2), a fractional polarization of 5.5% (see Paper II), and a number
density ratio K0=100 of protons and electrons. We stress that the last assumption might not be well fulfilled at large distances from the disk, because the CREs suffer high synchrotron losses whereas the CR protons are almost unaffected. Hence, the observed K factor increases with increasing distance from the CR sources which are located in the disk. The magnetic field strength is then underestimated by a small factor of
(K/K0)1/4 (Beck & Krause 2005).
The structure of the regular magnetic field in NGC 253 is a superposition of a disk and a vertical component (see Paper II). The disk component is a spiral with a constant pitch angle and the
inclination angle of the optical disk. The vertical component is orientated perpendicular to the disk. The above presented parameters as well as the geometry of the magnetic field were assumed to be constant when computing the total magnetic field strength. To check the sensitivity of this assumption we varied the parameters in a certain range and observed its influence on the total magnetic field strength. We used an integration path length between
and
,
a fractional polarization between 5% and 20%, a non-thermal spectral index between 0.8 and 1.2, and assumed two structures for the magnetic field: disk-parallel or vertical. The former one describes the geometry of the magnetic field structure in the disk, where all possible magnetic field directions along the line of sight are taken into account. The latter one describes the geometry of the magnetic field in the halo, where a constant magnetic field direction along the line of sight is assumed. The variation of the total magnetic field strength in this range of conditions was found to be
,
which we thus adopt as an estimate for the systematic error of the total magnetic field strength.
The total magnetic field strength was scaled with the non-thermal synchrotron intensity
using the standard equipartition formula (Beck & Krause 2005):
The distribution of the total magnetic field strength shown in Fig. 13 was calculated from the
Thompson et al. (2006) argued that the magnetic field strength in starburst galaxies may be underestimated using the equipartition value. Our measured mean magnetic field strength of
in the disk is accurately in equipartition with the mean gas surface-density
(Puche et al. 1991), so that the disk of NGC 253 fits onto the equipartition line, although its starburst nucleus does not (see Fig. 1 in Thompson et al. 2006).
5.3 Loss processes of the cosmic ray electrons
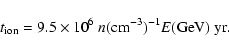
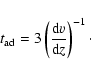
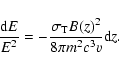
Several processes are known through which the CREs lose energy, like synchrotron radiation, inverse Compton (IC) losses, non-thermal bremsstrahlung, ionization losses, and adiabatic losses. They all have different timescales which determine the lifetimes of the CREs. In order to calculate the timescales we adopt the equations by Pohl (1990). The synchrotron lifetime of CREs is
where E is the CRE energy and B is the total magnetic field strength. In the following we use the relation between the CRE energy E, the observation frequency
For the
![]() |
(4) |
where
For the non-thermal CRE bremsstrahlung lifetime we use
![]() |
(5) |
where n is the ISM gas density. The ionization losses lead to a CRE lifetime of:
![]() |
(6) |
We now use a mean gas column density of
![]() |
Figure 13:
Map of the total magnetic field strength with a resolution of
|
| Open with DEXTER | |
The adiabatic timescale
depends only on the reciprocal velocity gradient. At this point we do not have any information about the velocity profiles. We estimate, however, the timescale of the adiabatic losses in Sect. 5.5 as 3.6
The local synchrotron lifetime calculated with Eq. (2) may be an overestimate, because we observe at a certain location the superposition of locally produced CRs and CRs, which were transported there from their origins. The latter ones have already lost a fraction of their energy and have shorter lifetimes than indicated by the local synchrotron losses. This
effect is large in the halo, where almost all CRs were transported away from their origins. In the disk, where we observe the highest fraction of locally produced CRs, this effect is small. Hence, we used the minimum of the local synchrotron lifetime
calculated from the maximum magnetic field strength B0 in the disk as the most accurate estimate.
Because B decreases with z,
is an underestimate. An improved estimate needs integration over the B profile, which is, however, not known well enough. As a starting point
we assume an exponential vertical profile. As shown in Appendix A we find in this case that
is overestimated by no more than 10% if we restrict the data to
.
Summarizing this section, the CRE energy loss is dominated by the synchrotron radiation and the adiabatic losses. Hence, we have to combine the two energy losses in order to estimate the lifetime
of the CREs, using:
![]() |
(8) |
Since the adiabatic time scale is constant, the CRE lifetime is a function of the synchrotron lifetime. This can be seen in Fig. 11, where we show the variation of B0 and
5.4 The cosmic ray bulk speed
![]() |
Figure 14:
Scaleheight
|
| Open with DEXTER | |
![]() |
Figure 15:
Same as Fig. 14 in the southwestern halo (between
|
| Open with DEXTER | |
As described in Sect. 3 the total power emission resembles a dumbbell shape at all observed wavelengths; the contour lines show a strong thinning in the center close to the nucleus at the brightest part of the disk. The analysis of the scaleheight of the thick radio disk confirms this morphological analysis: it increases with galactocentric radius with the minimum at the strip centered on the nucleus. The opposite behavior is found for the magnetic field
strength, which decreases from the center to the outer part of the disk. Hence, the scaleheight is small where the synchrotron lifetime
and hence the CRE lifetime
is small and vice versa.
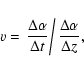
This relation motivates to calculate the average CR bulk speed,
where
![]() |
(10) |
where
Since
In Fig. 14 the scaleheight of the thick radio disk at
,
,
and
is shown for each strip as a function of the CRE lifetime. We find a (roughly) linear dependence between
and
.
The CR bulk speed in the northeastern halo is 300
,
where the error is dominated by the uncertainity in the magnetic field strength and thus in the electron lifetime. The linear
least square fit has a reduced
.
In the southwestern halo, we find a flatter dependence between the scaleheight and the CRE lifetime (Fig. 15) with a CR bulk speed of 250
with a (
). In this part of the halo the scaleheight can be better fitted by square root function (
).
In the northeastern halo, the CR bulk speed is constant between
and
and does not vary with the CRE lifetime. This can be explained by a convective CR transport, where the CRs and the magnetized ISM are transported together. In this case, the CR bulk speed is independent of the CR energy and hence in the northeastern halo the CR transport
is probably dominated by convection.
In the southwestern halo, the CR bulk speed decreases with increasing CRE lifetime and increasing wavelength. This can be explained by a diffusive CR transport where the CR bulk speed is
.
Here,
is the diffusion coefficient and
is the adiabatic index of the relativistic CR gas. Replacing the electron
scaleheight by
we obtain
.
Since the diffusion coefficient is usually assumed to increase with the CR energy (
), the CR bulk speed decreases both with increasing wavelength and with increasing synchrotron lifetime. This agrees with our observations and hence in the southwestern halo diffusion probably plays a significant role. Using the square root fit of
Fig. 15 we find a diffusion coefficient of
which is in the range of the values quoted by Breitschwerdt et al. (1993).
The relation between the scaleheight and the CRE lifetime explains the observed pattern of the dumbbell total power emission. In the center of the galaxy the magnetic field strength is highest and hence the synchrotron lifetime is smallest; it hampers the transport of CREs into the halo. This effect even overcomes the excess of emission in the center. The contour lines thus show a steep gradient in the center above and below the nucleus.
5.5 Adiabatic losses
Using the information about the CR transport we can now calculate the adiabatic loss timescale mentioned in Sect. 5.3. The CRs are accelerated to their bulk speed of
within the CRE scaleheight of
.
The adiabatic timescale is thus
using Eq. (7), assuming a constant acceleration. This timescale is similar to the synchrotron lifetime of the CREs. Hence, the adiabatic losses have to be considered in particular for the low-energy CREs emitting at
.
A transition of adiabatic loss dominated CR transport to radiative dominated CR transport should be visible in the spectrum as a steepening from a flat spectral index at low frequencies to a steep spectral index at high frequencies (Pohl & Schlickeiser 1990). The break in the spectrum with a steepening of
occurs at the frequency where the adiabatic losses are equal to the radiation losses.
Since the CR transport is different for the northeastern and southwestern halo it is worthwhile to investigate the spectra of the extended flux density in these regions separately. For this we
integrated the flux density in three boxes with a width of
and a height of
and an offset of
,
,
and
along the major axis. The corresponding spectra in Fig. 16 steepen to higher frequencies in particular the spectrum of the central region. This indicates high adiabatic losses at
.
From linear fits we derive the spectral index as 0.97
0.05, 0.82
0.05, and 0.89
0.05 in the northeastern, central, and southwestern halos, respectively.
![]() |
Figure 16: Spectra of the diffuse emission in the northeastern halo, the central halo, and the southwestern halo. |
| Open with DEXTER | |
5.6 Cosmic ray spectral aging
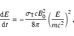
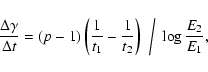
In the previous section we calculated the CR bulk speed from the scaleheight of the CRE and their lifetime. Since the radiation power of the synchrotron emission is proportional to E2, the spectral index steepens with time. This so-called CR spectral aging can be used for an alternative approach to calculate the CR bulk speed as we show in this section.
A single CRE loses its energy via synchrotron radiation with a loss power of
where
The electron spectral index is defined by
where the number densities N1 and N2 are calculated for two different CR energies E1 and E2. The electrons are injected at t=0 and are assumed not to be reaccelerated in the halo. If we neglect diffusion and assume a constant wind speed, the electrons can be considered to reside in a box while they are losing their energy due to synchrotron radiation. In this case their number density can be expressed by (Lisenfeld & Völk 2000)
![]() |
(14) |
where p is the injection spectral index which is assumed to be about
![]() |
(15) |
where t1 and t2 denote synchrotron lifetimes. The radio spectral index can be computed using
![]() |
(16) |
which only depends on the total magnetic field strength and the observation frequencies
where
![]() |
Figure 17:
Profiles of the spectral index between
|
| Open with DEXTER | |
We applied a strip integration in order to calculate profiles of the spectral index between
and
.
The strip width was
and the pixel separation was
.
The spectral index profiles are presented in Fig. 17 where the error bars were computed from the noise in the strips, which is smaller than the noise in the map (since the width of the strips is larger than the map resolution of
). The spectral index distribution shows an almost linear steepening in some (but not all) of the strips. This can be explained by a constant time derivative
and hence a
constant CR bulk speed v.
The central strips at
offset from the nucleus show a very flat spectral index for
.
This can be explained by a thermal flattening in the nuclear region at
(Carilli 1996). We restricted the analysis of the spectral index slope to heights larger than
where we do not expect any contribution of the thermal gas in the disk. The resulting CR bulk speeds are shown in Table 5, where the subscripts ``N'' and ``S'' denote the northern and and southern hemisphere, respectively. The mean CR bulk speed derived from the spectral index slope is 170
,
to be compared with the CR bulk speed obtained from the scaleheights of
.
Since the time derivative is taken at t=0 this is a lower limit for the CR bulk speed.
Table 5: Average CR bulk speeds obtained from the radio spectral index aging.
6 Discussion
The CR distribution to constrain the transport of CRs from the disk into the halo. The local CRE lifetime is dominated by synchrotron losses and depends on the magnetic field strength in the disk which is highest in the central part. The dependence of the scaleheight on the CRE lifetime, as evident from the dumbbell shaped halo, requires a vertical CR transport.
The CR bulk speed, defined by the ratio of the CRE scaleheight to their lifetime, is constant in the northeastern halo with 300
and remarkably similar when applied to our
observations at three different wavelengths. Thus, the local CR bulk speed is independent of the CR energy, the star-formation rate (SFR), and the magnetic field strength. Our second method to
determine the CR bulk speed is to use the spectral aging of the CREs. The steepening of the observed radio spectral index with increasing distance from the galactic midplane results in a lower
limit for the CR bulk speed with 170
.
Zirakashvili & Völk (2006) made an analytical model for the CR transport in the nuclear outflow. They found by comparison with
radio continuum data a velocity of
near the disk and
as terminal velocity.
Dahlem et al. (1995) and Dahlem et al. (2006) studied the CR distribution in edge-on galaxies. They found a tight and linear correlation between the radial extent of radio halos and the level of star-formation activity in the underlying disk. However, radio halos can be better studied by their vertical intensity distributions. Whereas the amplitude of the vertical profile depends on the overall radio intensity of the disk, related to the SFR, its scaleheight is determined by the outflow velocity and the CRE lifetime. The observed vertical extent also depends on the signal-to-noise ratio of the measurements. Only the scaleheight is suited to characterize the formation of radio halos.
Global radio scaleheights observed at
in three edge-on galaxies with very different global SFRs were found to be similar, about
for the thick radio disk
(Krause 2004; Dumke & Krause 1998). This agrees well with our result of
of NGC 253 which has the highest SFR of this sample. Our Eq. (9) indicates that a constant CRE scaleheight
in galaxies with different SFRs and hence different CRE lifetimes
can only be achieved if the global CR bulk speed v increases with global SFR. As all four galaxies show a dumbbell shaped radio halo, the local scaleheight depends on
the local magnetic field strength.
Since we postulate an outflow, we analyse the pressure contributions of the different ISM phases. These are the thermal gas, the kinetic energy, and the magnetic field. The thermal pressure of the halo gas is
,
where we used an electron density of
and a temperature of
T=3
(Strickland et al. 2002). The ram pressure of the outflow is
,
where
is the
proton mass and
the wind velocity. Assuming a typical magnetic field strength of
,
we find a magnetic pressure of
.
If the gas in the disk were in a hydrostatic equilibrium, the gas pressure would be
.
We obtain
,
where we inserted
for the gas surface-density (Puche et al. 1991), and
for the total mass
surface-density (Pence 1981). We note, that the thermal pressure, the ram pressure, and the magnetic pressure are of the same order of magnitude. Since the sum of the thermal pressure, the ram pressure, and the magnetic pressure is 2.2
,
this may indicate that the disk is not in hydrostatic equilibrium and allows outflow.
If the outflow traced by the CR transport is a galactic wind, it should finally leave the gravitational potential of the galaxy. In this case the CR bulk speed must exceed the escape velocity of
(Veilleux et al. 2005), where
is the rotation velocity of the disk. Of course, the outflow may accelerate further away from the disk, below our sensitivity limit, and thus a galactic wind is possible even if the observed CR bulk speed is too low. On the other hand, a CR bulk speed above the escape velocity supports the galactic wind scenario, because it will certainly escape from the gravitational potential, unless the
outflow decelerates in the halo. Using the rotation speed of
measured by Pence (1981), we find an escape velocity of
,
which agrees within the
errors with our measured CR bulk speed. Hence, a galactic wind is in NGC 253 likely and the CR transport shows the presence of a ``disk wind'' in the northeastern halo.
The disk wind can efficiently transport gas into the halo. The transport should be more efficient in the convective northeastern halo. Indeed, there is significantly more neutral hydrogen gas in the northeastern halo, as H I observations by Boomsma et al. (2005) show. A similar distribution
is found for the ionized hydrogen, where prominent H
plumes are found only in the northeastern halo (Hoopes et al. 1996). This picture is corroborated by huge lobes of soft
X-ray emission in the northeastern halo, which are absent in the southwestern halo (Pietsch et al. 2000). The discrepancy between the northeastern and the southwestern halo may be explained by the level of star-formation activity in the disk. Both the H
emission
and radio continuum emission is stronger in the northeastern part of the disk. This hints to a higher SFR that can more easily drive the disk wind against the gravitational pull.
The disk wind may finally escape from the gravitational potential to the intergalactic medium (IGM). From the observations we cannot make a definite conclusion because we do not observe the transition between the radio halo and the IGM further away from the detected radio halo. With our observations we are not able to conclude whether the disk wind accelerates or decelerates within distance from the disk. With low frequency observations the scaleheight of the synchrotron emission is
expected to be larger and hence the radio halo could be observed to larger vertical heights. Such data could allow us to determine whether the disk wind accelerates as expected for a CR driven
wind. Although LOFAR observations would be ideal for this purpose, the low declination of NGC 253 (
)
requires to use the EVLA or the future SKA at frequencies as low as possible.
7 Conclusions
Our radio continuum study of NGC 253 shows an extended radio halo at the wavelengths from
to
.
Because studies of NGC 253 need a high dynamic range, it is a difficult target for radio continuum observations. We treated the high dynamic range with a specially tailored data reduction technique. Our maps presented here are thus essentially noise limited. The combination of our new VLA mosaic map with the single-dish Effelsberg data in order to fill in the missing zero-spacing flux density allowed us to study the extra-planar continuum emission with high resolution and sensitivity. They are used to put detailed constraints on the CR transport, which lead to our main conclusions:
- 1.
- The scaleheight of the thick radio disk in the northeastern halo is a linear function of the CRE lifetime in the underlying disk at
,
,
and
.
This can be understood if the CR transport proceeds preferentially in the vertical direction.
- 2.
- The steepening of the spectral index, which is a linear function of z, can be explained by strong synchrotron losses of the CREs. The contribution of ionization losses and bremsstrahlung
losses can be neglected. The adiabatic losses are of the same order of magnitude as the synchrotron losses at
but dominate at
.
- 3.
- We computed the CR bulk speed as the ratio of the total power scaleheight and the CRE lifetime. The CR bulk speed in the northeastern halo of 300
is similar to the escape velocity of
,
indicating the existence of a disk wind which escapes from the gravitational potential. The local CR bulk speed is independent of the CR energy, the SFR, and the magnetic field strength.
- 4.
- The CR transport is mainly convective in the northeastern halo while in the southwestern halo the diffusion of CRs is significant. We measure an average diffusion coefficient
of 2.0
0.3
- 5.
- The disk wind is the driving source for the luminous gas in the halo. In the convective northeastern halo the gas is transported more efficiently from the disk into the halo than in the diffusive southwestern halo. This can explain the different amounts of extra-planar gas in these two halo parts as observed in H I, H
,
and soft X-rays.
Acknowledgements
We appreciate the comments of our referee, Timothy Paglione, which improved the paper significantly. We thank Michael Dumke and the Effelsberg staff for help with the observations. It is our pleasure to thank Reinhard Schlickeiser and Dieter Breitschwerdt for inspiring discussions. We are grateful to Enno Middelberg and Wolfgang Reich for valuable comments on the manuscript.
V.H. would like to thank the organizers of the Graduiertenkolleg GRK 787 and the Sonderforschungsbereich SFB 591 for support and funding during the course of his PhD. The GRK 787 ``Galaxy groups as laboratories for baryonic and dark matter'' and the SFB 591 ``Universal properties of non-equilibrium plasmas`` were funded by the Deutsche Forschungsgemeinschaft (DFG).
Appendix A: The synchrotron lifetime within an exponential magnetic field profile
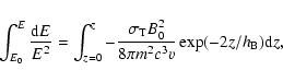
In order to calculate the CR bulk speed in Sect. 5.4 we used the synchrotron lifetime of the electrons. Since we do not know the vertical distribution of the magnetic field, we assumed a constant magnetic field strength. In reality, however, we expect the magnetic field strength to have a vertical, decreasing profile. In this section we investigate the difference between the synchrotron lifetime for a constant magnetic field and for an exponential vertical profile.
The exponential profile of the magnetic field reads
| (A.1) |
where B0 is the maximum magnetic field strength and
![]() |
(A.2) |
We integrate this differential equation by separating the variables with:
![]() |
(A.3) |
Now we integrate from z=0 to z:
![]() |
(A.4) |
where we inserted the exponential profile of B. Finally, we find for the vertical CRE energy profile
![]() |
(A.5) |
If we use the definition for the synchrotron lifetime for a constant field strength B0
![]() |
(A.6) |
we find
![]() |
(A.7) |
For the case of a constant magnetic field strength we have as energy profile:
![]() |
(A.8) |
Clearly, the larger the scaleheight of the magnetic field, the smaller is the difference between the two CRE energy profiles. We now use
![]() |
Figure A.1:
Ratio of the two energies
|
| Open with DEXTER | |
References
- Baars, J. W. M., Genzel, R., Pauliny-Toth, I. I. K., & Witzel, A. 1977, A&A, 61, 99 [NASA ADS] (In the text)
- Beck, R., & Krause, M. 2005, AN, 326, 414 [NASA ADS] (In the text)
- Beck, R., Biermann, P., Emerson, D. T., & Wielebinski, R. 1979, A&A, 77, 25 [NASA ADS] (In the text)
- Beck, R., Carilli, C. L., Holdaway, M. A., & Klein, U. 1994, A&A, 292, 409 [NASA ADS] (In the text)
- Beck, R., Brandenburg, A., Moss, D., Shukurov, A., & Sokoloff, D. 1996, ARA&A, 34, 155 [NASA ADS] [CrossRef] (In the text)
- Boomsma, R., Oosterloo, T., Fraternali, F., van der Hulst, J. M., & Sancisi, R. 2005, A&A, 431, 65 [NASA ADS] [CrossRef] [EDP Sciences] (In the text)
- Braun, R. 1988, Millimeter Array Memo, 46 (In the text)
- Breitschwerdt, D., McKenzie, J. F., & Voelk, H. J. 1991, A&A, 245, 79 [NASA ADS]
- Breitschwerdt, D., McKenzie, J. F., & Voelk, H. J. 1993, A&A, 269, 54 [NASA ADS]
- Carilli, C. L. 1996, A&A, 305, 402 [NASA ADS] (In the text)
- Carilli, C. L., Holdaway, M. A., Ho, P. T. P., & de Pree, C. G. 1992, ApJ, 399, L59 [NASA ADS] [CrossRef] (In the text)
- Dahlem, M., Lisenfeld, U., & Golla, G. 1995, ApJ, 444, 119 [NASA ADS] [CrossRef] (In the text)
- Dahlem, M., Lisenfeld, U., & Rossa, J. 2006, A&A, 457, 121 [NASA ADS] [CrossRef] [EDP Sciences] (In the text)
- Dumke, M., & Krause, M. 1998, in The Local Bubble and Beyond, ed. D. Breitschwerdt, M. J. Freyberg, & J. Truemper (Berlin: Springer Verlag), IAU Colloq., 166, Lect. Notes Phys., 506, 555
- Dumke, M., Krause, M., Wielebinski, R., & Klein, U. 1995, A&A, 302, 691 [NASA ADS] (In the text)
- Emerson, D. T., & Gräve, R. 1988, A&A, 190, 353 [NASA ADS] (In the text)
- Emerson, D. T., Klein, U., & Haslam, C. G. T. 1979, A&A, 76, 92 [NASA ADS] (In the text)
- Everett, J. E., Zweibel, E. G., Benjamin, R. A., et al. 2008, ApJ, 674, 258 [NASA ADS] [CrossRef] (In the text)
- Field, G. B., Goldsmith, D. W., & Habing, H. J. 1969, ApJ, 155, 149 [NASA ADS] [CrossRef] (In the text)
- Green, D. A. 2002, in The Universe at Low Radio Frequencies, ed. A. Pramesh Rao, G. Swarup, & Gopal-Krishna, IAU Symp., 199, 276 (In the text)
- Haslam, C. G. T. 1974, A&AS, 15, 333 [NASA ADS] (In the text)
- Heckman, T. M., Lehnert, M. D., Strickland, D. K., & Armus, L. 2000, ApJS, 129, 493 [NASA ADS] [CrossRef]
- Heesen, V. 2008, Ph.D. Thesis, Ruhr-Universität, Bochum, Germany (In the text)
- Högbom, J. A. 1974, A&AS, 15, 417 [NASA ADS] (In the text)
- Hoopes, C. G., Walterbos, R. A. M., & Greenwalt, B. E. 1996, AJ, 112, 1429 [NASA ADS] [CrossRef] (In the text)
- Ipavich, F. M. 1975, ApJ, 196, 107 [CrossRef] (In the text)
- Karachentsev, I. D., Grebel, E. K., Sharina, M. E., et al. 2003, A&A, 404, 93 [NASA ADS] [CrossRef] [EDP Sciences] (In the text)
- Klein, U., & Mack, K.-H. 1995, in Multi-Feed Systems for Radio Telescopes, ed. D. T. Emerson, & J. M. Payne, ASP Conf. Ser., 75, 318
- Krause, M. 2004, in The Magnetized Interstellar Medium, ed. B. Uyaniker, W. Reich, & R. Wielebinski, 173
- Lehnert, M. D., & Heckman, T. M. 1996, ApJ, 472, 546 [NASA ADS] [CrossRef] (In the text)
- Lisenfeld, U., & Völk, H. J. 2000, A&A, 354, 423 [NASA ADS] (In the text)
- Morsi, H. W., & Reich, W. 1986, A&A, 163, 313 [NASA ADS] (In the text)
- Niklas, S., Klein, U., & Wielebinski, R. 1997, A&A, 322, 19 (In the text)
- Pence, W. D. 1980, ApJ, 239, 54 [NASA ADS] [CrossRef] (In the text)
- Pence, W. D. 1981, ApJ, 247, 473 [NASA ADS] [CrossRef] (In the text)
- Pietsch, W., Vogler, A., Klein, U., & Zinnecker, H. 2000, A&A, 360, 24 [NASA ADS] (In the text)
- Pohl, M. 1990, Diploma thesis, Max-Planck-Institut für Radioastronomie, Bonn, Germany (In the text)
- Pohl, M., & Schlickeiser, R. 1990, A&A, 239, 424 [NASA ADS] (In the text)
- Ptuskin, V. S., Voelk, H. J., Zirakashvili, V. N., & Breitschwerdt, D. 1997, A&A, 321, 434 (In the text)
- Puche, D., Carignan, C., & van Gorkom, J. H. 1991, AJ, 101, 456 [NASA ADS] [CrossRef] (In the text)
- Radovich, M., Kahanpää, J., & Lemke, D. 2001, A&A, 377, 73 [NASA ADS] [CrossRef] [EDP Sciences] (In the text)
- Rottmann, H. 1996, Ph.D. Thesis, Friedrichs-Wilhelms-Universität, Bonn, Germany
- Rybicki, G. B., & Lightman, A. P. 1986, Radiative Processes in Astrophysics (Wiley-VCH) (In the text)
- Schulz, H., & Wegner, G. 1992, A&A, 266, 167 [NASA ADS] (In the text)
- Seaquist, E. R., & Odegard, N. 1991, ApJ, 369, 320 [NASA ADS] [CrossRef] (In the text)
- Strickland, D. K., Heckman, T. M., Weaver, K. A., & Dahlem, M. 2000, AJ, 120, 2965 [NASA ADS] [CrossRef] (In the text)
- Strickland, D. K., Heckman, T. M., Weaver, K. A., Hoopes, C. G., & Dahlem, M. 2002, ApJ, 568, 689 [NASA ADS] [CrossRef] (In the text)
- Suchkov, A. A., Balsara, D. S., Heckman, T. M., & Leitherner, C. 1994, ApJ, 430, 511 [NASA ADS] [CrossRef] (In the text)
- Thompson, T. A., Quataert, E., Waxman, E., Murray, N., & Martin, C. L. 2006, ApJ, 645, 186 [NASA ADS] [CrossRef] (In the text)
- Veilleux, S., Cecil, G., & Bland-Hawthorn, J. 2005, ARA&A, 43, 769 [NASA ADS] [CrossRef] (In the text)
- Zirakashvili, V. N., & Völk, H. J. 2006, ApJ, 636, 140 [NASA ADS] [CrossRef] (In the text)
- Zirakashvili, V. N., Breitschwerdt, D., Ptuskin, V. S., & Voelk, H. J. 1996, A&A, 311, 113 [NASA ADS] (In the text)
Footnotes
- ... telescope
- The Effelsberg 100-m telescope is operated by the Max-Planck Institut für Radioastronomie (MPIfR).
- ...

- All angular resolutions in this paper are referred to as the Half Power Beam Width (HPBW).
- ... VLA
- The VLA (Very Large Array) is operated by the NRAO (National Radio Astronomy Observatory).
- ... DSS
- The compressed files of the ``Palomar Observatory - Space Telescope Science Institute Digital Sky Survey'' of the northern sky, based on scans of the Second Palomar Sky Survey are ©1993-1995 by the California Institute of Technology and are distributed herein by agreement.
- ... System
- The Astronomical Image Processing System (AIPS) is distributed by the National Radio Astronomy Observatory (NRAO) as free software.
All Tables
Table 1: The maps of NGC 253 included in this paper.
Table 2: Unresolved sources which are denoted in Figs. 4-7. The error of the flux densities was calculated assuming a 5% calibration error.
Table 3:
The total flux densities were integrated within ellipses chosen to include the extended emission in the disk and halo. The major axis a, and the minor axis b for each wavelength
is presented.
Table 4:
Integrated total power flux densities.
is the total integrated flux density and
is the flux density of the extended emission only. The error of the flux densities was calculated as the quadratic sum of a 5% calibration error and the baselevel error.
Table 5: Average CR bulk speeds obtained from the radio spectral index aging.
All Figures
![]() |
Figure 1:
The VLA mosaic of NGC 253 at
|
| Open with DEXTER | |
| In the text | |
![]() |
Figure 2:
Total power radio continuum at
|
| Open with DEXTER | |
| In the text | |
![]() |
Figure 3:
Total power radio continuum at
|
| Open with DEXTER | |
| In the text | |
![]() |
Figure 4:
Total power radio continuum at
|
| Open with DEXTER | |
| In the text | |
![]() |
Figure 5:
Total power radio continuum at
|
| Open with DEXTER | |
| In the text | |
![]() |
Figure 6:
Total power radio continuum at
|
| Open with DEXTER | |
| In the text | |
![]() |
Figure 7:
Total power radio continuum at
|
| Open with DEXTER | |
| In the text | |
![]() |
Figure 8:
Spectral index distribution between
|
| Open with DEXTER | |
| In the text | |
![]() |
Figure 9:
Spectral index distribution between
|
| Open with DEXTER | |
| In the text | |
![]() |
Figure 10:
Spectral index distribution between
|
| Open with DEXTER | |
| In the text | |
![]() |
Figure 11:
Scaleheight
|
| Open with DEXTER | |
| In the text | |
![]() |
Figure 12:
Total power emission profiles in
|
| Open with DEXTER | |
| In the text | |
![]() |
Figure 13:
Map of the total magnetic field strength with a resolution of
|
| Open with DEXTER | |
| In the text | |
![]() |
Figure 14:
Scaleheight
|
| Open with DEXTER | |
| In the text | |
![]() |
Figure 15:
Same as Fig. 14 in the southwestern halo (between
|
| Open with DEXTER | |
| In the text | |
![]() |
Figure 16: Spectra of the diffuse emission in the northeastern halo, the central halo, and the southwestern halo. |
| Open with DEXTER | |
| In the text | |
![]() |
Figure 17:
Profiles of the spectral index between
|
| Open with DEXTER | |
| In the text | |
![]() |
Figure A.1:
Ratio of the two energies
|
| Open with DEXTER | |
| In the text | |
Copyright ESO 2009
Current usage metrics show cumulative count of Article Views (full-text article views including HTML views, PDF and ePub downloads, according to the available data) and Abstracts Views on Vision4Press platform.
Data correspond to usage on the plateform after 2015. The current usage metrics is available 48-96 hours after online publication and is updated daily on week days.
Initial download of the metrics may take a while.
![\begin{figure}
\par\includegraphics[width=8.8cm,clip]{0543fig1}
\end{figure}](/articles/aa/full_html/2009/05/aa10543-08/Timg64.gif)
![\begin{figure}
\par\includegraphics[width=8.5cm,clip]{0543fig2}
\end{figure}](/articles/aa/full_html/2009/05/aa10543-08/Timg76.gif)
![\begin{figure}
\includegraphics[width=8.5cm,clip]{0543fig3}
\end{figure}](/articles/aa/full_html/2009/05/aa10543-08/Timg77.gif)
![\begin{figure}
\par\includegraphics[width=8.5cm,clip]{0543fig4}
\end{figure}](/articles/aa/full_html/2009/05/aa10543-08/Timg81.gif)
![\begin{figure}
\includegraphics[width=8.5cm,clip]{0543fig5}
\end{figure}](/articles/aa/full_html/2009/05/aa10543-08/Timg83.gif)
![\begin{figure}
\includegraphics[width=8.5cm,clip]{0543fig6}
\end{figure}](/articles/aa/full_html/2009/05/aa10543-08/Timg84.gif)
![\begin{figure}
\includegraphics[width=8.5cm,clip]{0543fig7}
\end{figure}](/articles/aa/full_html/2009/05/aa10543-08/Timg86.gif)
![\begin{figure}
\par\includegraphics[width=8.5cm,clip]{0543fig8}
\end{figure}](/articles/aa/full_html/2009/05/aa10543-08/Timg141.gif)
![\begin{figure}
\includegraphics[width=8.5cm,clip]{0543fig9}
\end{figure}](/articles/aa/full_html/2009/05/aa10543-08/Timg142.gif)
![\begin{figure}
\par\includegraphics[width=8.5cm,clip]{0543fig10}
\end{figure}](/articles/aa/full_html/2009/05/aa10543-08/Timg143.gif)
![\begin{figure}
\par\includegraphics[width=18cm,clip]{10543fig11.eps}
\end{figure}](/articles/aa/full_html/2009/05/aa10543-08/Timg188.gif)
![\begin{figure}
\par\includegraphics[width=8.5cm,clip]{0543fig12.eps}
\end{figure}](/articles/aa/full_html/2009/05/aa10543-08/Timg190.gif)






![\begin{figure}
\par\includegraphics[width=8.5cm,clip]{0543fig13}
\end{figure}](/articles/aa/full_html/2009/05/aa10543-08/Timg225.gif)


![\begin{figure}
\includegraphics[width=9cm,clip]{10543fig14.eps}
\end{figure}](/articles/aa/full_html/2009/05/aa10543-08/Timg232.gif)
![\begin{figure}
\includegraphics[width=9cm,clip]{10543fig15.eps}
\end{figure}](/articles/aa/full_html/2009/05/aa10543-08/Timg235.gif)


![\begin{figure}
\includegraphics[width=9cm,clip]{10543fig16.eps}
\end{figure}](/articles/aa/full_html/2009/05/aa10543-08/Timg260.gif)






![\begin{figure}
\par\includegraphics[width=8.5cm,clip]{0543fig17}
\end{figure}](/articles/aa/full_html/2009/05/aa10543-08/Timg279.gif)







![\begin{figure}
\includegraphics[width=9cm,clip]{10543figA1.eps}
\end{figure}](/articles/aa/full_html/2009/05/aa10543-08/Timg322.gif)