| Issue |
A&A
Volume 494, Number 2, February I 2009
|
|
|---|---|---|
| Page(s) | 647 - 661 | |
| Section | Interstellar and circumstellar matter | |
| DOI | https://doi.org/10.1051/0004-6361:200810968 | |
| Published online | 04 December 2008 | |
A spatially resolved study of photoelectric heating and [C II] cooling in the LMC
Comparison with dust emission as seen by SAGE
D. Rubin1 - S. Hony1 - S. C. Madden1 - A. G. G. M Tielens2 - M. Meixner3 - R. Indebetouw4 - W. Reach5 - A. Ginsburg6 - S. Kim7 - K. Mochizuki8 - B. Babler9 - M. Block10 - S. B. Bracker9 - C. W. Engelbracht10 - B.-Q. For10 - K. Gordon10 - J. L. Hora11 - C. Leitherer3 - M. Meade9 - K. Misselt10 - M. Sewilo3 - U. Vijh3 - B. Whitney12
1 -
Service d'Astrophysique, CEA/Saclay, l'Orme des Merisiers, 91191
Gif-sur-Yvette, France
2 -
Kapteyn Institute, PO Box 800, 9700 AV Groningen, The Netherlands
3 -
Space Telescope Science Institute, 3700 San Martin Way, Baltimore,
MD 21218, USA
4 -
Department of Astronomy, University of Virginia, PO Box 3818,
Charlottesville, VA 22903, USA
5 -
Spitzer Science Center, California Institute of Technology, 220-6,
Pasadena, CA, 91125, USA
6 -
Center for Astrophysics and Space Astronomy, University of Colorado,
Boulder, CO, USA
7 -
Dept. of Astronomy & Space Science, Sejong University, KwangJin-gu,
KunJa-dong 98, Seoul, 143-747, Korea
8 -
Institute of Space and Astronautical Science, Yoshinodai 3-1-1,
Sagamihara, Kanagawa 229, Japan
9 -
University of Wisconsin, Madison, WI 53706, USA
10 -
Steward Observatory, University of Arizona, 933 North Cherry Ave.,
Tucson, AZ 85719, Steward Observatory, USA
11 -
Center for Astrophysics, 60 Garden St., MS 67, Harvard University,
Cambridge, MA 02138, USA
12 -
Space Science Institute, 308 Morningside Ave., Madison, WI 53716, USA
Received 16 September 2008/ Accepted 25 November 2008
Abstract
Context. Photoelectric heating is a dominant heating mechanism for many phases of the interstellar medium. We study this mechanism throughout the Large Magellanic Cloud (LMC).
Aims. We aim to quantify the importance of the [C II] cooling line and the photoelectric heating process of various environments in the LMC and to investigate which parameters control the extent of photoelectric heating.
Methods. We use the BICE [C II] map and the Spitzer/SAGE infrared maps. We examine the spatial variations in the efficiency of photoelectric heating: photoelectric heating rate over power absorbed by grains, i.e. the observed [C II] line strength over the integrated infrared emission. We correlate the photoelectric heating efficiency and the emission from various dust constituents and study the variations as a function of H
emission, dust temperatures, and the total infrared luminosity. The observed variations are interpreted in a theoretical framework. From this we estimate radiation field, gas temperature, and electron density.
Results. We find systematic variations in photoelectric efficiency. The highest efficiencies are found in the diffuse medium, while the lowest coincide with bright star-forming regions (
1.4 times lower). The [C II] line emission constitutes 1.32% of the far infrared luminosity across the whole of the LMC. We find correlations between the [C II] emission and ratios of the mid infrared and far infrared bands, which comprise various dust constituents. The correlations are interpreted in light of the spatial variations of the dust abundance and by the local environmental conditions that affect the dust emission properties. As a function of the total infrared surface brightness,
,
the [C II] surface brightness can be described as:
,
for
.
We provide a simple model of the photoelectric efficiency as a function of the total infrared luminosity. We find a power-law relation between radiation field and electron density, consistent with other studies. The [C II] emission is well-correlated with the 8
m emission, suggesting that the polycyclic aromatic hydrocarbons play a dominant role in the photoelectric heating process.
Key words: galaxies: Magellanic Clouds - ISM: dust, extinction - infrared: galaxies - ISM: lines and bands
1 Introduction
The structure and evolution of the interstellar medium (ISM) is largely dependent upon the thermal processes taking place (Draine 1978; Goldsmith et al. 1969; de Jong 1977; Ferriere et al. 1988; McKee & Ostriker 1977). This, in turn, shapes the evolution of galaxies as a whole, as the constituents of the ISM are responsible for the characteristics of incipient stellar generations. Therefore, an understanding of the agents which dominate the heating and cooling of interstellar gas is of fundamental importance.
A dominant heating source of the ISM of galaxies is the photoelectric (PE) emission of interstellar dust grains. Absorption of a far-ultraviolet (FUV) photon by a dust grain may result in the ejection of an energetic electron which heats interstellar gas via collisions. Photoelectric emission as a heating mechanism of the ISM was first proposed by Spitzer (1948) and later revisited by Watson (1972) and de Jong (1977). Since then, it has been found that the process dominates the heating of a range of interstellar media: neutral atomic gas clouds, the photo-dissociation regions (PDRs), and the warm inter-cloud medium (e.g. Weingartner & Draine 2001; Maciel & Pottasch 1982)
The PE heating process has received much theoretical attention (e.g. Draine 1978; Watson 1972; Weingartner & Draine 2001; Bakes & Tielens 1994; de Jong 1977; Dwek & Smith 1996; Tielens & Hollenbach 1985b). Due to grain charging, PE heating efficiency is highly dependent on the physical conditions which determine the ionisation and recombination rates. Specifically, it depends on the FUV radiation field, gas temperature and electron density. In turn, the extent of grain charging and therefore the efficiency of PE heating is also highly dependent on the grain species involved.
The
fine structure transition
(
)
is the dominant coolant of the
diffuse ionised and diffuse atomic gas as well as in PDRs
(Tielens & Hollenbach 1985a; Petuchowski & Bennett 1993; Stacey et al. 1991; Heiles 1994; Dalgarno & McCray 1972; Tielens & Hollenbach 1985b; Madden et al. 1993). Several reasons account
for its dominance: carbon is the fourth most abundant element and it
has an ionisation potential of 11.3 eV, less than that of H. This
transition is also easy to excite as it has a
relatively low excitation temperature (
92 K). Thus, it is able to
cool warm neutral gas (
)
whereas other
species can not (Tielens & Hollenbach 1985a,b; Wolfire et al. 1990).
The efficiency of the
as a coolant is dependent upon
environment. When temperatures or densities are high, other lines,
primarily [O I] 63
m, participate in the cooling process
(Tielens & Hollenbach 1985a; Hollenbach et al. 1991; Tielens & Hollenbach 1985b). The critical
density of the
transition is relatively low
(
). At densities above the
critical density or temperature above 92 K the cooling by the
[C II] line saturates and its importance as coolant diminishes.
An observational study of PE heating and gas cooling requires
[C II]
and infrared (IR) observations, covering
wavelengths tracing the variety of dust components in the ISM, and
ideally of sufficient spatial resolution to separate environments,
because of the dependence of the process on environment and
composition. Because of its proximity, the Large Magellanic Cloud
(LMC) is an obvious candidate for a study of these processes.
We undertake such a study using the Spitzer legacy program: Surveying
the Agents of a Galaxy's Evolution (SAGE Bernard et al. 2008; Meixner et al. 2006), and the Balloon-borne Infrared Carbon Explorer
mission (BICE Mochizuki et al. 1994). SAGE fully mapped the
LMC at high spatial resolution from 3 to 160
m while the
latter offers a [C II] map of the entire LMC. These datasets
offer advantages over previous work because of their enhanced spatial
resolution, wavelength coverage, and sensitivity. Prior studies using
NASA's Kuiper Airborne Observatory (KAO) and the Long Wavelength
Spectrometre (LWS) aboard the Infrared Space Observatory (ISO)
examined [C II] emission integrated across whole galaxies
(e.g. Malhotra et al. 2001; Stacey et al. 1991; Madden et al. 1993), or in
specific regions within galaxies (e.g. Poglitsch et al. 1995; Israel et al. 1996; Madden et al. 1997; Stutzki et al. 1988; Meixner et al. 1992). There have
not been many [C II] studies which probe the range of different phases
of the ISM. Moreover, even though PE efficiency is believed to be a
strong function of grain size, there have not been many prior
observational studies of the effect of PE heating due to distinct
grain populations. Most studies have considered the total PE heating
across all grain populations because they did not have access to bands
which trace the emission from distinct grain populations.
The composition of the ISM of the LMC makes it an interesting
laboratory because it has a low metallicity;
(Westerlund 1997) and
(Dufour 1984). The presence of metals, in
the form of dust, is integral to the PE effect. How does the low
metallicity lower dust abundance affect PE heating?
Moreover, it is known from observational studies that the LMC and other low metallicity galaxies have a dearth of polycyclic aromatic hydrocarbons (PAHs) compared to Galactic values (Galliano et al. 2007; Madden et al. 2006; Engelbracht et al. 2008; Vermeij et al. 2002b; Wu et al. 2006; Sakon et al. 2006). This condition raises another question: since it is found theoretically that PAHs should play the greatest role in the PE heating process, how is the PE heating affected in a galaxy with a prominent dearth of PAHs?
In contrast to the metallicity argument given above, it is found from
observations that the
coolant plays an even more
important role at low metallicity than it does at high metallicity,
contributing up to
10 times more to the far-infrared (FIR)
emission (Poglitsch et al. 1995; Israel et al. 1996; Madden et al. 1997). The larger
relative strength has been explained by the clumpy nature of the ISM
in low metallicity galaxies. Observations of [C II]/CO show that for
low metallicity galaxies, this ratio can be 10-30 times higher than
for normal galaxies or active galaxies (e.g. Madden 2000).
The far UV radiation penetrates deeper into the molecular cloud at
low Z, for the same
,
leaving a smaller CO core and a larger
emitting envelope. The result is a preponderance of
clumps with CO cores of larger exposed surface area. As the
resides primarily in the envelopes of the clouds the
increase in surface area results in a higher ratio of
emission (e.g. Röllig et al. 2007).
The aim of this paper is to explore the qualitative behaviour and observationally quantify the extent of PE heating and [C II] cooling in relation to environment. The format of this paper is as follows: Sect. 2 reviews the observational details of the data used in this study. Section 3 presents the data treatment process and the final images.
Section 4 quantifies the importance of the [C II]
coolant globally across the LMC. In
Sect. 5 we examine PE heating as a
function of environment based on the H
surface brightness and
Sect. 6 explores the variations in [C II] emission within the LMC using the H
criterion and
dust temperature. To explore the correlation between [C II] emission
and the emission from the various grain components in the
LMC, Sect. 7 compares the
spatial distribution of the [C II] emission and the emission at
various Spitzer bands. The key-concepts of PE heating are reviewed in
Sect. 7.2, which are applied in
Sect. 8 to describe the PE heating as a
function of radiation field within the LMC. Using the
observed relation we calculate electron densities, and find a
correlation between radiation field and electron density
(Sect. 9). The paper concludes with
Sect. 10, an analysis of the dependence of
PE heating on grain population. We study the qualitative behaviour of
the extent of PE heating on grain population, and we also quantify the
contributions to PE heating from the various grain populations.
Table 1: Summary of data used in this study.
2 Observations
Relevant observational details of all the maps used in this study (the
[C II], Spitzer and H
maps) are summarised in
Table 1.
2.1 The [C II] line
The entire LMC was mapped in
the 158
m [C II] line by Mochizuki et al. (1994) during the BICE
mission. The velocity integrated [C II] line surface
brightness map was continuum subtracted by using a linear baseline
and foreground subtracted using COBE data to estimate the Milky Way
contribution. The measurements are calibrated against observations
of M 17 carried out by Matsuhara et al. (1989). We compare several regions
of the 30 Doradus complex mapped by Poglitsch et al. (1995) and
Israel et al. (1996) aboard the KAO with the BICE map and find
agreement better than ![]()
.
This is within the 30% calibration
uncertainty of the BICE map as quoted by Mochizuki et al. (1994). The
one
level for the BICE map as determined by
Mochizuki et al. (1994) is
.
The BICE map offers a 6
10
field of view of
the LMC (see also Figs. 1
and 2). The beam has a FWHM of
,
corresponding to a linear size of
225 pc at the distance of the
LMC (50 kpc Feast 1999; Keller & Wood 2006). The positional
uncertainty is
(Mochizuki et al. 1994). We have
regrided the original map into pixels of
(![]()
)
in length.
A significant fraction of the pixels are noise dominated:
,
and
of all pixels in the final map are above are
above 1, 2 and
,
respectively. The
contours in Figs. 1 and 2 are
spaced at multiples of
.
To sample
the [C II] emission from the diffuse ISM, in our analysis throughout
the rest of this paper, we consider pixels above the
level.
2.2 Infrared dust emission
To probe dust properties and abundances, we use the SAGE infrared and
mid-infrared survey of the LMC (Meixner et al. 2006). The
survey offers a
field of view of the
LMC at effective wavelengths of 3.6, 4.5, 5.8, 8.0
(IRAC Fazio et al. 2004), 24.0, 70.0 and 160.0
m
(MIPS Rieke et al. 2004). We use the 8, 24, 70 and
m bands
as the most important dust emission components can be traced primarily
by these bands.
Zodiacal and Milky Way contamination light at MIPS wavelengths has
been removed by doing off-source subtraction. The IRAC data have not
been background subtracted as the background contribution is
negligible compared to emission from the LMC. Averaging
several regions located off the LMC in the 8
m image
yields a background contribution of about
.
Such a level is indeed small compared to the mean value of about
,
for the 8
m image.
![]() |
Figure 1:
8 |
| Open with DEXTER | |
![]() |
Figure 2:
70 |
| Open with DEXTER | |
2.3 H
emission
As a general way to distinguish physical environments within the
LMC, we use an H
surface brightness criterion. The
H
map used is part of the Southern H-alpha Sky Survey Atlas
(Gaustad et al. 2001). The LMC is imaged in a single
field and does not require mosaicing. The
images are continuum subtracted and smoothed to a resolution
of
.
The sensitivity level of the H
maps is about
0.5 Rayleigh (=
erg
at H
).
3 Data treatment and presentation
All IRAC, MIPS and H
data were convolved to the lowest
resolution data, the [C II] map. The shape of [C II] beam is not
precisely determined, and we therefore convolved the data with a
Gaussian kernel with a FWHM of
,
the
FWHM of the BICE
beam (Mochizuki et al. 1994). After convolution, the data were
interpolated to match the [C II] pixel scheme.
To determine
values for the maps after the data treatment, we
carried out a facsimile of the data treatment process with simulated
Gaussian noise images. Standard deviations of the noise images after
the full data treatment were measured, and are included in
Table 1. We use those
values in our
analysis.
Maps of the four Spitzer bands (convolved and re-gridded) with
overlays of the [C II] contours are presented in
Figs. 1 and 2. It is evident
from Figs. 1a and 2b that the
8
m and 160
m emission extends significantly into the bulk of
the galaxy. Figures 1b and 1a show
that the 24
m and 70
m emission is much more concentrated
toward H II regions such as 30 Dor and N11. More
attention to the spatial distributions of the grain emission will be
given in Sect. 7.
Note the slight offsets of the [C II] emission peaks from the IRAC and
MIPS emission peaks (especially near N11), which can be
larger than the 6
pointing accuracy. Similar deviations
were noted by Kim & Reach (2002) in their analysis of atomic gas in
conjunction with the BICE map. We have carefully checked for problems
in the coordinate encoding used in the various maps. The observed
displacements do not appear to be due to such problems and thus we
conclude that there are real offsets between the peaks of emission of
[C II] and IR emission, which can be as much as 100 pc. Indeed, the
region near N11 is known to have most of its molecular
material in the direction of the displacement as compared to the
illuminating sources. Perhaps the observed displacement is due to
offsets in the peak emission at the molecular interface, as such
displacements are known to also occur in the Galaxy (e.g.
Cesarsky et al. 1996).
4 [C II] emission globally across the LMC
For comparison with other galaxies, we calculate the ratio of [C II]
to the total infrared (TIR) integrated over the LMC. We adopt
the expression of Dale & Helou (2002) to calculate the TIR from the
Spitzer the 24, 70 and 160
m filters, approximating the
integrated 3 to 1000
m infrared surface brightness,
:
The coefficients were derived from measured infrared SED shapes of a sample of galaxies observed by Spitzer. Draine & Li (2007) also provide an equation for the TIR luminosity using a modified prescription of the Dale & Helou (2002) SED model and incorporating the 8
The Spitzer definition of TIR emerged from the definition of
which was motivated by the IRAS bands
(Helou 1986) and covers the FIR wavelength range from 42 to
122
m. The difference between TIR and FIR has been
observationally quantified by Hunter et al. (2001) who find that for
irregular galaxies (such as the LMC),
,
(with a dispersion of only
a few percent).
Integrated across the entire galaxy, we find that the total [C II]
luminosity in the LMC is
assuming the distance to the LMC to
be 50 kpc (Feast 1999; Keller & Wood 2006)
, consistent with Mochizuki et al. (1994) and
Kim & Reach (2002) who estimate
in the
LMC to be
and
respectively. We find that the
value of
is
%. Assuming a factor of 2 between TIR and FIR,
.
The relative contribution of [C II] to the integrated FIR has often
been used to evaluate the global star formation activity in galaxies
(e.g. Stacey et al. 1991). This value for the LMC is high compared
to normal and gas rich galaxies which normally have values of
less than 1%. Values of
% to 0.5% are typical
(Malhotra et al. 1997,2001; Stacey et al. 1991); for the Milky Way
% (Wright et al. 1991). Low metallicity galaxies can typically have
as high as 1% to 3%
(Israel et al. 1996; Poglitsch et al. 1995; Madden et al. 1997; Madden 2000). This
higher ratio is a consequence of the low metallicity: due to the
reduced dust abundance, the overall mean free path of UV photons can
be larger, resulting in a decrease in the FIR intensity arriving at
the surfaces of the molecular clouds. To add to this effect, the
lower dust attenuation results in the C+-emitting regions being
larger as the photo-dissociating photons traverse a larger volume of
the molecular cloud.
5 Distinction of physical environments
We aim to study the PE heating and the [C II] cooling line as a function of environment. While the spatial resolution of 225 pc results in some mixing of phases, we can still delineate distinct average conditions. We define two environments using the H
Kim & Reach (2002) studied the LMC using the BICE [C II] map
and made a similar distinction to separate the phases of the ISM. They
studied the
cooling rate for regions with an
H
surface brightness,
,
above and below
.
This number
was based on the work of Kennicutt & Hodge (1986). We considered using
this criterion, but this causes several well known H II regions such
as N41, N144 and N132 to be classified as
diffuse. We conclude that the criterion should be lowered to better
represent the different phases of the ISM. For a reformulation of the
criterion, we examined the data of Kennicutt & Hodge (1986). They
photometrically observed H II regions in the LMC and
tabulated the H
surface brightness. A histogram of the
distribution of these surface brightnesses, shows the rapid fall off
at the lowest values, suggesting that the faint side of the
distribution is noise-dominated, while the bright side is comprised of
reliable values. Indeed, Kennicutt & Hodge (1986) warn that their
measurements of H II regions with the lowest surface brightnesses are
unreliable. We therefore take the value of the peak of the
distribution,
,
as the lowest reliable surface brightness for an H II region, which
we use to distinguish between physical environments in the
LMC. Every pixel with an H
surface brightness below
this value we call ``diffuse'', and every pixel with an H
surface brightness above it, we call ``star forming'' (SF).
The thick grey lines in Figs. 1 and 2 enclose the SF pixels, while the diffuse pixels reside outside the grey lines. One can see from this figure, that the SF regions correspond to the brightest H II regions, such as 30 Dor, N11 and the prominent H II regions along the LMC bar, while not extending too far into the diffuse medium. While we can not avoid including diffuse emission within these SF regions, most SF pixels are dominated by H II regions and PDRs. Likewise the regions we label diffuse will undoubtedly contain some denser ionised material, but will be dominated by the diffuse conditions.
To validate the threshold, we estimate the electron density
(
)
for the sets of SF and diffuse pixels under the
Case B approximation. The approximation provides
which depends on electron density, size of
the emitting regions and gas temperature (e.g. Valls-Gabaud 1998).
For the estimation, we use the mean values of
for the SF and diffuse pixels, and a temperature of 104 K. The
sizes of the emitting regions were determined by examining the
original H
images and visually determining the physical sizes
of typical SF regions and the voids between them. For the SF pixels,
we assume that the light is dominated by the emission from
H II regions. The lengths determined were about 5
and
15
for the SF and diffuse regions respectively. For the SF
pixels, we assume that the light is dominated by the emission from
H II regions. This yields an average
of
100
and
for the SF and diffuse regions,
respectively. The latter density is reasonable for densities of the
warm ionised medium (Nordgren et al. 1992). The former is consistent
with Peck et al. (1997), who find a mean electron density of
200 cm-3 in 30 Dor.
6 Variation of [C II] emission within the LMC
![]() |
Figure 3:
Ratio map of
|
| Open with DEXTER | |
Table 2: Contribution of [C II] from various regions in the LMC.
To examine the variations of
,
we show a ratio map of
overlaid with the
boundaries of the SF regions in Fig. 3. The
pixels with the lowest
are
associated with the centres of the brightest SF regions, confirming
the scenario in which the PE heating is least efficient at high
density.
The distribution of [C II] and TIR from the different
phases are summarised in Table 2. Although the SF
regions have much higher values of [C II] surface brightnesses,
approximately half of the [C II] emission originates from the diffuse
medium. The SF regions contribute just less half of the [C II luminosity (
48%).
Figure 4 shows
as a function of the
H
surface brightness. As can be seen, the efficiency is roughly
constant across the range of H
surface-brightnesses. There are
some deviant pixels with high
,
in particular at the
lowest values of
,
which are most-likely the
result of the noise in the [C II] map. The bulk of our points clutter
around
0.005,
which is similar to the values found by Malhotra et al. (2001) and
Hunter et al. (2001), who examine spiral and irregular galaxies
(including the LMC). There is evidence that on the whole the
30 Dor region has a slightly lower ratio of
than the rest of the LMC
by less than 10% (see also Fig. 3).
Theoretically, such a decrease in this ratio towards the densest
regions is expected. The PDR models of Tielens & Hollenbach (1985a,b), and Wolfire et al. (1990) show that [C II] emission levels off at
the highest gas temperatures, radiation fields and gas densities.
Other lines take over (part of) the cooling process at high gas
temperature and high gas density. Since dust temperature roughly
scales with gas temperature and gas density, it is possible that the
observed decrease is associated with the critical temperature and
critical density of the
transition being reached. We,
however, do examine alternative explanations in the following
sections.
7 Distribution of [C II] emission and grain component emission in the LMC
The 8, 24, 70 and 160
m bands used in this study trace the
emission from distinct grain populations. We use these measurements to
study [C II] cooling and PE heating with respect to grain abundance.
We adopt the generally accepted interpretation of the dust
constituents and at which wavelength they emit
(e.g. Draine & Li 2001; Desert et al. 1990). The 8
m band is dominated
by PAH emission. The 24
m band mainly traces the emission of
stochastically heated carbonaceous grains with sizes less than
![]()
m; termed very small grains (VSGs). The 160
m band
mainly traces the grains larger than ![]()
m, in radiative
equilibrium; termed big grains (BGs). Finally, the emission detected
in the 70
m band probably represents a combination of the BG
continua and the VSG emission, and may also trace grains
stochastically heated, thus not in thermal equilibrium with the
interstellar radiation field. Hereafter, we represent the PAH, VSG
and BG components with 8, 24 and 160
m band, respectively.
The spatial variation of PAH emission in galaxies has been studied extensively (e.g. Aitken & Roche 1985; Cesarsky et al. 1996; Voit 1992; Leach 1987; Roche & Aitken 1985; Povich et al. 2007; Verstraete et al. 2001; Siebenmorgen et al. 2004). The studies consistently find a lack of PAH emission for the most active regions, i.e., H II regions, starburst galaxies and AGNs. An interpretation is that the PAHs in these regions are destroyed due to the hard, intense radiation field. The VSG grain emission peaks in the H II region while the PAH emission peaks in the adjacent PDR.
We present ratio maps of S8, S24,
S70 and S160 to
in Figs. 5a-d.
The grey lines enclose the SF regions
as given by our H
criterion. Consistent with the studies
mentioned above, Figs. 5a,b show that the relative
PAH emission is weak in the SF regions, while the VSG emission peaks
in the SF regions. Figure 5d shows that the
BG emission relative to TIR mostly peaks in the diffuse medium. BGs may
be present throughout the LMC, the high flux of UV photons in
the H II regions entails that they are hotter in these regions and
therefore radiate at wavelengths blueward of the 160
m band.
Finally, we note that the 70
m emission relative to TIR
(Fig. 5c) most closely follows that of the
VSG emission.
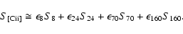
7.1 Grain component emission relative to [C II] emission
To study how the [C II] emission varies with grain population, we examine this parameter as a function of the ratios of grain component emission. It should be noted, though, that the ratios represent ratios of grain emission and not those of grain abundances.
Figure 6 presents
as a function of
S8/S24,
S24/S160,
and
S8/S160. We omit discussion of ratios with the
70
m band as they exhibit the same behaviours as the ratios with
the 24
m band. We note the following trends:
- in the SF regions where the [C II] emission is highest, the PAH emission is low relative to the VSG emission (Fig. 6a), which is explained by the fact that the PAHs do not survive in H II regions where the VSGs are known to peak. As the S8/S24 ratio increases, the pixels trace more and more of the diffuse medium where the [C II] emission is the lowest;
- panel b shows again that those regions with very prominent
24
m emission, i.e. SF regions, show strong [C II] emission;
- Fig. 6c shows that there is no
correlation between the [C II] emission and the
S8/S160 ratio for the diffuse medium. Some fraction
of the SF pixels, though, show a rough increase with [C II] as a
function of
S8/S160. The regions with the most
intense radiation fields will heat the surrounding grains to very
hot temperatures so that the BG emission will shift to bluer
wavelengths, outside of the 160
m filter. Toward the SF regions,
the amount of PAH emission also decreases (see above). The decrease
in the
m band is greater than the decrease in the PAH emission toward the most intense SF regions. This distinction
between the brightest and the fainter SF regions is not reflected in
the relative [C II] strength (Fig. 6e).
![]() |
Figure 4:
|
| Open with DEXTER | |
![]() |
Figure 5:
Ratio maps of the 8 a), 24 b),
70 c) and 160 |
| Open with DEXTER | |
![]() |
Figure 6:
surface brightness ( top) and the
|
| Open with DEXTER | |
7.2 Theoretical description of PE
PE heating occurs as follows: absorption of a far-ultraviolet (FUV)
photon by an interstellar dust grain liberates an electron within the
grain. The electron travels through the grain, escapes, and then
overcomes any Coulomb attraction if the grain is charged. If the
absorbed energy exceeds the work function of the grain plus its
Coulomb potential, the electron escapes with excess kinetic energy.
That energy goes into heating the ISM via collisions with the gas
species. Because of this Coulomb potential, PE heating efficiency is
highly dependent upon the charge state of the grain. This, in turn, is
dependent upon the physical conditions which determine grain
ionisation and recombination rates. The PE efficiency (
)
is
defined as:
where
Photoelectric efficiencies as a function of environmental conditions, grain size distributions and grain compositions were calculated semi-empirically by de Jong (1977), and ab initio calculations have been made by Weingartner & Draine (2001) and Bakes & Tielens (1994).
Assuming an MRN grain distribution and only carbonaceous grains,
Bakes & Tielens (1994) derive an analytic expression for PE efficiency
(valid for gas temperatures much less than 10 000 K):
where
7.3 A proxy for
is a proxy for
given several assumptions: i) that PE heating and the
transition dominate the heating and cooling processes
respectively, i.e.
(where
represents the cooling rate);
and ii) and that interstellar grains and molecules re-radiate
all of the energy absorbed in the infrared. However, the [C II] line
is not always the dominant coolant. Therefore, to observationally
estimate
,
some authors include the measured luminosities of
other FIR lines (e.g. Young Owl et al. 2002; Meixner et al. 1992). We do not
have maps of the LMC in other FIR lines, and thus can not
include their contribution in the cooling rate. Therefore, it should
be kept in mind that our calculations of
represent a lower
limit on the actual values of PE efficiency, in particular in the
densest regions.
Here we estimate the contribution from other lines that may be missing
within the 15
beam. We perform this estimation in the
30 Dor region, as this is the region in the LMC
where the contributions of other FIR lines to the cooling rate should
be the most significant. We estimate the contribution from the
[O I] 63
m line, the dominant cooling line in regions where
[C II] cooling is suppressed. The 30 Dor complex was measured in
[C II] and [O I] (63
m) by Poglitsch et al. (1995) with a
55
(FWHM) beam aboard the KAO. They found peak
intensities in [C II] and [O I] of
and
respectively. Vermeij et al. (2002a) also
measured these lines for several regions in 30 Dor with the
LWS which has a beam 80
.
They found that the [O I]
intensity is about twice the [C II] intensity.
To estimate the contribution of [O I] in our 15
beam, we
assume two components within the beam: 1) the smaller region as
measured by Poglitsch et al. (1995); and 2) more extended
emission. For 1, we use the values as measured by
Poglitsch et al. (1995). For 2, we use the differences between the line
strengths as listed by Vermeij et al. (2002a) and listed by
Poglitsch et al. (1995). We assume that the ratio of [O I]/[C II] in
the extended region holds throughout the 15
beam and scale
that to the full [C II] measured in the large beam. This is a very
conservative estimate of the [O I] contribution because it probably
overestimates the [O I] line strength as the true ratio most likely
decreases with distance. We thus estimate the contribution of
[O I] 63
m to be
20% of the total gas cooling rate. This
number should be lower in other regions in the LMC since
30 Dor represents the most extreme SF region. We conclude
that, for our 15
beam, the [C II] is representative of the
total gas cooling rate, but may slightly underestimate the cooling
rate in the most extreme cases.
Of the SF regions, 30 Dor has the lowest efficiency as it is
the most intense SF region in the LMC (See
Table 2). In contrast the second brightest
SF region, N11, has a higher than average efficiency. The
regions defining 30 Dor and N11 were chosen by
constructing a rectangle centred on the brightest pixel in the
m image. The edges of the rectangles approximate three times
the mean S24 level of the diffuse regions. We have included the
resulting rectangles in Fig. 1a. One puzzling
result of this is that on average the diffuse regions exhibit a lower
efficiency than do the SF region. It should be noted that most of the
diffuse regions are faint and therefore affected more by the high noise
in the BICE map.
7.4 The limited sensitivity of the BICE map: validity of observed efficiency variations
![]() |
Figure 7:
Fluxes as observed in the BICE maps versus those obtained from a simple simulation (Sect. 7.4). The
figure shows the observed histogram of [C II] surface-brightness
(solid), the bin width is 1 |
| Open with DEXTER | |
Before we can draw conclusions on the
variations observed in the observed photo-electric efficiency
parameter, we explored the possible existence of a systematic
variation of the efficiency simply as a function of G0 by running a
set of simulations. The BICE map has limited sensitivity and as a
result a large part of the diffuse medium remains undetected or has
flux levels comparable to the noise level
(see Fig. 3). Therefore, extra care must be taken in
deriving representative values of the [C II] intensity in the diffuse
medium. In these simulations we assume that
is a
proxy for G0. We simulate observed [C II] maps by applying a
function of the form
=
.
The
map is constructed using the Spitzer images and the
uncertainty in this map is negligible compared to the BICE map. After
this we add noise according to the noise level of the BICE map.
Figure 7 compares the observed histogram of [C II]
values with several predicted histograms obtained following the
simulation outlined above. We have simulated maps using functions of
two forms: linear
) = a + b*
and power-law f(
) = a*
.
We determine the parameters which best
approximate the distribution of the observed
.
Some results of these simulations are shown in
Fig. 7. The closest match is obtained when
assuming a constant efficiency across the full range of
G0.
The data do not exclude modestly higher efficiencies in the faintest
regions by about a factor of two. Steeper gradients are excluded,
since they clearly over-predict the number of pixels with values
between 3 and 5
in the BICE map. At a given value of
G0 we
do find a significant spread of
/
in our
simulation. The spread, which is independent of
,
has
a magnitude of roughly a factor of two. The main conclusions of the
simulations are as follows:
- the value of
/
is independent of
over the range from
to
;
- the mean value of
across the LMC is 0.45%;
- there is a spread around this value between 0.3 and 0.6;
- there is a modestly higher value of
/
,
up to
1% in the faintest regions;
- the only region exhibiting a systematically lower value is the
30 Dor region with a mean value of
/
,
of 0.35%.
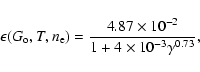
8 [C II] emission, photoelectric efficiency and radiation field in the LMC
![]() |
Figure 8:
|
| Open with DEXTER | |
8.1 S
and radiation field
We can take
as a proxy for the UV radiation
field in the case that most of the power absorbed by the dust is in
the UV, and the dust radiates isotropically. We plot
as a function of
in Fig. 8. The
[C II] emission increases as a function of
and flattens at the
highest radiation fields, which is clearly seen in the power-law fit.
This flattening is dominated by the low efficiency observed in
30 Dor. We also tried to fit a straight line to
the data with the y intercept set at zero. The data is clearly better
described by the power law. The difference between the power-law and
the linear fit at the highest values of
is 30%, which is more than we can comfortably explain by
missing line emission from other cooling fine structure lines
(Sect. 7.3). The power-law fit yields the
following prescription for the [C II] surface brightness as a
function of total infrared surface brightness throughout the LMC:
where surface brightness is given in
We interpret the flattening at the highest TIR in
Fig. 8 as a decrease in the PE heating rate. In
high radiation field and high temperature environments, grain charging
effects become important, the PE heating efficiency decreases and thus
the line cooling drops. This flattening is also observed in KAO data
of Galactic and extragalactic regions by Stacey et al. (1991). In
Fig. 17 of their paper, they plot
as a
function of the FIR surface brightness (which they call
)
normalised to
.
We show our data, their data and
Eq. (4) in Fig. 9. We
have converted our TIR values into
by assuming a
factor of two for TIR to FIR as given by Hunter et al. (2001). We also
plot tracks of constant PE efficiency in Fig. 9
(dashed lines) from
(left) to
(right); where
is chosen because it is close to the
highest efficiency in the theory of Bakes & Tielens (1994).
Our data throughout the LMC follow the trend of
Stacey et al. (1991) and extends to the lower left portion of the
plot. To understand why our SF points do not occupy the upper right
portion of the graph, one must consider that our beam size
(
)
undoubtedly entails considerable mixing of the
phases of the ISM. Stacey et al. (1991) include measurements of
30 Dor (indicated on Fig. 9). We use this
to gauge how beam size affects this figure. The measurement of
30 Dor from our data is indicated with a star.
30 Dor in the BICE beam has significantly lower IR and [C II] surface
brightnesses, by factors of about 125 and 15 respectively. Note, that
because of the much smaller beam of the KAO, and because the Galactic
regions are closer, the data of Stacey et al. (1991) probe much smaller
spatial scales. On these scales, the contribution to cooling from the
[O I] line as compared to the [C II] line might be important. If the
[O I] line were included in the Stacey et al. (1991) data, the points
at the upper-right side of the diagram would move up. Even so,
inclusion of these other lines would most likely not be sufficient to
move the data points up to the efficiency of the LMC, as this would
require them to be moved up the y-axis by at least an order of
magnitude. Such cooling contributions from other lines, even in the
most intense regions, are not expected. As with the decreasing trend
of efficiency in the Stacey data, we note that for our data,
30 Dor shows the most prominent decrease in efficiency.
Perhaps this reflects the fact that 30 Dor is so bright that
it dominates the emission even in the large beam.
One must note though, that the other variables which control the PE
heating (i.e. gas temperature and electron density) are not constant
throughout Figs. 8 and 9.
Perhaps the considerable spread in [C II] at any given
in Fig. 8 and can be
attributed to those other variables.
![]() |
Figure 9:
Diffuse and SF data plotted over Fig. 17 from
Stacey et al. (1991). The solid line is a power law fit to our
LMC data. Tracks of constant PE efficiency are also
plotted (dashed lines). The first track on the left has an
efficiency of 5% and the last track on the right has an
efficiency of
|
| Open with DEXTER | |
9 Correlation between radiation field and electron density
In this section we use the data and the physics of PE heating to
derive values for G0 and
.
We find that
the observed constant efficiency translates into a tight correlation
between the density of the radiation field and the density of
electrons. We discuss the physical interpretation of this correlation
and in particular we compare our results with those of
Young Owl et al. (2002) and Malhotra et al. (2001).
To first order the observed efficiency is constant throughout the LMC.
This constancy of 0.45% translates into a constant value of
(Eq. (3)). A typical value for
PDR gas temperature is
.
To account for the
contribution from the diffuse ISM (
2005) we adopt a value of
T = 75 K. Assuming
an average temperature of 75 K across the SF pixels we find that all
of the LMC regions, averaged over our 225 pc regions here, are
typified by G0/
.
Several explanations for the constancy of the observed efficiency and,
as a consequence, the derived interrelation between G0 and
come to mind.
- i) If, in our large beam, the radiation field is dominated by
similar PDR regions, then the number of PDRs in that beam will
determine variations in the total radiation field, but will not change
the intrinsic PE efficiency.
- ii) If, in our large beam, the light is dominated by emission
from the diffuse medium, PE efficiency should remain fairly constant
as the physical conditions within this medium are relatively
invariant.
- iii) The value of
/
is constant throughout the
different types of media that make up the LMC. In fact, for several
Galactic PDR regions, Young Owl et al. (2002) do indeed find that
and
scale with each other. They studied the PDRs of a sample of
reflection nebulae. Their observations of FIR atomic fine structure
lines and the FIR continuum allowed them to obtain estimates of
radiation fields and gas densities (n0).
Here, we estimate G0 and
for independent pixels in the LC. We
do this only for the SF-regions. One, because these are the brightest,
reliably detected regions and two, because the conversion from
to G0 (
)
uses the assumption of central illumination
which is more likely to hold in those regions. We use the observed
efficiency to invert the efficiency equation of
Bakes & Tielens (1994, Eq. (3)#. This yields values
of
for each pixel. We measure the G0 using
,
and assume a reasonable value for T. Thus we can
derive values of
for each pixel.
![]() |
Figure 10:
|
| Open with DEXTER | |
Following the examples of Meixner et al. (1992), Young Owl et al. (2002), and
Steiman-Cameron et al. (1997) we use the measured TIR surfaces brightnesses and
assume a certain geometry in order to estimate values of
.
Assuming 1) that the illuminating sources are
at the centre of each pixel; 2) that the dust resides at edges
of the pixels; 3) 100% conversion of FUV radiation to
IR radiation; 4) and that the dust radiates isotropically, then
with
![]() |
Figure 11:
Values of |
| Open with DEXTER | |
In order to numerically compare our result we convert
to n0assuming that the average electron density is dominated by
diffuse ISM, outside of the H II regions. In this case
the prime donor of free electrons is carbon which is the most abundant
element with an ionisation potential (11.3 eV) below that of hydrogen
(13.6 eV). Taking into account the metallicity of the LMC we find a
conversion factor (H/C) from
to n0 of 6000. It can be seen in
Fig. 12 that our values follow the trend
established by Young Owl et al. (2002) well.
Young Owl et al. (2002) and Malhotra et al. (2001) propose that the
correlation can be physically interpreted as a balance of gas
pressures between the PDR and the H II region. Young Owl et al. (2002)
present a simple analytical model assuming this balance of pressures
and they find that
should scale with
.
For both
Young Owl et al. (2002) and Malhotra et al. (2001), the power of 4/3 fits
to within the uncertainties of their data and fits within the envelope
of the uncertainty of our data (Fig. 10). We have
performed an F-test to determine whether the fit with p as a free
parameter is an improvement compared to strict pressure balance (See
Fig. 10). The shallower power-law (p=1.1) does
decrease the reduced
significantly although it remains well
above unity.
The cause behind the correlation is unclear, especially one that would hold over such a range of scales. It is difficult to envisage pressure-balance between the powering H II regions and the 200 pc regions of space that we are sampling. This is even more true for the results of Malhotra et al. (2001), who sample entire galaxies and still find a strong correlation between the average radiation field and the average density. Such a pressure balance would work if each single region or galaxy is dominated by a single (or at most e few) cluster(s) of young stars that cause a single prominent PDR to plough into the containing molecular cloud.
9.1 Dust temperature in the LMC
In the previous sections, we used the measured TIR surface brightness
as a proxy for radiation field. There could be a worry, though, that
can vary without actual variations
in the radiation field. This may be due to differences in the
amount of and characteristics - emitting material along the
line of sight as a result of varying densities or a varying thickness
of the LMC. We explore these concerns by comparing
as derived from
to
as derived by a rough calculation of the dust
temperature as measured by the 70
m to 160
m ratio. This
ratio in not affected by varying amounts of material along the
line-of-sight.
We derive a dust temperature indicator assuming modified black-body
radiation with an emissivity of the following functional form:
,
with
.
This is a crude approximation,
since in reality dust grains do not emit as modified black-bodies. The
dust temperature will vary with grain-size and also with grain
composition. Moreover, a part of the emission we observe at 70
m
is not due to dust at an equilibrium temperature
(See Sect. 7),
but arises from stochastically heated grains. For these reasons, the absolute value of
the derived temperature is not very reliable, but the relative
temperatures are. In spite of the above caveats, the temperatures that
we find are all-together reasonable and compare well with the results
of more in-depth studies. The mean dust temperature we find
(
)
is consistent with the
ones found by Sakon et al. (2006,
# and
Aguirre et al. (2003,
#.
Using the relationship between
and
given
by Tielens (2005) for graphite grains, we calculate
for each pixel. We plot
versus
for each
pixel in Fig. 11. The solid line denotes perfect
correspondence. The correspondence between the two G0 indicators is
clear and thus we conclude that
is indeed a valid
proxy for G0.
10 Photoelectric efficiency and grain distribution in the LMC
Theoretical studies have shown that the extent of grain charging and
therefore the efficiency of PE heating is not only dependent on
environmental conditions, but also on grain size and grain species.
Interstellar molecules such as PAHs and the smallest grains contribute most extensively to the PE heating (Watson 1972; Weingartner & Draine 2001; Bakes & Tielens 1994). For example, Bakes & Tielens (1994) have
found that approximately half of the heating is from grains with less
than about 1500 C-atoms (
15 Å).
Qualitatively, the scaling of efficiency with grain size is due to the
fact that the ionisation rate is approximately
![]()
since the FUV absorption cross section is approximately
![]()
.
But, the recombination rate increases more
slowly with the number of carbon atoms as it scales with the grain
size (about
). Therefore, the fraction of
ionised grains increases with grain size, scaling by about
.
There has been a plethora of theoretical studies on grain species and PE heating, but relatively few observationally based studies. Therefore, we now examine PE efficiency as a function of grain species by using each band as a tracer of grain abundance.
A calculation of efficiencies
Authors usually take [C II]/FIR as a general efficiency, encompassing the contribution to PE heating of all constituent grain populations. But, as each grain component is expected to have different intrinsic PE efficiencies, it is interesting to isolate the contribution of PE heating from the various species. Therefore, to quantify the importance of the various grain species to the PE heating process, we follow the example of Habart et al. (2001).
Using IRAS data, Habart et al. (2001) quantified the amount of emission
attributed to the PAH, VSG and BG populations in the
Opiuchi
complex. Using ISO observations of the [C II], [O I] and
lines, they then calculated
,
,
with a linear
combination fit of their gas cooling rate to their grain emission
rates (further detail given below). They found that the PAH population
is attributed with to highest photoelectric efficiency, while the
BG population is attributed to the lowest. They found
(
,
,
).
Table 3: Results of efficiency calculations.
To perform this calculation, we start with the definition of
efficiency for a certain grain population, j, which is given as
The substitutions of
![]() |
(7) |
Finally, if we consider the emission in the 8, 24, 70 and 160
The variable,
To solve for the efficiencies of Eq. (8), we fit a
linear combination of the IRAC and MIPS data to the [C II] map with
a
minimisation. Further, we force the efficiencies to be
between 0 and 1. We perform this calculation across the whole galaxy,
for the 30 Dor and N11 regions and for the diffuse
and SF regions in the LMC. All calculated efficiencies, along
with the
value for each fit are given in
Table 3.
![]() |
Figure 12:
Comparison of the interrelation between |
| Open with DEXTER | |
Table 3 shows that with the exception of N11,
and
are always zero and
and
are non-zero. We show the values
derived for the diffuse medium as well. However, these values should
be taken with extreme care, because of large contribution of noise to
these pixels. We have experimented with deriving grain-efficiencies
also using simulated [C II] maps and find that the 2% value for the
BG is found persistently but that the
-VSG grain is very
sensitive to the exact noise characteristics of the [C II] map and can
not be trusted.
The values in Table 3 show that
is
greater than
for every region considered. This is
quantitative proof that the PAH emission is more spatially correlated
with the [C II] emission than the BG emission. This supports the
interpretation put forth in the previous section, that the
PAH population dominates the PE efficiency and plays an
important role in the photoelectric heating of the gas.
The results for N11 obviously differ from the other regions
considered as
and as and
.
This
might reflect offsets between the [C II] emission and the Spitzer
bands due to the distinctive asymmetry towards N11 already
discussed in Sect. 3.
11 Conclusion
Using the MIR to FIR SAGE maps, and the BICE [C II] map of the LMC, we have, for the first time, conducted an observational study of PE heating and [C II] cooling in relation to spatially resolved grain emission throughout the LMC.
Integrated throughout the entire LMC, the [C II] line
accounts for
of the total infrared (![]()
of
the FIR). Applying a correction for the pixels below
,
we find that the [C II] line accounts for
of the FIR. This value is greater than that of
normal and gas rich galaxies (with values typically from 0.1-1%), as
found in other low metallicity galaxies.
Distinguishing environments by H
surface brightnesses and by
location, we find that the [C II] line contributes significantly less
to the TIR emission in SF regions versus diffuse ISM regions:
-
for the SF regions;
-
for 30 Doradus;
-
for N11;
-
for the diffuse regions.
-
for the SF regions;
-
for 30 Doradus;
-
for N11;
-
for the diffuse regions.
Previous studies have found a correlation between these two
parameters, with
.
This relation
has been explained by invoking a simple model assuming
pressure-balance between H II regions and the adjacent PDRs.
Theoretically, the PE efficiency depends strongly on the
recombination-rate, and thus on the ratio of
.
We
thus calculate values for
and
using the
observed efficiencies. We convert the observed
to
,
assuming illumination by a
central source in each
pixel. We find that a similar
scaling-relation between
and
holds for
the LMC. It is unclear why the Strömgren
sphere argument should hold on the large
45 pc scale that we
probe.
We analyse observed PE efficiencies in relation to the grain component emission from each Spitzer band. We note that this is the first such analysis utilising spatially resolved grain emission components throughout an entire galaxy. From the correlations between observed efficiency and the grain component emission, and from a calculation of the PE efficiencies for each population, we show that the PAH emission is the most spatially correlated with the PE heating rate. We therefore conclude that it is the PAH population that dominates the PE heating process.
The efficiency of the PE heating process is dependent on both environmental conditions, such as radiation field, and grain abundances. Our study has examined PE efficiency within the LMC without fully disentangling the extent of PE heating due to existence of grain populations favourable to PE heating and the extent due to environmental conditions favourable to PE heating. Disentangling the effects of both on the observed PE efficiency, however, is difficult as the regions where PAH populations are destroyed naturally have intense radiation fields which also suppress the extent of PE heating. To break this degeneracy we will undertake detailed SED modelling of the different regions in the LMC in an upcoming paper. Using the SED models we can independently solve for radiation field values and PAH abundances.
Acknowledgements
We would like to thank F. Boulanger, L. Verstraete and A. Jones for their helpful conversations. Meixner, Vijh, Sewilo and Leitherer have been funded by the NASA/Spitzer grant 1275598, and NASA NAG-12595.
References
- Aguirre, J. E., Bezaire, J. J., Cheng, E. S., et al. 2003, ApJ, 596, 273 [NASA ADS] [CrossRef] (In the text)
- Aitken, D. K., & Roche, P. F. 1985, MNRAS, 213, 777 [NASA ADS]
- Bakes, E. L. O., & Tielens, A. G. G. M. 1994, ApJ, 427, 822 [NASA ADS] [CrossRef]
- Bernard, J. P., Reach, W., & Paradis, D. 2008, AJ, submitted
- Cesarsky, D., Lequeux, J., Abergel, A., et al. 1996, A&A, 315, L309 [NASA ADS] (In the text)
- Dale, D. A., & Helou, G. 2002, ApJ, 576, 159 [NASA ADS] [CrossRef] (In the text)
- Dalgarno, A., & McCray, R. A. 1972, ARA&A, 10, 375 [CrossRef]
- de Jong, T. 1977, A&A, 55, 137 [NASA ADS]
- Desert, F.-X., Boulanger, F., & Puget, J. L. 1990, A&A, 237, 215 [NASA ADS]
- Draine, B. T. 1978, ApJS, 36, 595 [NASA ADS] [CrossRef]
- Draine, B. T., & Li, A. 2001, ApJ, 551, 807 [NASA ADS] [CrossRef]
- Draine, B. T., & Li, A. 2007, ApJ, 657, 810 [NASA ADS] [CrossRef] (In the text)
- Dufour, R. J. 1984, in Structure and Evolution of the Magellanic Clouds, ed. S. van den Bergh, & K. S. D. Boer, IAU Symp., 108, 353 (In the text)
- Dwek, E., & Smith, R. K. 1996, ApJ, 459, 686 [NASA ADS] [CrossRef]
- Engelbracht, C. W., Rieke, G. H., Gordon, K. D., et al. 2008, ApJ, 678, 804 [NASA ADS] [CrossRef]
- Fazio, G. G., Hora, J. L., Allen, L. E., et al. 2004, ApJS, 154, 10 [NASA ADS] [CrossRef] (In the text)
- Feast, M. 1999, in New Views of the Magellanic Clouds, ed. Y.-H. Chu, N. Suntzeff, J. Hesser, & D. Bohlender, IAU Symp., 190, 542
- Ferriere, K. M., Zweibel, E. G., & Shull, J. M. 1988, ApJ, 332, 984 [NASA ADS] [CrossRef]
- Galliano, F., Dwek, E., & Chanial, P. 2007, ArXiv e-prints, 708
- Gaustad, J. E., McCullough, P. R., Rosing, W., & Van Buren, D. 2001, PASP, 113, 1326 [NASA ADS] [CrossRef] (In the text)
- Goldsmith, D. W., Habing, H. J., & Field, G. B. 1969, ApJ, 158, 173 [NASA ADS] [CrossRef]
- Habart, E., Verstraete, L., Boulanger, F., et al. 2001, A&A, 373, 702 [NASA ADS] [CrossRef] [EDP Sciences] (In the text)
- Heiles, C. 1994, ApJ, 436, 720 [NASA ADS] [CrossRef]
- Helou, G. 1986, ApJ, 311, L33 [NASA ADS] [CrossRef] (In the text)
- Hollenbach, D. J., Takahashi, T., & Tielens, A. G. G. M. 1991, ApJ, 377, 192 [NASA ADS] [CrossRef]
- Hunter, D. A., Kaufman, M., Hollenbach, D. J., et al. 2001, ApJ, 553, 121 [NASA ADS] [CrossRef] (In the text)
- Israel, F. P., Maloney, P. R., Geis, N., et al. 1996, ApJ, 465, 738 [NASA ADS] [CrossRef]
- Keller, S. C., & Wood, P. R. 2006, ApJ, 642, 834 [NASA ADS] [CrossRef]
- Kennicutt, Jr., R. C., & Hodge, P. W. 1986, ApJ, 306, 130 [NASA ADS] [CrossRef] (In the text)
- Kim, S., & Reach, W. T. 2002, ApJ, 571, 288 [NASA ADS] [CrossRef] (In the text)
- Leach, S. 1987, A&A, 187, 195 [NASA ADS]
- Maciel, W. J., & Pottasch, S. R. 1982, A&A, 106, 1 [NASA ADS]
- Madden, S. C. 2000, New A Rev., 44, 249 [NASA ADS] [CrossRef] (In the text)
- Madden, S. C., Geis, N., Genzel, R., et al. 1993, ApJ, 407, 579 [NASA ADS] [CrossRef]
- Madden, S. C., Poglitsch, A., Geis, N., Stacey, G. J., & Townes, C. H. 1997, ApJ, 483, 200 [NASA ADS] [CrossRef]
- Madden, S. C., Galliano, F., Jones, A. P., & Sauvage, M. 2006, A&A, 446, 877 [NASA ADS] [CrossRef] [EDP Sciences]
- Malhotra, S., Helou, G., Stacey, G., et al. 1997, ApJ, 491, L27 [NASA ADS] [CrossRef]
- Malhotra, S., Kaufman, M. J., Hollenbach, D., et al. 2001, ApJ, 561, 766 [NASA ADS] [CrossRef]
- Matsuhara, H., Nakagawa, T., Shibai, H., et al. 1989, ApJ, 339, L67 [NASA ADS] [CrossRef] (In the text)
- McKee, C. F., & Ostriker, J. P. 1977, ApJ, 218, 148 [NASA ADS] [CrossRef]
- Meixner, M., Haas, M. R., Tielens, A. G. G. M., Erickson, E. F., & Werner, M. 1992, ApJ, 390, 499 [NASA ADS] [CrossRef]
- Meixner, M., Gordon, K. D., Indebetouw, R., et al. 2006, AJ, 132, 2268 [NASA ADS] [CrossRef]
- Mochizuki, K., Nakagawa, T., Doi, Y., et al. 1994, ApJ, 430, L37 [NASA ADS] [CrossRef] (In the text)
- Nordgren, T. E., Cordes, J. M., & Terzian, Y. 1992, AJ, 104, 1465 [NASA ADS] [CrossRef] (In the text)
- Peck, A. B., Goss, W. M., Dickel, H. R., et al. 1997, ApJ, 486, 329 [NASA ADS] [CrossRef] (In the text)
- Petuchowski, S. J., & Bennett, C. L. 1993, ApJ, 405, 591 [NASA ADS] [CrossRef]
- Poglitsch, A., Krabbe, A., Madden, S. C., et al. 1995, ApJ, 454, 293 [NASA ADS] [CrossRef]
- Povich, M. S., Stone, J. M., Churchwell, E., et al. 2007, ApJ, 660, 346 [NASA ADS] [CrossRef]
- Rieke, G. H., Young, E. T., Engelbracht, C. W., et al. 2004, ApJS, 154, 25 [NASA ADS] [CrossRef] (In the text)
- Roche, P. F., & Aitken, D. K. 1985, MNRAS, 213, 789 [NASA ADS]
- Röllig, M., Abel, N. P., Bell, T., et al. 2007, A&A, 467, 187 [NASA ADS] [CrossRef] [EDP Sciences] (In the text)
- Sakon, I., Onaka, T., Kaneda, H., et al. 2006, ApJ, 651, 174 [NASA ADS] [CrossRef]
- Siebenmorgen, R., Krügel, E., & Spoon, H. W. W. 2004, A&A, 414, 123 [NASA ADS] [CrossRef] [EDP Sciences]
- Spitzer, L. J. 1948, ApJ, 107, 6 [NASA ADS] [CrossRef] (In the text)
- Stacey, G. J., Geis, N., Genzel, R., et al. 1991, ApJ, 373, 423 [NASA ADS] [CrossRef]
- Steiman-Cameron, T. Y., Haas, M. R., Tielens, A. G. G. M., & Burton, M. G. 1997, ApJ, 478, 261 [NASA ADS] [CrossRef] (In the text)
- Stutzki, J., Stacey, G. J., Genzel, R., et al. 1988, ApJ, 332, 379 [NASA ADS] [CrossRef]
- Tielens, A. G. G. M. 2005, The Physics and Chemistry of the Interstellar Medium ed. A. G. G. M. Tielens (University Press: Cambridge, UK: Cambridge) (In the text)
- Tielens, A. G. G. M., & Hollenbach, D. 1985a, ApJ, 291, 747 [NASA ADS] [CrossRef]
- Tielens, A. G. G. M., & Hollenbach, D. 1985b, ApJ, 291, 722 [NASA ADS] [CrossRef]
- Valls-Gabaud, D. 1998, PASA, 15, 111 (In the text)
- Vermeij, R., Damour, F., van der Hulst, J. M., & Baluteau, J. P. 2002a, A&A, 390, 649 [NASA ADS] [CrossRef] [EDP Sciences] (In the text)
- Vermeij, R., Peeters, E., Tielens, A. G. G. M., & van der Hulst, J. M. 2002b, A&A, 382, 1042 [NASA ADS] [CrossRef] [EDP Sciences]
- Verstraete, L., Pech, C., Moutou, C., et al. 2001, A&A, 372, 981 [NASA ADS] [CrossRef] [EDP Sciences]
- Voit, G. M. 1992, MNRAS, 258, 841 [NASA ADS]
- Watson, W. D. 1972, ApJ, 176, 103 [NASA ADS] [CrossRef] (In the text)
- Weingartner, J. C., & Draine, B. T. 2001, ApJS, 134, 263 [NASA ADS] [CrossRef]
- Westerlund, B. E. 1997, The Observatory, 117, 317 [NASA ADS] (In the text)
- Wolfire, M. G., Tielens, A. G. G. M., & Hollenbach, D. 1990, ApJ, 358, 116 [NASA ADS] [CrossRef]
- Wright, E. L., Mather, J. C., Bennett, C. L., et al. 1991, ApJ, 381, 200 [NASA ADS] [CrossRef] (In the text)
- Wu, Y., Charmandaris, V., Hao, L., et al. 2006, ApJ, 639, 157 [NASA ADS] [CrossRef]
- Young Owl, R. C., Meixner, M. M., Fong, D., et al. 2002, ApJ, 578, 885 [NASA ADS] [CrossRef]
Footnotes
- ... II]
- Throughout this paper, we utilise the following
notation: we refer to the fine structure transition with
and to the emission line that it produces with
[C II].
- ...
)
- The contribution of the [C II] emission to the infrared emission is usually quoted in ratios of luminosities and we therefore adhere to this convention. We note, though, that we actually calculate values for this ratio with surface brightness. This is, however, equivalent to a ratio of luminosities assuming that both the [C II] and TIR are radiated isotropically.
All Tables
Table 1: Summary of data used in this study.
Table 2: Contribution of [C II] from various regions in the LMC.
Table 3: Results of efficiency calculations.
All Figures
![]() |
Figure 1:
8 |
| Open with DEXTER | |
| In the text | |
![]() |
Figure 2:
70 |
| Open with DEXTER | |
| In the text | |
![]() |
Figure 3:
Ratio map of
|
| Open with DEXTER | |
| In the text | |
![]() |
Figure 4:
|
| Open with DEXTER | |
| In the text | |
![]() |
Figure 5:
Ratio maps of the 8 a), 24 b),
70 c) and 160 |
| Open with DEXTER | |
| In the text | |
![]() |
Figure 6:
surface brightness ( top) and the
|
| Open with DEXTER | |
| In the text | |
![]() |
Figure 7:
Fluxes as observed in the BICE maps versus those obtained from a simple simulation (Sect. 7.4). The
figure shows the observed histogram of [C II] surface-brightness
(solid), the bin width is 1 |
| Open with DEXTER | |
| In the text | |
![]() |
Figure 8:
|
| Open with DEXTER | |
| In the text | |
![]() |
Figure 9:
Diffuse and SF data plotted over Fig. 17 from
Stacey et al. (1991). The solid line is a power law fit to our
LMC data. Tracks of constant PE efficiency are also
plotted (dashed lines). The first track on the left has an
efficiency of 5% and the last track on the right has an
efficiency of
|
| Open with DEXTER | |
| In the text | |
![]() |
Figure 10:
|
| Open with DEXTER | |
| In the text | |
![]() |
Figure 11:
Values of |
| Open with DEXTER | |
| In the text | |
![]() |
Figure 12:
Comparison of the interrelation between |
| Open with DEXTER | |
| In the text | |
Copyright ESO 2009
Current usage metrics show cumulative count of Article Views (full-text article views including HTML views, PDF and ePub downloads, according to the available data) and Abstracts Views on Vision4Press platform.
Data correspond to usage on the plateform after 2015. The current usage metrics is available 48-96 hours after online publication and is updated daily on week days.
Initial download of the metrics may take a while.
![\begin{figure}
\par\includegraphics[clip,width=11cm,angle=90]{0968f01}\par\vspace*{4mm}
\includegraphics[clip,width=11cm,angle=90]{0968f02}
\end{figure}](/articles/aa/full_html/2009/05/aa10968-08/Timg62.gif)
![\begin{figure}
\par\includegraphics[clip,width=11cm,angle=90]{0968f03}\par\vspace*{4mm}
\includegraphics[clip,width=11cm,angle=90]{0968f04}
\end{figure}](/articles/aa/full_html/2009/05/aa10968-08/Timg63.gif)
![\begin{figure}
\par\includegraphics[clip,height=8.8cm,angle=90]{0968f05}
\end{figure}](/articles/aa/full_html/2009/05/aa10968-08/Timg88.gif)
![\begin{figure}
\par\includegraphics[clip,height=8.8cm,angle=-90]{0968f06}
\end{figure}](/articles/aa/full_html/2009/05/aa10968-08/Timg104.gif)
![\begin{figure}
\par\includegraphics[clip,width=8.6cm,angle=0]{0968f07}\hspace*{4...
...\hspace*{4mm}
\includegraphics[clip,width=8.6cm,angle=0]{0968f10}
\end{figure}](/articles/aa/full_html/2009/05/aa10968-08/Timg105.gif)
![\begin{figure}
\par\includegraphics[clip,width=18cm]{0968f11}
\end{figure}](/articles/aa/full_html/2009/05/aa10968-08/Timg106.gif)


![\begin{figure}
\par\includegraphics[clip,width=8.8cm]{0968f12}
\end{figure}](/articles/aa/full_html/2009/05/aa10968-08/Timg118.gif)
![\begin{figure}
\par\includegraphics[clip,width=8.2cm]{0968f13}
\end{figure}](/articles/aa/full_html/2009/05/aa10968-08/Timg125.gif)
![\begin{displaymath}
{S_{\rm [C {\sc ii}]} = 1.25 \times 10^{-3}~{S_{\rm TIR}}^{0.69}},
\end{displaymath}](/articles/aa/full_html/2009/05/aa10968-08/img126.gif)
![\begin{figure}
\par\includegraphics[clip,height=17cm,angle=90]{0968f14}
\vspace*{-3mm}
\end{figure}](/articles/aa/full_html/2009/05/aa10968-08/Timg133.gif)
![\begin{figure}
\par\includegraphics[clip,width=8.4cm,clip]{0968f15}
\end{figure}](/articles/aa/full_html/2009/05/aa10968-08/Timg142.gif)
![\begin{figure}
\par\includegraphics[clip,height=8.4cm,angle=90]{0968f16}
\vspace*{-4mm}
\end{figure}](/articles/aa/full_html/2009/05/aa10968-08/Timg148.gif)
![\begin{displaymath}
\epsilon_{{\rm pop}~j}\equiv \frac{\Gamma_{\rm PE}({\rm pop...
...[C {\sc ii}]}({\rm pop}~j)}{S_{\rm emitted}({\rm pop}~j)}\cdot
\end{displaymath}](/articles/aa/full_html/2009/05/aa10968-08/img175.gif)
![\begin{displaymath}{S_{\rm [C {\sc ii}]}=\sum_{\rm all~pop}{\epsilon_{\rm pop~j}S_{\rm emitted}({\rm pop}~j)}}.
\end{displaymath}](/articles/aa/full_html/2009/05/aa10968-08/img177.gif)
![\begin{figure}
\par\includegraphics[clip,width=8.2cm]{0968f17}
\vspace*{-3mm}
\end{figure}](/articles/aa/full_html/2009/05/aa10968-08/Timg179.gif)