Issue |
A&A
Volume 494, Number 2, February I 2009
|
|
---|---|---|
Page(s) | 527 - 537 | |
Section | Extragalactic astronomy | |
DOI | https://doi.org/10.1051/0004-6361:200811150 | |
Published online | 27 November 2008 |
Doppler factors, Lorentz factors and viewing angles for quasars, BL Lacertae objects and radio galaxies
T. Hovatta1 - E. Valtaoja2,3 - M. Tornikoski1 - A. Lähteenmäki1
1 - Metsähovi Radio Observatory, TKK, Helsinki University of Technology, Metsähovintie 114, 02540 Kylmälä, Finland
2 -
Tuorla Observatory, University of Turku, Väisäläntie 20, 21500 Piikkiö, Finland
3 -
Department of Physics and Astronomy, University of Turku, Vesilinnantie 5, 20100 Turku, Finland
Received 14 October 2008 / Accepted 18 November 2008
Abstract
Aims. We have calculated variability Doppler boosting factors, Lorentz factors, and viewing angles for a large sample of sources by using total flux density observations at 22 and 37 GHz and VLBI data.
Methods. We decomposed the flux curves into exponential flares and determined the variability brightness temperatures of the fastest flares. By assuming the same intrinsic brightness temperature for each source, we calculated the Doppler boosting factors for 87 sources. In addition we used new apparent jet speed data to calculate the Lorentz factors and viewing angles for 67 sources.
Results. We find that all quasars in our sample are Doppler-boosted and that the Doppler boosting factors of BL Lacertae objects are lower than of quasars. The new Lorentz factors are about twice as high as in earlier studies, which is mainly due to higher apparent speeds in our analyses. The jets of BL Lacertae objects are slower than of quasars. There are some extreme sources with very high derived Lorentz factors of the order of a hundred. These high Lorentz factors could be real. It is also possible that the sources exhibit such rapid flares that the fast variations have remained undetected in monitoring programmes, or else the sources have a complicated jet structure that is not amenable to our simple analysis. Almost all the sources are seen in a small viewing angle of less than 20 degrees. Our results follow the predictions of basic unification schemes for AGN.
Key words: galaxies: active - galaxies: jets - radio continuum: galaxies - radiation mechanisms: non-thermal - galaxies: quasars: general
1 Introduction
All radio-bright active galactic nuclei (AGN) have relativistic jets emitting
synchrotron radiation.
The jets can at the simplest level be modelled
by using two intrinsic parameters, the Lorentz factor (), which
describes the speed of the jet flow, and the viewing angle (
),
which is the angle between the jet axis and the line of sight to the observer.
These parameters can be calculated if the Doppler boosting factor (D) and the
apparent speed
are known. We can find out
the
from Very Long Baseline Interferometry (VLBI)
observations, and in the past few
years major progress has been made in this area (e.g. Kellermann et al. 2004; Jorstad et al. 2005; Homan et al. 2001; Jorstad et al. 2001; Britzen et al. 2008; Piner et al. 2007).
The Doppler boosting factors can be
calculated in various ways, and different methods are compared
in Lähteenmäki & Valtaoja (1999, hereafter LV99).
A common way to calculate the Doppler boosting factors is to combine X-ray observations with VLBI component fluxes (e.g. Ghisellini et al. 1993; Britzen et al. 2007; Guerra & Daly 1997; Guijosa & Daly 1996). This method assumes inverse Compton (IC) origin of the X-ray emission, and that the same synchrotron photons forming the lower frequency radiation are responsible also for the IC emission. Assuming that the VLBI observations are done at the spectral turnover frequency, a predicted X-ray flux can be calculated. By comparing this to the observed X-ray flux, and by interpreting the excess flux as due to Doppler boosting, the Doppler boosting factors can be calculated. If the VLBI frequency is not at the turnover, large errors are induced in the Doppler boosting factors. This method also suffers greatly from non-simultaneous X-ray and VLBI data, and as was argued in LV99, gives much less accurate estimates for the Doppler boosting factors.
Using VLBI it is possible to directly observe the brightness temperature
of the source (
). This can be compared to the
intrinsic brightness temperature of the source (
),
which is often assumed to be the equipartition temperature (
)
(Lähteenmäki et al. 1999; Readhead 1994). The excess of
is
interpreted as caused by Doppler boosting. This method also
requires the values to be obtained at the turnover frequency, which
enhances the errors in the Doppler boosting factors (LV99).
Another way to use VLBI observations is shown in Jorstad et al. (2005) who
estimated the variability Doppler boosting factors
of 15 AGN using Very Long Baseline Array (VLBA) data at 43 GHz.
They calculated the flux decline
time (
)
of a component in the jet
and compared it to the measured size of the VLBI component (which does
not depend on D).
Assuming the intrinsic variability timescale corresponds to the light-travel
time across the knot, they estimated the Doppler boosting factors.
They also estimated the Lorentz
factors and the viewing angles for these sources by using apparent speed data.
Variability timescales can also be obtained from total flux density (TFD)
observations. This is the method used in LV99 and we use the same method
in our analyses. We decompose each flux curve into
exponential flares and calculate the variability timescale of each flare.
From this we gain the observed brightness temperature, which is boosted by
D3 in comparison with
.
This makes
possible the extraction of the variability Doppler factor
if
is known.
In Lähteenmäki et al. (1999) it was argued, based on observations,
that in every large
flare
reaches the equipartition temperature
K.
In LV99 a sample of 81 sources was studied at 22 and 37 GHz frequencies. They calculated the Doppler boosting factors based on observations from a period of over 15 years. For each source they combined the results of the two frequency bands and chose the fastest flare for the analysis. In addition they determined the Lorentz factors and the viewing angles for 45 sources. We have done similar calculations for a larger sample of sources and using data from almost 30 years of monitoring. We will also compare our results with the results of LV99 to see if the values have changed during the past 10 years.
The paper is organised as follows: in Sect. 2 we describe the source sample and the method used. In Sect. 3 we calculate the variability Doppler boosting factors and compare our results with LV99 and other related studies. The Lorentz factors and the viewing angles are presented in Sect. 4 and the discussion follows in Sect. 5. Finally conclusions are drawn in Sect. 6.
2 Data and the method
Our sample consists of 87 bright, well-monitored AGN from the Metsähovi
Radio Observatory monitoring list. This is a rather good approximation of a
complete flux limited sample of
the brightest compact northern sources. (Missing are a handful of sources for which we had insufficient data to calculate the Doppler factors.)
The sources have been observed regularly for almost 30 years
at 22 and 37 GHz with the Metsähovi 14 m telescope (Teräsranta et al. 1998,1992; Salonen et al. 1987; Teräsranta et al. 2005,2004).
Details of the observation method
and data reduction process are described in Teräsranta et al. (1998).
Our study also includes unpublished data at 37 GHz from December 2001 until
the end of 2006. Data of BL Lacertae objects at 37 GHz from
December 2001 until April 2005 are published in Nieppola et al. (2007).
In our sample we have 30 high polarisation quasars (HPQs), which have
optical polarisation exceeding 3 percent at some point in the past.
In addition we have 22 low polarisation quasars (LPQs), 8 quasars (QSOs) for
which no polarisation data were available,
22 BL Lacertae objects (BLOs), and 5 radio galaxies (GALs).
We have used the classification used in the MOJAVE programme whenever possible.
All the quasars in our sample can be classified as flat spectrum radio
quasars (FSRQs), which show blazar-like properties.
Our sample does not contain ordinary quasars that have larger viewing
angles and which do not show the rapid variability common for FSRQs.
In our analyses we have usually combined QSOs with LPQs,
following the choice of LV99.
We decomposed the flux curves into exponential flares of the form
where



![]() |
Figure 1: Flux curve of the HPQ source 1156+295 (points) decomposed into exponential flares (solid line) at 22 GHz. |
Open with DEXTER |
From the fits we obtain the
necessary parameters to calculate the observed variability brightness
temperature of the source
(in the source proper frame)
where







![[*]](/icons/foot_motif.gif)
The variability Doppler factor can then be calculated as
We used the value


By combining the Doppler boosting factors with apparent superluminal
component velocities
,
obtained using VLBI,
we can calculate the variability Lorentz factors
and the viewing angles
by using Eqs. (4) and (5).
We obtained 67


3 The variability Doppler boosting factors
3.1 Estimation of the Doppler boosting factors
We were able to calculate the Doppler boosting factor (
)
for 86 sources at 22 GHz, and for 72 sources at 37 GHz.
For many sources we were able to
determine the
for more than one flare.
The medians of
are slightly larger at 22 GHz than at 37 GHz,
which could be due to different intrinsic brightness temperatures at the two
frequency bands. In our analysis we chose the fastest flare of each source
(either at 22 or 37 GHz, whichever had the fastest flare) to calculate
the
,
as was done in LV99. The argument for using the fastest
flare to determine
is that they are most likely to reach
the limiting brightness temperature and least likely to suffer from
blending of flares which tends to increase the fitted timescale.
This way we were able to calculate the
for all the 87 sources in our sample.
By visual examination, we divided the fits into three categories
based on the goodness of the fit. No single numerical value, such
as the
test, is alone suitable for describing the goodness,
because these
usually characterise the entire flux curve, while we have only used one,
fastest flare, to determine the
.
In addition, relatively
large error bars in some fainter sources cause the
value to be
small, while we consider a fit to be better when the scatter among the
datapoints is small.
We classified the
as excellent (E, 21 sources), good (G, 24 sources) or
acceptable (A, 42 sources). In the fits classified as excellent,
the exponential
decomposition follows the datapoints quite precisely, as in the
flares after the
year 1997 in Fig. 1. The fit is also unambiguous and
other functions do not describe the behaviour as well. Larger flares in
Fig. 1
before 1995 would mainly be defined as good, because in these flares the
fit follows the flux curve well, but there is also some scatter, and in some
cases there are not as many datapoints to define the fit as in the ones
defined as excellent. In the fits classified as acceptable, the scatter
around the fit is still larger.
This is often the case when the flux level of the
source is modest and the errorbars consequently large. However, none of our
results change significantly if we exclude the acceptable sources.
All Doppler boosting factors are shown in Table 1
where the B1950-name, other commonly used name, type of the object, frequency of the
determination, redshift, quality of the
,
,
,
,
,
,
core dominance parameter R, and maximum optical polarisation
and its reference are listed.
It is difficult to determine exact error estimates
for the
of each source. Some indications can be obtained
from the standard deviation of
calculated from the various
flares in one source. We calculated the deviations for all the sources
classified as excellent, which had more than one flare to determine
the
,
including also flares determined as good.
There were 45 such cases (including
all the fits at both 22 and 37 GHz) and, on average, each source had 5.7 well-defined
flares. The median standard deviation for these is
,
which can be
thought of as an indication of the upper limit for the error estimate since
in many cases the change
in the
of individual flares can also be due to
differences in the
source behaviour. It is also more likely to see a very fast flare in each
source the longer they are monitored.
More insight into the
errors can be obtained when our new
are compared to other studies (cf. Sect. 3.2).
Table 1: Doppler boosting factors, Lorentz factor and viewing angles for all sources.
In Table 2 we show the median values of
and
for each source class separately and for HPQs and LPQs
combined together (FSRQ).
The distributions are
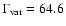
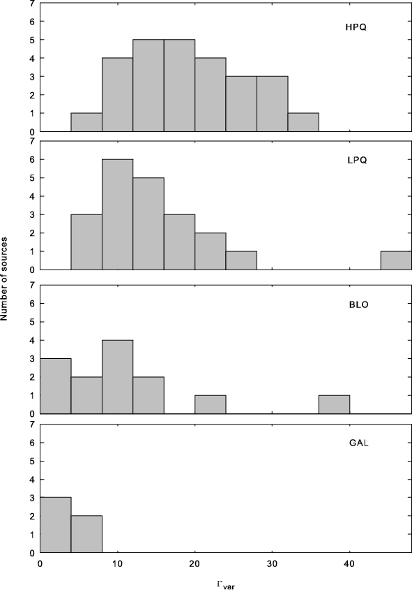
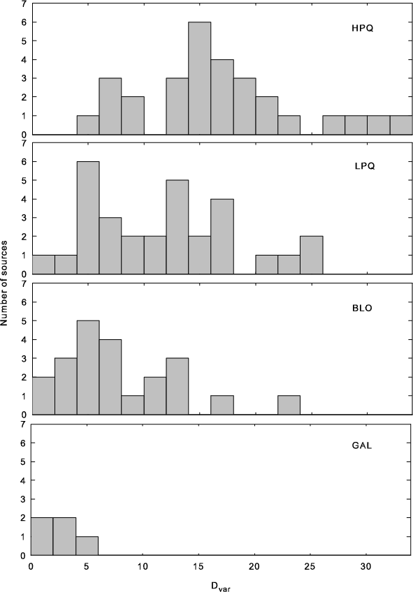
shown in Figs. 2 and 3 and we can see that the distributions of quasars and BLOs have considerable overlap. HPQs
have a tail extending to higher
and LPQs seem to be in between
the HPQs and BLOs. Also, it is interesting to note that all the quasars are
clearly Doppler-boosted, the smallest estimated
being
K for 1928+738.
We ran the Kruskal-Wallis analysis to examine the differences between
source classes. (All Kruskal-Wallis analyses in this
paper have been performed with the Unistat statistical package for
Windows
(version 5.0).)
The results confirm that all the source classes differ from the other
classes significantly with a 95% confidence limit.
3.2 Comparison with previous analyses
Our sample has 71 sources in common with the sample of LV99. We have re-calculated the Doppler boosting factors of LV99, using the current cosmological model. Figure 4 shows the correlation between the Doppler boosting factors of LV99 and the new values. The results are very similar and the values correlate with a coefficient r = 0.77 (p< 0.0001). Kruskal-Wallis analysis also shows that the values come from the same population. This confirms that the method is reliable because the results have not changed even though we have now ten more years of data. The differences are mainly due to poor fits in LV99 which are due to poor sampling or low flux density (large scatter) in the data. The scatter between the old and the new values is consistent with the error analysis in Sect. 3.1. In some cases (e.g. 0430+052 and 1156+295) the source has clearly changed its behaviour and exhibits a much faster flare in our new dataset. The new estimates which are calculated using almost 30 years of data should therefore be more representative of the source behaviour.
We also compared our
values with the Jorstad et al. (2005)
values for 15 AGN, obtained at 43 GHz. Figure 5 shows the
correlation between the two values, and a Spearman rank correlation gives
a coefficient r=0.56 (p=0.0123).
We can see that the values in Jorstad et al. (2005) are in general somewhat higher
than ours. This can be due to their higher observing frequency (cf. Discussion). Also,
their analysis method gives only an upper limit to some sources. The
distribution of source classes is similar to ours, with quasars
having the highest
Doppler boosting factors, GALs the lowest and BLOs being in between them.
Therefore
we conclude that the Doppler boosting factors of these two analyses
correspond well with each other.
Homan et al. (2006) argued that during the most active state
should be closer to
and
therefore the
of the LV99 are overestimated.
This would make our
values even smaller, and the
correspondence to Jorstad et al. (2005) would be worse.
Higher
would also increase our Lorentz factors for the
fastest sources, and
as is shown later (cf. Sects. 4 and 5),
our new values are already twice as high as in LV99 and in some
sources even extremely high. We also note that a different value for
does not change the distributions themselves, only the
numerical values.
Table 2:
Median values of
and
.
We also compared our Doppler boosting factors to a recent study at a lower
frequency of 5 GHz (Britzen et al. 2007). They calculated the IC
Doppler boosting factors by using VLBI data from the Caltech-Jodrell Bank
Flat-Spectrum source sample (Taylor et al. 1996) and non-simultaneous
ROSAT X-ray data. The
Spearman rank correlation between our 24 common sources (excluding one outlier, 0836+710, with
)
is still quite good
(r=0.63, p=0.0004), and the slope of the linear fit between
and
is almost exactly one. We believe that most of the scatter
is due to the errors in the IC Doppler boosting factors, since LV99 showed
that for several reasons these are likely to be much less accurate than
the variability Doppler boosting factors.
3.3 Core dominance
![]() |
Figure 2:
Distribution of
|
Open with DEXTER |











![]() |
Figure 3:
Distribution of
|
Open with DEXTER |
![]() |
Figure 4:
Correlation between the
|
Open with DEXTER |
![]() |
Figure 5:
Correlation between the
|
Open with DEXTER |
![]() |
Figure 6:
Correlation between |
Open with DEXTER |
Similar calculations were made in Britzen et al. (2007)
for their sample. They used the core flux density and total
single-dish flux density at 5 GHz to calculate the core-dominance parameter.
They found no significant correlation between their
core-dominance parameter and the IC Doppler boosting factor. We have only 25 sources in common with their sample, and when we compared our
with their core-dominance parameter, we found no correlation.
4 The Lorentz factors and viewing angles
We were able to calculate Lorentz factors
and
viewing angles
for 67 sources. The median values
of different source classes are shown in Table 3. These are
affected by two outliers with exceptionally large
.
The source 0923+392 has
and
1730-130 has
.
Both of these
show high superluminal motion of
,
which increases
the Lorentz factors. The distributions of the source classes
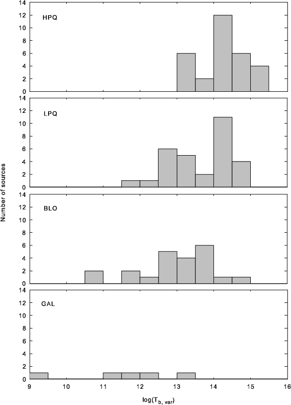
are shown in Figs. 7 and 8. In
the distributions of quasars and
BLOs overlap, but BLOs and GALs have slower jet speeds than quasars.
Kruskal-Wallis analysis shows that when
are
studied without the outlier sources, HPQs differ from other classes with
higher Lorentz factors, and GALs differ with smaller Lorentz factors. BLOs and LPQs come from the same population with a 13% confidence.
There is one BLO (1823+568) for which
.
This source has also been classified as a HPQ (e.g. Véron-Cetty & Véron 2006)
and therefore we ran the
KW-analysis again by moving this source into the HPQ class. In this case also
BLOs and LPQs differ significantly from each other with a 96% confidence.
We must note that in our samples of 13 to 26 objects the significance of
differences can depend on the classification of a single extreme source.
However, a clear result is that the BLOs and the quasars differ from
each other with BLOs having slower jets (FSRQs and BLOs differ significantly with a 99% confidence if 1823+568 is classified as a BLO and with a 99.9% confidence if 1823+568 is classified as a HPQ).
This result is in accordance with
several earlier but more indirect estimates of jet speeds.
Similar results have also been obtained
with simulations (Hughes et al. 2002).
When
is studied, the distributions overlap even more
and KW-analysis shows that GALs and BLOs differ from other source classes
with a 95% confidence. Also, if the differences between FSRQs and BLOs are
studied, they differ from each other significantly with a 99% confidence with
BLOs having larger viewing angles.
Table 3:
Median values of
and
.
![]() |
Figure 7:
Distribution of
|
Open with DEXTER |
![]() |
Figure 8:
Distribution of
|
Open with DEXTER |
We compared our new Lorentz factors with the ones from LV99. There are
38 sources in common in our samples, and in Fig. 9 we can see that the new
are about
twice as large as in LV99. This is mainly because also the apparent speeds
used in our analysis are about twice as large as in LV99, where they were
collected from the literature. We should now have better and more homogeneous
estimates of
which should make our new estimates
more accurate. The correlation between our
and those
from LV99 is only r=0.37
(p=0.0113) when the outlier (0923+392)
is not included (the other outlier 1730-130 is not included in the
sample of LV99).
When we compare our
with Lorentz factors
estimated in Jorstad et al. (2005) we find a good correlation of
r=0.50
(p=0.0281) which gives credibility to our new estimates.
Also the distribution is similar with quasars having the highest
Lorentz factors, BLOs being in between and GALs having the smallest
Lorentz factors.
We have only 12 sources in common with the sample of Britzen et al. (2007) and we
find no correlation between our Lorentz factors
even if we leave out their outlier
source 0016+731 for which they determine a Lorentz factor of 860.
The differences are probably due to their much lower values of
and differences in the Doppler boosting factors.
![]() |
Figure 9: Correlation between Lorentz factors from LV99 and the new values (excluding the outlier source 0923+392 with a Lorentz factor of 216 in the new analysis). |
Open with DEXTER |
When studying the viewing angles, the difference between our new and LV99
values is not as large and the correlation is good (r=0.51 p=0.0005).
The correlation between our values and
Jorstad et al. (2005) values is also very good with r=0.59
(p=0.0105).
Again there are no significant correlations between
and values from Britzen et al. (2007).
5 Discussion
Although the Doppler boosting factors have remained on the average almost
identical (cf. Fig. 4) even
though we now have ten more years of data, there is a factor of two difference
in the Lorentz factors when comparing our new results to LV99. This is mainly
due to
twice as fast apparent speeds in our new analysis. In LV99 the
values are mainly from Vermeulen & Cohen (1994), in which
the values were gathered from the literature. This means that the speeds were
obtained in the 1980s and early 1990s from a variety of observing programmes and frequencies, mainly at 5 GHz. We use 15 GHz MOJAVE data from 1994 up to September 2008,
giving a far more uniform dataset.
We also note that higher
frequency VLBI observations often tend to give higher apparent speeds as
can be seen by comparing, e.g., data from
Vermeulen & Cohen (1994), Kellermann et al. (2004), Jorstad et al. (2005), and Britzen et al. (2007), although
the reason for this is not clear. The use
of a single frequency therefore diminishes the internal scatter.
Long-term observations, both TFD monitoring and VLBI, are essential in understanding source behaviour. We have already shown this in our earlier studies of long-term variability behaviour of these sources (Hovatta et al. 2007,2008a,b). Some sources have changed their behaviour in our TFD observations during the past 10 years. Similar changes can be seen in VLBI sources over a long time, such as the position swings seen, for example, in 3C 273 (Savolainen et al. 2006) and NRAO 150 (Agudo et al. 2007). We emphasise that our way to estimate the Lorentz factors and viewing angles is as good as can be, when we are characterising a complex, changing jet with just two parameters, both assumed to be constant.
In addition to having twice as high apparent speeds in general, there are
also some extreme sources showing very high apparent motion. While in
LV99 the highest apparent speed was 14.9, we now have two sources
(0923+392 and 1730-130) with
.
As a consequence, the Lorentz factors of these sources are also extremely
high,
for 0923+392 and
for 1730-130. We also note that if
the
for the source 1510-089 from
Jorstad et al. (2005) is accepted, our
would
indicate a
.
Thus, the existence of a class of
very fast jets should perhaps at least be considered as a possibility.
However, at least the
seems
rather unlikely in view of our current knowledge of the jets in AGN.
One alternative explanation is that 0923+392
has a higher observed brightness temperature than what we have obtained
(
)
from our monitoring. If we saw changes
of about 1 Jy within a time period of a week, the brightness temperature
would be of the order of 1015 K, which would change the Lorentz factor
to a more acceptable value of under 50.
Our sampling, like in other monitoring programmes,
is too sparse to detect such rapid flares reliably, and therefore we have
initiated a denser monitoring schedule for the source.
Another possibility is that the source has a complicated internal structure or
geometry, such that the TFD variations and the apparent speeds do not refer
to the same component (e.g. Alberdi et al. 1993; Fey et al. 1997; Alberdi et al. 2000).
However, independent of our
estimates, 0923+392 must have a Lorentz factor of at least 43
as
.
![]() |
Figure 10:
Observable quantities
|
Open with DEXTER |
In Fig. 10 we have plotted the observable quantities
and
.
We have
included curves to mark areas of different
and
.
The outlier sources are clearly visible in this
plot but otherwise the sources are within rather well-defined limits. Almost all the
sources have
and
.
The differences between the source classes are also seen in this plot, with
GALs having slow speeds and low brightness temperatures.
Using Monte-Carlo simulations, Cohen et al. (2007) find an upper limit
for the Lorentz factor to be
.
This agrees quite well
with our results, although in our sample we have five sources with
between 30 and 50 and two quasars with
.
![]() |
Figure 11:
Distribution of
|
Open with DEXTER |
A common assumption is that sources are viewed close to the critical angle
.
Figure 11 shows the
distribution for our sources, which indeed does peak around 1. However, a number of sources have
significantly
larger or smaller, so that the assumption of
will
in many cases lead to false conclusions both for individual sources and
for samples. Cohen et al. (2007) have calculated a Monte Carlo simulation for
a flux density limited survey (similar to ours),
(Fig. 1c in Cohen et al. 2007, in which the sources with
are plotted), finding a distribution rather similar to our empirical one.
The simplest unification scheme for AGN (e.g. Urry & Padovani 1995; Barthel 1989)
predicts that in all radio quasars (including ordinary quasars and FSRQs)
the
distributions should be similar. Ordinary quasars, on the other
hand, should have larger viewing angles than blazars (FSRQs and BLOs).
BLOs could also have a different
distribution because their parent population is different than in
quasars. In Fig. 12 we show the Lorentz factors and viewing
angles in a polar plot. It is easy to see that almost all the sources are seen
at a small viewing angle. What must be kept in mind is that our sample
essentially includes the
100 brightest northern compact radio
sources, so this is as expected for Doppler boosting dominated sources.
Although we have divided our quasars into HPQs and LPQs,
they all are FSRQs (or blazars), and we do not see ordinary
quasars with
.
Similarly, all our
BLOs are radio selected BLOs (RBLs) which should have small
viewing angles (Barthel 1989).
In addition, the five GALs in our sample are the most compact and variable
sources of their type. Figure 13 also shows how the sources at
different redshifts are selected due to their Doppler boosting so that
small Doppler boosting factors are not seen at high redshifts. These
caveats must be kept in mind when comparing our different classes of
sources with each other.
![]() |
Figure 12:
Polar plot of Lorentz factors against the viewing angles, excluding the outlier sources 0923+392 and 1730-130. The lower panel shows only the 0 |
Open with DEXTER |
![]() |
Figure 13:
|
Open with DEXTER |
The distribution of
agrees well with unification
schemes for AGN. Padovani & Urry (1992) and Urry et al. (1991) calculated beamed luminosity functions for FSRQs and BLOs, and compared them with
observed luminosity functions, which were assumed to have the same
shape as the intrinsic luminosity function of radio-loud quasars. The validity
of this assumption was recently confirmed by using the maximum likelihood
method to calculate the intrinsic luminosity functions (Liu & Zhang 2007; Cara & Lister 2008).
In Padovani & Urry (1992) the FSRQs were best described with a
distribution of
with an average of
11(using a cosmology with
and q0 = 0).
In our sample all the FSRQs have
and three have
.
The median
is somewhat bigger than the average from the luminosity
functions. In Urry et al. (1991) the BLOs were best described with a distribution
of
with an average of
7. Again we
have only three BLOs with
and one BLO (1823+568, also classified as HPQ) with
.
Our median
is also only
slightly bigger. In addition they made another fit for the BLOs with a
distribution of
which also fit the data
well. In this case only one BLO (1807+698 with
)
would be below the lower limit and
there would be two BLOs with
.
Their calculations also set a value for the critical
viewing angle in which all the FSRQs and BLOs should be seen. For
FSRQs the angle is
,
and all our quasars are within this limit.
For BLOs the critical angle is either
or
depending
on the model. In both cases only one BLO (1807+698 with
,
which is also the nearest BLO in our
sample) would
have a viewing angle outside the limit.
![]() |
Figure 14: Maximum optical polarisation against the viewing angle. |
Open with DEXTER |
As expected with sources with small viewing angles, distributions of
LPQs and HPQs overlap and one should not identify LPQs as ordinary quasars.
In Fig. 14 we show the maximum optical polarisation against
the viewing angle for all the sources for which we could find polarisation
information in the literature (
and its reference for
all the sources are shown in Table 1).
Most of the sources
seem to be within an envelope with
decreasing as
increases. The situation may be similar as in
Seyfert galaxies with an obscuring torus (e.g. Schmitt et al. 2001).
When the viewing angle is small, we can see deeper into the
jet and are more likely to see the source as more optically polarised.
Also, it has been shown that both the optical and the radio
polarisation originate from transverse shocks located very close to the base of
the jet (Lister & Smith 2000).
Therefore the
range of polarisation variability is much higher for sources with a
viewing angle of a few degrees than for sources with
.
In Fig. 14 it is
also possible to see that the definition
for an
object to be classified as highly polarised is somewhat artificial. We
believe that with a larger number of polarisation observations, a considerable
fraction of the LPQ population could, at times, show polarisation
exceeding 3%, as expected from blazar-type AGN.
Since there usually is only
a small number of polarisation observations, the likelihood of observing
high polarisation increases with decreasing viewing angle.
However, as has been pointed out by Lister & Smith (2000),
there is a physical difference between at least some HPQs and
LPQs, especially in the magnetic field structure of their inner jets.
Figure 14 hints that the transition from blazar-type AGN to
ordinary quasars may occur around a viewing angle of 15
to 20
,
presumably corresponding to the half opening angle of an AGN obscuring
torus, and in agreement with, e.g., estimates from luminosity functions and
source counts. As our sample does not contain any ordinary quasars, no
definite conclusions can be drawn.
6 Conclusions
We have decomposed flux curves of 87 sources into exponential flares and using the fits calculated the variability brightness temperature and Doppler boosting factor for each source. In addition we used new MOJAVE observations of apparent jet speeds to calculate the variability Lorentz factors and viewing angles. We have compared our results with LV99, in which the parameters were determined in a similar way. In our new analyses we have used almost 15 years more data and the estimates should be more accurate. Our main conclusions can be summarised as follows.
- 1.
- The variability Doppler boosting factors have remained on the average almost identical compared to LV99. All the quasars are Doppler-boosted and they are in general more boosted than the BLOs or GALs.
- 2.
- The Lorentz factors of our new analyses are about twice as large as in LV99. The difference can be explained with twice as large apparent VLBI speeds in our new analyses. The BLOs have slower jets compared to quasars (
,
and
).
- 3.
- Two sources, 0923+392 and 1730-130, have extreme Lorentz factors (216 and 65, respectively). Either these Lorentz factors are real, or the sources exhibit so rapid flares that the fast variations have remained undetected in the monitoring programmes. We are studying the second possibility with dense observations of 0923+392. A third possibility is that the sources have a structure too complex for our method.
- 4.
- Almost all the sources in our sample are seen in a small viewing
angle of less than 20 degrees (
,
and
).
- 5.
- The viewing angle distribution peaks around
, with a distribution similar to that found in simulations.
- 6.
- Our results generally follow the predictions of basic unification models for AGN. Based on our results, we cannot separate HPQs and LPQs from
each other, and therefore it is well-grounded to treat them as a single
group of FSRQs when the jet parameters are considered.
Acknowledgements
We thank M. Lister and the members of the MOJAVE team for providing data in advance of publication. We acknowledge the support of the Academy of Finland (project numbers 212656 and 210338). This research has made use of data from the MOJAVE (Lister and Homan, 2005, AJ, 130, 1389) and 2 cm Survey (Kellermann et al. 2004, ApJ, 609, 539) programs.
References
- Agudo, I., Bach, U., Krichbaum, T. P., et al. 2007, A&A, 476, L17 [NASA ADS] [CrossRef] [EDP Sciences] (In the text)
- Alberdi, A., Marcaide, J. M., Marscher, A. P., et al. 1993, ApJ, 402, 160 [NASA ADS] [CrossRef]
- Alberdi, A., Gómez, J. L., Marcaide, J. M., Marscher, A. P., & Pérez-Torres, M. A. 2000, A&A, 361, 529 [NASA ADS]
- Angel, J. R. P., & Stockman, H. S. 1980, ARA&A, 18, 321 [NASA ADS] [CrossRef]
- Barthel, P. D. 1989, ApJ, 336, 606 [NASA ADS] [CrossRef]
- Britzen, S., Brinkmann, W., Campbell, R. M., et al. 2007, A&A, 476, 759 [NASA ADS] [CrossRef] [EDP Sciences]
- Britzen, S., Vermeulen, R. C., Campbell, R. M., et al. 2008, A&A, 484, 119 [NASA ADS] [CrossRef] [EDP Sciences]
- Cara, M., & Lister, M. L. 2008, ApJ, 674, 111 [NASA ADS] [CrossRef]
- Cohen, M. H., Lister, M. L., Homan, D. C., et al. 2007, ApJ, 658, 232 [NASA ADS] [CrossRef] (In the text)
- Fey, A. L., Eubanks, M., & Kingham, K. A. 1997, AJ, 114, 2284 [CrossRef]
- Ghisellini, G., Padovani, P., Celotti, A., & Maraschi, L. 1993, ApJ, 407, 65 [NASA ADS] [CrossRef]
- Guerra, E. J., & Daly, R. A. 1997, ApJ, 491, 483 [NASA ADS] [CrossRef]
- Guijosa, A., & Daly, R. A. 1996, ApJ, 461, 600 [NASA ADS] [CrossRef]
- Homan, D. C., Ojha, R., Wardle, J. F. C., et al. 2001, ApJ, 549, 840 [NASA ADS] [CrossRef]
- Homan, D. C., Kovalev, Y. Y., Lister, M. L., et al. 2006, ApJ, 642, L115 [NASA ADS] [CrossRef] (In the text)
- Hovatta, T., Tornikoski, M., Lainela, M., et al. 2007, A&A, 469, 899 [NASA ADS] [CrossRef] [EDP Sciences]
- Hovatta, T., Lehto, H. J., & Tornikoski, M. 2008a, A&A, 488, 897 [NASA ADS] [CrossRef] [EDP Sciences]
- Hovatta, T., Nieppola, E., Tornikoski, M., et al. 2008b, A&A, 485, 51 [NASA ADS] [CrossRef] [EDP Sciences]
- Hughes, P. A., Miller, M. A., & Duncan, G. C. 2002, ApJ, 572, 713 [NASA ADS] [CrossRef] (In the text)
- Impey, C. D., & Tapia, S. 1990, ApJ, 354, 124 [NASA ADS] [CrossRef]
- Impey, C. D., Lawrence, C. R., & Tapia, S. 1991, ApJ, 375, 46 [NASA ADS] [CrossRef]
- Impey, C. D., Bychkov, V., Tapia, S., Gnedin, Y., & Pustilnik, S. 2000, AJ, 119, 1542 [NASA ADS] [CrossRef]
- Jorstad, S. G., Marscher, A. P., Mattox, J. R., et al. 2001, ApJS, 134, 181 [NASA ADS] [CrossRef]
- Jorstad, S. G., Marscher, A. P., Lister, M. L., et al. 2005, AJ, 130, 1418 [NASA ADS] [CrossRef]
- Jorstad, S. G., Marscher, A. P., Stevens, J. A., et al. 2007, AJ, 134, 799 [NASA ADS] [CrossRef]
- Kellermann, K. I., Lister, M. L., Homan, D. C., et al. 2004, ApJ, 609, 539 [NASA ADS] [CrossRef]
- Kovalev, Y. Y., Kellermann, K. I., Lister, M. L., et al. 2005, AJ, 130, 2473 [NASA ADS] [CrossRef] (In the text)
- Lähteenmäki, A., & Valtaoja, E. 1999, ApJ, 521, 493 [CrossRef], LV99 (In the text)
- Lähteenmäki, A., Valtaoja, E., & Wiik, K. 1999, ApJ, 511, 112 [CrossRef]
- Lister, M. L., & Smith, P. S. 2000, ApJ, 541, 66 [NASA ADS] [CrossRef] (In the text)
- Liu, Y., & Zhang, S. N. 2007, ApJ, 667, 724 [NASA ADS] [CrossRef]
- Moore, R. L., & Stockman, H. S. 1984, ApJ, 279, 465 [NASA ADS] [CrossRef]
- Nieppola, E., Tornikoski, M., Lähteenmäki, A., et al. 2007, AJ, 133, 1947 [NASA ADS] [CrossRef] (In the text)
- Padovani, P., & Urry, C. M. 1992, ApJ, 387, 449 [NASA ADS] [CrossRef] (In the text)
- Piner, B. G., Mahmud, M., Fey, A. L., & Gospodinova, K. 2007, AJ, 133, 2357 [NASA ADS] [CrossRef]
- Punsly, B. 1996, ApJ, 473, 152 [NASA ADS] [CrossRef]
- Readhead, A. C. S. 1994, ApJ, 426, 51 [NASA ADS] [CrossRef]
- Salonen, E., Teräsranta, H., Urpo, S., et al. 1987, A&AS, 70, 409 [NASA ADS]
- Savolainen, T., Wiik, K., Valtaoja, E., Jorstad, S. G., & Marscher, A. P. 2002, A&A, 394, 851 [NASA ADS] [CrossRef] [EDP Sciences] (In the text)
- Savolainen, T., Wiik, K., Valtaoja, E., & Tornikoski, M. 2006, A&A, 446, 71 [NASA ADS] [CrossRef] [EDP Sciences] (In the text)
- Schmitt, H. R., Antonucci, R. R. J., Ulvestad, J. S., et al. 2001, ApJ, 555, 663 [NASA ADS] [CrossRef] (In the text)
- Sluse, D., Hutsemékers, D., Lamy, H., Cabanac, R., & Quintana, H. 2005, A&A, 433, 757 [NASA ADS] [CrossRef] [EDP Sciences]
- Smith, P. S., Balonek, T. J., Heckert, P. A., Elston, R., & Schmidt, G. D. 1985, AJ, 90, 1184 [CrossRef]
- Stickel, M., & Kuehr, H. 1994, A&AS, 105, 67 [NASA ADS]
- Taylor, G. B., Vermeulen, R. C., Readhead, A. C. S., et al. 1996, ApJS, 107, 37 [NASA ADS] [CrossRef] (In the text)
- Teräsranta, H., Tornikoski, M., Valtaoja, E., et al. 1992, A&AS, 94, 121 [NASA ADS]
- Teräsranta, H., Tornikoski, M., Mujunen, A., et al. 1998, A&AS, 132, 305 [NASA ADS] [CrossRef] [EDP Sciences]
- Teräsranta, H., Achren, J., Hanski, M., et al. 2004, A&A, 427, 769 [NASA ADS] [CrossRef] [EDP Sciences]
- Teräsranta, H., Wiren, S., Koivisto, P., Saarinen, V., & Hovatta, T. 2005, A&A, 440, 409 [NASA ADS] [CrossRef] [EDP Sciences]
- Urry, C. M., & Padovani, P. 1995, PASP, 107, 803 [NASA ADS] [CrossRef]
- Urry, C. M., Padovani, P., & Stickel, M. 1991, ApJ, 382, 501 [NASA ADS] [CrossRef] (In the text)
- Valtaoja, E., Lähteenmäki, A., Teräsranta, H., & Lainela, M. 1999, ApJS, 120, 95 [CrossRef] (In the text)
- Vermeulen, R. C., & Cohen, M. H. 1994, ApJ, 430, 467 [NASA ADS] [CrossRef] (In the text)
- Véron-Cetty, M.-P., & Véron, P. 2006, A&A, 455, 773 [NASA ADS] [CrossRef] [EDP Sciences] (In the text)
- Wills, B. J., Wills, D., Breger, M., Antonucci, R. R. J., & Barvainis, R. 1992, ApJ, 398, 454 [NASA ADS] [CrossRef]
- Wright, E. L. 2006, PASP, 118, 1711 [NASA ADS] [CrossRef] (In the text)
Footnotes
- ... MOJAVE
- http://www.physics.purdue.edu/MOJAVE/
- ... Wright
- http://www.astro.ucla.edu/~wright/CosmoCalc.html
- ...
Windows
- http://www.unistat.com/
All Tables
Table 1: Doppler boosting factors, Lorentz factor and viewing angles for all sources.
Table 2:
Median values of
and
.
Table 3:
Median values of
and
.
All Figures
![]() |
Figure 1: Flux curve of the HPQ source 1156+295 (points) decomposed into exponential flares (solid line) at 22 GHz. |
Open with DEXTER | |
In the text |
![]() |
Figure 2:
Distribution of
|
Open with DEXTER | |
In the text |
![]() |
Figure 3:
Distribution of
|
Open with DEXTER | |
In the text |
![]() |
Figure 4:
Correlation between the
|
Open with DEXTER | |
In the text |
![]() |
Figure 5:
Correlation between the
|
Open with DEXTER | |
In the text |
![]() |
Figure 6:
Correlation between |
Open with DEXTER | |
In the text |
![]() |
Figure 7:
Distribution of
|
Open with DEXTER | |
In the text |
![]() |
Figure 8:
Distribution of
|
Open with DEXTER | |
In the text |
![]() |
Figure 9: Correlation between Lorentz factors from LV99 and the new values (excluding the outlier source 0923+392 with a Lorentz factor of 216 in the new analysis). |
Open with DEXTER | |
In the text |
![]() |
Figure 10:
Observable quantities
|
Open with DEXTER | |
In the text |
![]() |
Figure 11:
Distribution of
|
Open with DEXTER | |
In the text |
![]() |
Figure 12:
Polar plot of Lorentz factors against the viewing angles, excluding the outlier sources 0923+392 and 1730-130. The lower panel shows only the 0 |
Open with DEXTER | |
In the text |
![]() |
Figure 13:
|
Open with DEXTER | |
In the text |
![]() |
Figure 14: Maximum optical polarisation against the viewing angle. |
Open with DEXTER | |
In the text |
Copyright ESO 2009
Current usage metrics show cumulative count of Article Views (full-text article views including HTML views, PDF and ePub downloads, according to the available data) and Abstracts Views on Vision4Press platform.
Data correspond to usage on the plateform after 2015. The current usage metrics is available 48-96 hours after online publication and is updated daily on week days.
Initial download of the metrics may take a while.