| Issue |
A&A
Volume 494, Number 2, February I 2009
|
|
|---|---|---|
| Page(s) | 611 - 622 | |
| Section | Interstellar and circumstellar matter | |
| DOI | https://doi.org/10.1051/0004-6361:20078912 | |
| Published online | 27 October 2008 | |
WSRT Faraday tomography of the Galactic ISM at
m
I. The GEMINI data set at (l, b) = (181
,
20
)
D. H. F. M. Schnitzeler1,2 - P. Katgert1 - A. G. de Bruyn3,4
1 - Leiden Observatory, Leiden University, PO Box 9513, 2300 RA Leiden, The Netherlands
2 -
Australia Telescope National Facility, CSIRO, Marsfield, NSW 2122, Australia
3 -
ASTRON, PO Box 2, 7990 AA Dwingeloo, The Netherlands
4 -
Kapteyn Institute, PO Box 800, 9700 AV Groningen, The Netherlands
Received 24 October 2007 / Accepted 3 October 2008
Abstract
Aims. We investigate the properties of the Galactic ISM by applying Faraday tomography to a radio polarization data set in the direction of the Galactic anti-centre.
Methods. We address the problem of missing large-scale structure in our data, and show that this does not play an important role for the results we present.
Results. The main peak of the Faraday depth spectra in our data set is not measurably resolved for about 8% of the lines of sight. An unresolved peak indicates a separation between the regions with Faraday rotation and synchrotron emission. However, cosmic rays pervade the ISM, and synchrotron emission would therefore also be produced where there is Faraday rotation. We suggest that the orientation of the magnetic field can separate the two effects. By modelling the thermal electron contribution to the Faraday depth, we map the strength of the magnetic field component along the line of sight. Polarized point sources in our data set have rotation measures that are comparable to the Faraday depths of the diffuse emission in our data. Our Faraday depth maps show narrow canals of low polarized intensity. We conclude that depolarization over the telescope beam produces at least some of these canals. Finally, we investigate the properties of one conspicuous region in this data set and argue that it is created by a decrease in line-of-sight depolarization compared to its surroundings.
Key words: magnetic fields - radio continuum: ISM - ISM: magnetic fields - techniques: polarimetric - polarization
1 Introduction
Faraday rotation, the rotation of the plane of linear polarization due to the birefringence of a magneto-ionic medium, provides a powerful tool for exploring the magnetic universe, complementing effects such as Zeeman splitting and the alignment of ellipsoidal dust grains perpendicular to magnetic field lines. From external galaxies we have learnt about the global structure of the magnetic field, about its alignment with the galactic spiral arms, and of the importance of the magnetic pressure in ISM dynamics, which is comparable to the thermal pressure in the cold and warm neutral phases of the ISM (see Beck 2007a,b).
In the Milky Way, rotation measures of pulsars, combined with dispersion measures, yield a rather complicated picture of the large-scale Galactic magnetic field, with evidence for several field reversals (see e.g. Han et al. 2006). Rotation measures of extragalactic sources from the International Galactic Plane Survey (IGPS) indicate a simpler structure of the large-scale field, without much evidence for many field reversals (Brown et al. 2007).
Studies of Faraday rotation of the diffuse Galactic ISM offer a big advantage over other investigations based on pulsars and extragalactic sources, which is that the diffuse emission is visible in all directions. This has been spectacularly demonstrated by the 1.41 GHz survey carried out with the DRAO 26 m telescope by Wolleben et al. (2006). A milestone in this type of work is the polarization survey by Brouw & Spoelstra in the late 1970s (1976; Spoelstra 1984), which has the largest sky coverage in rotation measures of the diffuse emission to date. Since the 1990s interferometric studies at low frequencies have led to new insights in e.g. the properties of the ISM on small scales, and on turbulence in the Galactic ISM (Wieringa et al. 1993; Haverkorn et al. 2004, 2006).
Recently, a method called Faraday tomography has been developed with which one can study the relative distribution of synchrotron-emitting and Faraday-rotating regions along the line of sight (see Brentjens & De Bruyn 2005). Application of this technique for studying the Galactic ISM is a very new field of research, and not much literature is available on this subject. In Schnitzeler et al. (2007b) we discussed a low-frequency data set that covers
in the direction of (l,b) = (181
, 20
), that we obtained with the WSRT. We concluded that many lines of sight contain at least one Faraday screen, a region in which Faraday rotation and synchrotron emission are not mixed. This result appears counterintuitive, since one would expect synchrotron-emitting cosmic rays to be present everywhere there are magnetic fields. In this paper we present the full analysis of this data set.
Faraday tomography promises to become an interesting and exciting way to investigate the Galactic ISM that will become more and more available in the near future, with the advent of new surveys and radio telescopes that combine high spatial resolution with high frequency resolution, like the GALFACTS survey that is carried out with the Arecibo telescope (Taylor 2004), the LOFAR array (Röttgering et al. 2006), and the MWA SKA-precursor (Bowman et al. 2006). A better understanding of the Galactic foreground will also be useful for studies of the cosmic microwave background.
This paper is the first in a series of articles in which we discuss different regions in the second Galactic quadrant. Here we discuss some of the observational features that we encounter, and we extend some of the techniques that have been used to study the diffuse Galactic ISM with a relatively small number of frequency channels to the many-channel regime. First, we give a short overview of Faraday tomography in Sect. 2, and we illustrate its potential with a couple of examples. In Sect. 3 we discuss the observational characteristics of the GEMINI data set, and in Sect. 4 we present the GEMINI data. We show that Faraday modulation in the foreground can convert polarized emission on large angular scales to smaller angular scales that can be picked up by an interferometer that has no short baselines. We derive the magnetic field strengths implied by the observed Faraday depths of the diffuse emission in Sect. 5, and in Sect. 6 we compare the Faraday depths we derive for the GEMINI data set with the rotation measures that we find for polarized point sources. One conspicuous feature in the GEMINI data are the dark canals in the maps at constant Faraday depth, and we investigate their origin in Sect. 7. In Sect. 8 we present an explanation for a large and bright polarized region in our data set.
2 Notes on Faraday tomography
2.1 Faraday tomography
The wide coverage in
space of our data (from 0.6 m
m2), combined with the relatively small channelwidth (
10-3 m2), allows us to do Faraday tomography, also known as Rotation Measure Synthesis (see e.g. Brentjens & De Bruyn 2005). In this section we introduce the
concept of Faraday tomography, and we illustrate how it can be used to study the properties and the relative distribution of regions with Faraday rotation and synchrotron emission along the line of sight.
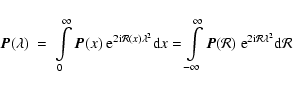
The observed Stokes parameters
and
are the 2 orthogonal components of the polarization vector
=
.
is the vector sum of all polarization vectors that are emitted along the line of sight and that are Faraday rotated in the ISM between the point of emission and the observer:
where the first integral is over physical distance ``x'', and the Faraday depth of point ``x''
measures the total amount of Faraday rotation between the point of emission ``x'' and the observer. In the second integral of Eq. (1) we have replaced the integral over physical distance by an integral over Faraday depth. If there is a one-to-one correspondence between ``x'' and
where
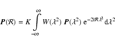
produces the correct normalization for
The complex polarization vector
can be written in terms of the observed polarized intensity
and polarization angle
as
.
Similarly,
,
where
is the intensity of the polarized emission at Faraday depth
,
and
is the orientation of the
electric field vector of the synchrotron radiation emitted at Faraday depth
,
which is perpendicular to the local direction of the magnetic field at that Faraday depth. A Faraday depth spectrum (or
spectrum) can be constructed by calculating
and
for many
values.
The Fourier-transform nature of Eq. (3) implies that it shares some characteristics with other Fourier-transform based methods like radio interferometry. Equations (61) to (63) from Brentjens & De Bruyn (2005) describe this behaviour quantitatively, and for convenience we reproduce these equations here. We assume here that the observations uniformly span the
range from
to
with weight 1, and with weight 0 outside this range.
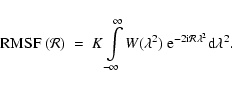
The finite extent in the
coverage of the data introduces an instrumental response along the
axis, known as the RMSF (Rotation Measure Spread Function), with which the
spectrum is convolved. The shape of the (normalised) RMSF is given by
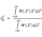
The FWHM of the RMSF depends on the total range in
We replaced the factor of
In general the observations will not cover all wavelengths down to 0 m2, which means that
-extended structures will be missing from the
spectra. This is similar to the missing large-scale structure problem interferometers suffer from when observing extended emission. If the source has a Gaussian
distribution along the line of sight, Brentjens & De Bruyn calculate that in the reconstructed
spectrum
scales larger than
are suppressed by more than 50% by the missing short wavelengths.
Analogous to how in an interferometer the size of the individual dishes sets the field of view, the channelwidth expressed in
,
,
determines the
for which the sensitivity has dropped to 50% due to smearing of the polarization angles over individual channels,
:
Also in this equation we replaced the
The addition of polarization vectors originating at different distances along the line of sight in general leads to depolarization, either because the vectors are emitted with different orientations
and/or because different amounts of Faraday rotation induce misalignment of the polarization vectors. Faraday tomography can separate the emission coming from subregions with different
along the line of sight, thereby reducing the influence of these sources of depolarization.
![]() |
Figure 1:
|
| Open with DEXTER | |
Brentjens & De Bruyn (2005) note that one can also derotate the polarization angles of
to
.
In that case the
in the complex exponentials of Eqs. (3) and (5) are replaced by (
). Brentjens & De Bruyn showed that derotating to the weighted average of the observed
,
![]() |
(9) |
minimises the polarization angle variation over the main peak of the RMSF. However, now the polarization angle at the peak of the RMSF at Faraday depth
![]() |
(10) |
We derotated the polarization angles in the bottom panels of Figs. 1 and 2 in this way.
2.2 Examples
We illustrate for a number of geometries of synchrotron-emitting and Faraday-rotating regions the resulting
and
,
as well as the
that is
reconstructed from the observations.
First, consider the case where there is only one infinitely thin source of emission along the line of sight, at Faraday depth
:
=
,
where
is the Dirac delta function. Then
=
:
the
are identical for all observing wavelengths
,
where we assumed that the synchrotron emission has a spectral index of 0. As Brentjens & De Bruyn (2005) have discussed, a non-zero spectral index introduces only a distortion in the RMSF away from the main peak.
depends linearly on
,
and since the rotation measure RM
,
RM =
in this case.
The
spectrum that is reconstructed from the observed
and
is identical to the original
spectrum, convolved with the RMSF. The situation described in this paragraph occurs in our data: in Fig. 1 we show the measured
and reconstructed
spectra for a line of sight with an essentially unresolved
spectrum.
Next, consider the case where there are two peaks of height
and
at Faraday depths
and
.
In this case
=
.
This configuration produces a beat in
,
because the 2 polarization vectors of length
and
rotate at different speeds
and
in the Stokes (Q, U) plane. Note that
no longer depends linearly on
,
which means that RM will not be constant. The
spectrum that is reconstructed from the observed
will show the sum of 2
-functions convolved with the RMSF. The peaks in the reconstructed
spectrum will not lie at exactly
and
,
because the presence of the other peak will influence the shape of both peaks. Therefore, since
is derived for the Faraday depth of the peak in the reconstructed
spectrum, the derived
will not be the intrinsic position angle of the electric field of the emitted synchrotron radiation. When a polarized extragalactic point source is producing one of the 2 peaks, and the diffuse Galactic emission produces the second peak, the
of the linear fit of
versus
will be very high. In Fig. 2 we illustrate this case. The peak at
= -28 rad/m2 is produced by an extragalactic source, and the region around
= +5 rad/m2 is produced by Galactic emission in the foreground, as we established by comparing this line of sight to adjacent lines of sight, where the extragalactic source is not present.
![]() |
Figure 2:
Identical to Fig. 1, but for a line of sight towards a polarized extragalactic source that also contains diffuse Galactic emission. The
|
| Open with DEXTER | |
The previous two examples dealt with infinitely thin emission regions. If the emission region has a finite depth, but is not mixed with Faraday-rotating ISM, the results we discussed in the previous
sections still hold. However, if the emitting and Faraday-rotating regions are mixed, the
distribution along the line of sight will no longer be a
-function, and the reconstructed
spectrum will be wider than the width of the RMSF. If the synchrotron-emitting and Faraday-rotating regions are fully mixed, and if the emissivity
and the amount of Faraday rotation per parsec are independent of the position along the line of sight, then
where
It is important to realise that for a general distribution of emitting and Faraday-rotating regions, only those structures show up in the
spectrum that illuminate a column of Faraday-rotating ISM from the back. If Faraday rotation occurs also at larger distances, but is not illuminated from the back by synchrotron emission, this will not appear in the
spectrum.
3 The data
Table 1:
Characteristics of the GEMINI data set. Observing dates
and times are given for each of the 12 h observing runs, which have been indicated by their shortest baseline length. We calculated the conversion factor between mJy/beam and K at 345 MHz, the average of the
sampling of the (usable) frequency channels in our data set.
The present data set was obtained with the WSRT, a 14-element E-W interferometer of which 4 elements are moveable to improve (u,v) coverage. Each of the telescope dishes is 25 m in diameter. The
central coordinates of the region we study (in the constellation Gemini) are
=
and
= 36
24
(J2000.0), which is
and
in Galactic coordinates. The GEMINI region was observed in 6 12 h observing runs in December 2002 and January 2003 (see Table 1). This yielded visibilities at baselines from 36 to 2760 m, with an increment of 12 m. We tapered the individual frequency channel maps in such a way that the synthesized beamsize for all maps is that of the 385 MHz beam of 2.76
4.70
(RA
DEC). Combining the 6 12 h observing runs puts the first grating ring at 4.1
(at 350 MHz) from the pointing centre, outside the 3
3
area that we mapped for each individual pointing.
We mapped an area of about 9
9
with a 7
7 pointing mosaic. In each night the same field was observed about 16 times, resulting in visibilities on 16 ``spokes'' in the (u,v) plane, each time integrating for 40 s before moving to the next field. The 1.2
distance between pointing centres suppresses off-axis instrumental polarization to less than 1% (Wieringa et al. 1993). In our analysis we leave out the edges of the mosaic where instrumental polarization effects are not suppressed by mosaicking.
The observations cover the frequency range between 324 and 387 MHz. 202 independent spectral channels are usable from a maximum of 224, each channel being 0.4 MHz wide (where we used a Hamming taper). 10 channels were flagged because Stokes V was contaminated by radio frequency interference, and one channel was manually flagged in all 6 12 h runs.
The data were reduced using the NEWSTAR data reduction package. Dipole gains and phases and leakage corrections were determined using the unpolarized calibrators 3C48, 3C147 and 3C295. The flux scales of both unpolarized and polarized calibrators are set by the calibrated flux of 3C286 (26.93 Jy at 325 MHz - Baars et al. 1977). Due to an a priori unknown phase offset between the horizontal and vertical dipoles, signal can leak from Stokes U into Stokes V. We corrected for this by rotating the polarization vector in the Stokes (U, V) plane back to the U axis, assuming that there is no signal in V. The polarized calibrator sources 3C345 and DA240 defined the sense of derotation (i.e. to the positive or negative U-axis). Special care was taken to avoid automatic flagging of real signal on the shortest baselines. From Stokes V, which we assume to be empty, we estimate that the average noise level in the mosaics of the individual channels is 6.2 mJy (2.0 K). Instrumental polarization increases towards the edges of the maps, therefore we excluded these regions in determining the noise level.
These observations were carried out in the evening and at night to limit solar interference and to reduce the importance of ionospheric RM variations. From 2 lines of sight with a strong polarized signal we estimate that the amounts of ionospheric Faraday rotation in the 6 nights are identical to within
10
,
so we did not correct for this. Ionosphere models indicate that the ionospheric contribution to RM during the observing nights was only 0.6 rad/m2(Johnston-Hollitt, private communication).
An interferometer will not cover all baseline lengths down to 0 m, which means that maps of the sky that were made using an interferometer will miss structure on large angular scales. We will return to this point in Sect. 4.2.
4 Analysis
4.1 The
datacube
We calculated
maps of the sky for Faraday depths from -1000 rad/m2 to +998 rad/m2 in steps of 6 rad/m2. As the width of the RMSF along the
axis of the datacube is about 12 radians/m2 for our data set, this gives Nyquist sampling in Faraday depth. Due to the finite channelwidth of the data, the sensitivity of the
spectra will drop at large
,
as described by Eq. (8). This becomes important for
1250 rad/m2.
![]() |
Figure 3:
Slices through the
|
| Open with DEXTER | |
In Fig. 3 we show slices through our
datacube that show strong Galactic emission. All of the images saturate at 6.4 K. In Figs. 4 and 5 we summarise the information in the
datacube by plotting for each line of sight the maximum
along that line of sight, and the
at which this maximum occurs. We only plotted lines of sight where the main peak is more than twice as high as the second highest peak. From these figures it is clear that the majority of the lines of sight satisfies this condition. Because we treated the data in a slightly different way from what we described in Schnitzeler et al. (2007b), there are some minor differences with the corresponding figures in that paper. From the
maps at
rad/m2 we estimate that the noise level in the
slices is 0.5 mJy (0.14 K).
The complexity of a line of sight depends on whether the main peak is resolved, and on how strong second and higher-order peaks are. The
criterion that we introduced in Schnitzeler et al. (2007b) can be used to address the issue of resolution. We defined
as the root-mean-square vertical separation in the
spectrum between the main peak in the
spectrum and the best-fitting RMSF, and we compare the observed
to the distribution of
that we simulated for an input signal of the appropriate strength + noise. In Fig. 6 we plot the lines of sight that have an unresolved main peak as green pixels. ``Unresolved'' means that the
value of the main peak is
the
that we found for 99% of our simulations of signal + noise (
the 3
level of the Rayleigh distribution).
Lines of sight with linear
relations have special geometries of Faraday-rotating and synchrotron-emitting regions, as discussed in Sect. 2. We therefore fitted a straight line to our
datapoints, where we included the periodicity of the data by using the procedure described in Schnitzeler et al. (2007b). Lines of sight with
< 2 are indicated in Fig. 6 as yellow pixels, and lines of sight that have both a not measurably resolved main peak and a low
are indicated as red pixels. Since many lines of sight have a low
,
but a high
,
there are many yellow pixels, but relatively few red pixels.
We simulated the
response from the main peak plus noise by calculating the Fourier transform from Eq. (3) for an input signal of a given strength + the noise levels that we derived from the Stokes V maps of the individual frequency channels. We assume that the Stokes V maps contain no signal. We ran our simulations for a grid of input signal strengths, that was matched to the strengths of the main peak in the
spectra that we encountered in the data. In this way we calculated for each
in the spectrum the level below which 99% of the RMSF plus noise simulations lie.
The main peak in the
spectrum is not measurably resolved for about 8% of the lines of sight in the current data set, in the sense that its value of
is lower than the
that we find for 99% of our simulations of a RMSF + noise. This value is lower than the 14% quoted in Schnitzeler et al. (2007b). This difference might be produced because we now use frequency channel maps that all have been tapered to the same beamsize. A not measurably resolved peak means that a Faraday-rotating region is physically separated from a region with synchrotron emission; mixing of the 2 regions produces broad peaks in the
spectrum. Since we only tested the main peak in our
spectra, and no other features in the
spectra, emission regions with a Faraday screen in front of them will be even more numerous than in 8% of the lines of sight. RFI and calibration errors can only increase
,
which is another reason why there are probably more Faraday screens present in the ISM.
Intuitively one would not expect such a separation between the emitting and Faraday-rotating regions along the line of sight: cosmic rays that produce synchrotron radiation are expected to be present wherever there is a magnetic field. Therefore one possibility could be that we simply do not see the synchrotron emission because the full magnetic field vector is pointing along the line of sight. The magnetic field component perpendicular to the line of sight, which determines the synchrotron emissivity, is in that case 0. Such a region would from our point of view then only produce Faraday rotation. Even though the strengths of the magnetic field component along the line of sight that we determine in Sect. 5 are low, these are averages over the line of sight, and they are biased towards regions where the thermal (i.e. 104 K) electron density is higher.
The majority of lines of sight in our data have a secondary peak that is higher than what would be expected for one in 104 noise realisations. However, the main peak is typically more than twice as high as the secondary peak, and thus dominates most of the lines of sight in the GEMINI region. This makes these lines of sight relatively simple, and we did not deconvolve the
spectra. The reason why these lines of sight are not very complex could be because we are looking in the direction of the Galactic anti-centre, at an intermediate Galactic latitude.
![]() |
Figure 4:
|
| Open with DEXTER | |
![]() |
Figure 5:
|
| Open with DEXTER | |
![]() |
Figure 6:
Distribution of independent lines of sight with a main peak
that satisfies the |
| Open with DEXTER | |
4.2 Missing large-scale structure
Structure on large angular scales is missing from interferometric observations if information on short baselines is not available. Differences in Faraday rotation in between the source of the polarized emission and the observer can for neighbouring lines of sight ``transfer'' polarized signal from large angular scales to small enough angular scales so that it can be picked up by the interferometer. Since this effect does not operate on Stokes I, this is the canonical explanation why structure in polarized intensity does not appear to have a counterpart in total intensity. In this section we expand on this idea, and we show that modulation by a linear gradient in Faraday depth
shifts the angular frequency spectrum as a whole.
For a linear variation of
with position l (i.e. a fixed gradient
), and wavelength
,
this modulation of the polarization vector
can be expressed as
![]() |
(12) |
where subscripts ``em'' and ``obs'' refer to the emission before and after it gets modulated by the foreground gradient in
One consequence of this is that foreground Faraday modulation makes the 0-angular frequency from
The direction of the shift in Eq. (14) is set by the sign of
.
Since the WSRT only measures one half of the (u,v)-plane, this means that the angular frequency spectrum could move away from the measurement points in the (u,v)-plane. However,
,
and since
and
are real quantities, their Fourier transforms are hermitian. The gradient from Eq. (14) always moves both the positive and the negative angular frequencies of
and
towards or away from the origin in the (u,v)-plane. Therefore,
can be reconstructed even if only one half of the (u,v)-plane is observed.
Note that foreground Faraday modulation shifts some angular frequencies from
towards smaller (in an absolute sense) angular frequencies. At some point these angular frequencies from
will no longer be visible for an interferometer, because it can only measure visibilities from a certain shortest baseline. For the analysis that we present in the remainder of this article it is sufficient that our data contain the total polarized intensity component of
.
Single-dish observations are therefore still required to produce maps that contain all angular frequencies.
If Faraday rotation in the foreground produces strong variations in
over the telescope beam, then this will also lead to beam depolarization. For a Gaussian beam, a gradient of more than 12 radians/m2/field of view is required to give more than 10% beam depolarization (Sokoloff et al. 1998), and such steep gradients are not observed in the GEMINI data.
As a final note in this section, we showed in Schnitzeler et al. (2007a) that the polarization angle gradients in the WENSS data in the region 130
< l < 170
,
-5
< b < 30
are on average about 2 radians/m2/
along Galactic latitude, which translates into the 6 radians/m2/field of view required to shift the angular frequency spectrum towards observable frequencies. These WENSS gradients therefore also show at least the total polarized intensity component of the angular frequency spectrum.
5 The line-of-sight component of the large-scale magnetic field
In this section we derive the strength of the magnetic field component along the line of sight,
.
We use the Faraday depths from Fig. 5, and we determine the contribution from thermal electrons to
(Eq. (2)) by converting H
intensities from the WHAM survey (Haffner et al. 2003) first to emission measures EM =
,
and then to dispersion measures DM =
,
using an empirical relation between EM and DM that Berkhuijsen et al. (2006) derived for Galactic pulsars. The integrals for EM and DM are over the entire line of sight, [EM] = cm-6 pc, [DM] = cm-3 pc,
= cm-3 and [dl] = pc.
To estimate DM, we could also have used the electron density models by Reynolds (1991) or by Cordes & Lazio (2003) as alternatives to the relation between EM and DM that Berkhuijsen et al. derived. In the Reynolds model, 40% of the line of sight contains free electrons, at a density of 0.08 cm-3, and there are no free electrons in the remainder of the line of sight. Cordes & Lazio fitted a smooth electron density model consisting of a thin and thick disc + spiral arms to the DM measured for about 1200 Galactic pulsars and 100 extragalactic sources. Small-scale structure in the Galactic ISM is included in their model as a list of local clumps and voids. Berkhuijsen et al. used DM measured for a sample of 157 pulsars, and accurately determined the EM between us and the pulsar by correcting for the EM that is produced beyond the pulsar, and for reddening occurring in front of the pulsar. By combining Berkhuijsen et al.'s statistical description of the ISM with the WHAM H
intensities that are measured on a ![]()
grid, we can more accurately determine DM in specific directions than is possible with the models by Reynolds or by Cordes & Lazio.
Significant numbers of free electrons are present in both the warm ionized medium (WIM) and hot intercloud medium (HIM) phases of the ISM. Snowden et al. (1997) modelled the Galactic X-ray halo from ROSAT diffuse X-ray background maps. Their model consists of a cylindrical bulge of radius 5.6 kpc, with a HIM electron density that decays exponentially away from the Galactic midplane. The HIM electron density in their model is in the Galactic midplane a factor of 10 smaller than the average WIM electron density (3.5
10
compared to
3
). If we assume that the HIM electron densities in the outer Galaxy (in the direction of GEMINI) are comparable to the densities in the inner Galaxy, then the DM produced in the HIM is small compared to the DM of the WIM, and we therefore neglected the former.
In the top panel of Fig. 7 we plot the H
intensities (in Rayleigh) for WHAM lines of sight in the GEMINI region. To convert the H
intensities to EM, we use Eq. (1) from Haffner et al. (1998):
T4 is the temperature of the WIM gas in units of 104 K, which is typically 0.8 (Reynolds 1985).
The 157 pulsars with
in the sample by Berkhuijsen et al. follow the relation
With the
where
![]() |
Figure 7:
WHAM H |
| Open with DEXTER | |
An upper limit for
can be estimated by using a pitch angle of 8
and a strength of 4
G for the large-scale magnetic field (both values from Beck 2007a), which gives
G. In the presence of a random magnetic field,
approaches the
component of the regular field if either the reversals in the direction of the random field are unimportant, or if the line of sight is long enough so that the contributions to
from such small-scale reversals cancel each other along the line of sight. As discussed in Haverkorn et al. (2004), the random magnetic field has a correlation length of order 10 parsec. Shortly we will estimate that the length of the line of sight through ionized regions in the direction of GEMINI is of the order of 130 parsec. The number of ``draws'' of the random field is therefore small, which means that the random magnetic field will have a non-negligible contribution (compared to the large-scale field) to the
that we derive. The
in the bottom panel of Fig. 7 already show that the
in GEMINI vary much more than what we would expect on the basis of the large-scale magnetic field alone.
The
in the bottom panel of Fig. 7 are smaller than or comparable to the
that we estimated. The
we derive are small, which can be expected since we are looking in the direction of the Galactic anti-centre, where the regular magnetic field is mostly perpendicular to the line of sight. It is clear from the bottom panel in Fig. 7 that variations in EM alone are not enough to explain the measured variation in
,
but that variations in
are required as well. Further support for this is given by the fact that
in Fig. 5 changes sign in the area covered by the GEMINI data, which can only be explained by a change in the direction of
.
The
structure in Fig. 5 is not associated with any of the 3 largest non-thermal loops in the Galaxy, the North Polar Spur, Cetus Arc and Loop III. The locations of these structures are described in Elliott (1970).
Berkhuijsen et al. also constructed a model of the electron density distribution along the line of sight, that we can use to estimate the length of the line of sight that produces the observed EM. Similar to the model by Reynolds (1991), their model consists of cells that are empty or filled with a constant electron density. Contrary to the Reynolds model, the electron density of the filled cells (``clouds''),
,
is allowed to vary between lines of sight:
![]() |
(18) |
where we used Eq. (16). Berkhuijsen et al. found that the filling factor f of electron clouds depends inversely on the electron density in the clouds:
![]() |
(19) |
E(B-V) = 0.071 mag for (
6 Polarized point sources
Since the line of sight towards extragalactic sources passes through the entire Milky Way, whereas different depolarization effects can limit the line of sight of the diffuse emission, the information we obtain from the
of extragalactic sources can complement what we learn from the diffuse emission. However, extragalactic sources will also have an intrinsic
.
To find polarized point sources, we first made maps that only contain baselines >250 m, to filter out the strong diffuse emission from our
datacube. These maps use a Gaussian taper that reaches a value of 0.25 at a baseline length of 2500 m. We then Fourier transformed these channel maps from
space to
space, and constructed
maps from
= -1000 rad/m2 to
= +998 rad/m2, in a way identical to what we described in Sect. 4.1.
The polarized intensity of an extragalactic source with rotation measure RM will be attenuated by bandwidth depolarization according to sinc(|RM
), if the polarization angle varies linearly with
.
Here
is the
width of the frequency channels. The channels that we use have on average a
1.5
10-3 m2, therefore bandwidth depolarization of a point source with
= 1000 rad/m2 will reduce the signal to 66%, which would still be detectable.
We looked for each line of sight in the
datacube if 1) there was a Stokes I counterpart brighter than 150 mJy; 2) if the maximum
along the line of sight was more than a 5
detection; and 3) if the ratio of the maximum
along the line of sight/ total intensity I was larger than 0.02, meaning that this source is more than 2% polarized (the instrumental polarization level is about 1%). We also exclude sources with
4 rad/m2 because instrumentally polarized point sources will show up in the
datacube at 0 rad/m2, and the finite width of the RMSF along the
axis will produce a strong signal also in the vicinity of 0 rad/m2. Furthermore we excluded a region of about 0.9
from the edge of the mosaic, where there is no overlap between pointings, and instrumental polarization levels are therefore much higher there. We then fitted a RM to the
distribution of the sources that satisfy these criteria in the way described in Schnitzeler et al. (2007b).
In Table 2 we list the properties of the sources that we found, and we plot the RM of these sources in Fig. 8. The low
of the RM fits indicate that there is only one
component along the
axis, and that we have effectively filtered out the diffuse Galactic contribution to the
spectrum. This, in combination with the fact that these sources are detected in maps where we left out low angular frequencies on the sky, means that the sources that we detected are compact in all 3 dimensions of the
cube, and are therefore likely to be either polarized pulsars or polarized extragalactic sources. Since the surface density of the latter is so much higher than that of the former, the sources that we detected are probably extragalactic in origin.
Most of the sources in the upper left quadrant of Fig. 8 show positive RMs of
5-15 rad/m2, which is similar to the Faraday depths of the diffuse emission from Fig. 5. In other regions the source density is insufficient to reach definite conclusions. The RM that we observe for an extragalactic source is the combination of a Galactic RM and a RM that is intrinsic to the source. However, since a number of sources show the same RM, and since the intrinsic RM of these sources are uncorrelated, what we see is probably mostly the Galactic RM contribution for the entire line of sight through the Galaxy.
Table 2:
Properties of the polarized point sources we found in our data. Shown are the equatorial coordinates (J2000.0) of the source in decimal degrees, the RM that we fitted and its error (both in rad/m2), the reduced
(
)
of the fit, the maximum
along the line of sight and the total intensity I (both in mJy), and the polarization fraction (in %).
![]() |
Figure 8:
RM distribution for the polarized point sources from Table 2. The size of the circles is proportional to RM, shown in the scale on top of the figure in units of radians/m2. Black circles indicate negative RM, and white circles indicate positive RM. |RM|
|
| Open with DEXTER | |
7 Depolarization canals in P
maps
Dark, narrow channels (``canals'') can be clearly seen in the images of Fig. 3. Canals have been known to exist in
images (e.g. Haverkorn et al. 2000), but, as far as we know, canals in
maps have only been mentioned by De Bruyn et al. (2006).
In Fig. 9 we show slices through the
cube that have particularly strong depolarization canals. It appears from this figure that the canals essentially are not changing position with changing
.
This is demonstrated by the reference crosses that we positioned on three canals in this figure. In the first and second rows of Fig. 10 we plot the
(left column) and
(right column) spectra for the two canal pixels from the top row of Fig. 9 (``CH 1'' and ``CH 2'' respectively). In the bottom row of Fig. 10 we plot the spectra for the canal pixel in the bottom row of Fig. 9.
In Fig. 10 we also plot the
and
spectra for 2 lines of sight that lie on either side of the central canal pixel, at half a (synthesized) beamwidth away. These adjacent lines of sight share pixels with the line of sight that is centred on the canal pixel, and with these lines of sight we can investigate the nature of the canal pixels.
The
spectra of the neighbouring lines of sight were unwrapped by fitting a straight line to the polarization angles by hand. As a first guess for the slope of this line, we used the
at which the
of the neighbouring lines of sight is high. Furthermore we required that for each line of sight the difference in polarization angle between the successive (plotted) wavelength2 channels must be smaller than 90
.
The difference in
for lines of sight adjacent to the canal pixels is large, often even almost 90
,
averaged over the available
.
Also, the polarized brightness temperature of the 2 neighbouring lines of sight of each canal pixel are on average comparable. These 2 facts combined indicates that beam depolarization, i.e. summing polarization vectors with similar lengths but different orientations over the (synthesized) telescope beam, is an important factor in creating canals in the
maps. In Haverkorn et al. (2000) the same mechanism was identified to be producing canals in
maps. Line-of-sight depolarization, occurring for example as the nulls in Eq. (11), produces canals only at certain wavelength2. Shukurov & Berkhuijsen (2003) suggested that this mechanism is producing canals that are seen towards M 31. This type of canal is characterised as extended along the
axis of the
cube, contrary to the properties of the canal pixels we present here.
![]() |
Figure 9:
Depolarization canals in the
|
| Open with DEXTER | |
![]() |
Figure 10:
Polarized brightness temperature
|
| Open with DEXTER | |
8 The area around (l, b) = (109
,
34.5
)
The 2
2
area centred on (l,b) = (109.5
, 34.5
)
is bright in polarized intensity (Fig. 4), shows a very uniform distribution in
(Fig. 5), and has a relatively small surface density of strong depolarization canals. Furthermore the
fitted to the
spectra are low (Fig. 6): 30% of the lines of sight in this area have a
< 2, and nearly 75% have a
< 3. There is no enhanced H
emission in this region (see the top panel of Fig. 7), and
varies only little (bottom panel of Fig. 7). The single-dish 408 MHz total intensity map by Haslam et al. (1982) shows hardly an increase in brightness temperature in this region. There are not enough lines of sight in the Brouw & Spoelstra (1976) data set to discern the area around (l,b) = (109.5
, 34.5
)
from its surroundings.
The increased polarized brightness temperature with respect to its surroundings could be due to enhanced synchrotron emission, or a local decrease in depolarization, or to a combination of these. The polarized brightness temperature of this region is more than 3 K larger than that of its surroundings, and this would translate into a brightness temperature difference of at least 3 K/0.7 = 4.3 K, assuming that the radiation is 70% polarized. Lower polarization percentages increase this brightness temperature contrast even further. An enhancement in synchrotron emission can be ruled out as an explanation for the increased
of this area, since this is not seen in the Haslam data, and since beam averaging is not strong enough to attenuate the total intensity signal (the Haslam beam measures 0.85
0.85
).
The small variation in
over this region, combined with an underabundance of strong depolarization canals, furthermore indicates that depolarization across the synthesized telescope beam is not a strong effect. This leaves a decrease in the amount of depolarization along the line of sight as an explanation for the observed increase in
.
The low
of lines of sight in this area, in combination with secondary peaks that are not stronger than half the strength of the main peak, also indicates that the lines of sight in this area are not very complex, and line-of-sight depolarization effects are therefore not very important. We thus think that the origin of this particular region lies in a decreased amount of depolarization compared to its surroundings.
9 Conclusions
We applied Faraday tomography to high spectral-resolution radio polarization data to study the properties of the magnetised Galactic ISM. We showed that differential Faraday modulation in the foreground can shift the emitted angular frequency spectrum as a whole. In particular the 0-angular frequency from the emitted radiation is modulated in this way towards smaller angular scales, that are observable with an interferometer. We quantified how strong a linear gradient in
should be to accomplish this, and we showed that the gradients in
that we find for the main peak in the
spectra are indeed strong enough so that we are sensitive to the 0-angular frequency that is emitted at these Faraday depths.
The main peak in the
spectrum is not measurably resolved for 8% of the lines of sight in our data set. An unresolved peak means that there is no synchrotron emission occurring in the Faraday-rotating region. This is unexpected, since cosmic
rays that produce synchrotron emission pervade the ISM. We propose that the magnetic field orientation plays an important role in this, in that a magnetic field that is oriented along the line of sight produces only synchrotron emission perpendicular
to the line of sight, hiding it from our view. By using the observed emission measures from the WHAM survey as input, and by simulating the thermal electron contribution to
,
we could determine the magnetic field strength along the line of sight, and we mapped this quantity over the area covered by our GEMINI data. The polarized point sources we found in our data have RMs that are comparable to the
we find for the diffuse emission. In our
maps we found depolarization canals, narrow structures with only a small fraction of the polarized intensity of adjacent lines of sight. We established that for a number of deep canals the polarization angle changes in many frequency channels by a large amount over the canal, in some cases 90
.
We therefore argue that depolarization over the synthesized telescope beam is producing (at least) these canals. Finally, we investigated the properties of a large, conspicuous area in our data,
and we argue that a decrease in
depolarization along the line of sight as compared to its surroundings is probably responsible for the observational features of this region.
Acknowledgements
DS would like to thank the referee, Rob Reid, for his useful comments on the original manuscript, and Melanie Johnston-Hollitt for supplying the ionospheric RM data. The Westerbork Synthesis Radio Telescope is operated by The Netherlands Foundation for Research in Astronomy (NFRA) with financial support from the Netherlands Organization for Scientific Research (NWO). The Wisconsin H-Alpha Mapper is funded by the National Science Foundation.
References
- Baars, J. W. M., Genzel, R., Pauliny-Toth, I. I. K.,& Witzel, A. 1977, A&A, 61, 99 [NASA ADS] (In the text)
- Beck, R. 2007a, EAS Publ. Ser., 23, 19 [CrossRef] (In the text)
- Beck, R. 2007b, A&A, 470, 539 [NASA ADS] [CrossRef] [EDP Sciences]
- Berkhuijsen, E. M., Mitra, D., & Mueller, P. 2006, AN, 327, 82 [NASA ADS] (In the text)
- Bowman, J. D., Barnes, D. G., Briggs, F. H., et al. 2006, AJ, 133, 1505 [NASA ADS] (In the text)
- Burn, B. J. 1966, MNRAS, 133, 67 [NASA ADS] (In the text)
- Brentjens, M. A., & De Bruyn, A. G. 2005, A&A, 441, 1217 [NASA ADS] [CrossRef] [EDP Sciences] (In the text)
- Brouw, W. N., & Spoelstra, T. A. Th. 1976, A&A, 26, 129 [NASA ADS] (In the text)
- Brown, J. C., Haverkorn, M., Gaensler, B. M., et al. 2007, ApJ, 663, 258 [NASA ADS] [CrossRef] (In the text)
- Cordes, J. M., & Lazio, T. J. W. 2002 [arXiv:astro-ph/0207156], and http://astrosun2.astro.cornell.edu/cordes/NE2001 (In the text)
- De Bruyn, A. G., Katgert, P., Haverkorn, M., & Schnitzeler, D. H. F. M. 2006, AN, 327, 487 [NASA ADS] (In the text)
- Elliott, K. H. 1970, Nature, 226, 1236E [NASA ADS] [CrossRef] (In the text)
- Haffner, L. M., Reynolds, R. J., & Tufte, S. L. 1998, ApJ, 501, L83 [NASA ADS] [CrossRef] (In the text)
- Haffner, L. M., Reynolds, R. J., Tufte, S. L., et al. 2003, ApJS, 149, 405 [NASA ADS] [CrossRef] (In the text)
- Han, J. L., Manchester, R. N., Lyne, A. G., et al. 2006, ApJ, 642, 868 [NASA ADS] [CrossRef] (In the text)
- Haslam, C. G. T., Stoffel, H., Salter, C. J., & Wilson, W. E. 1982, A&A, 47, 1 [NASA ADS] (In the text)
- Haverkorn, M., Katgert, P., & De Bruyn, A. G. 2000, A&A, 356, L13 [NASA ADS] (In the text)
- Haverkorn, M., Katgert, P., & De Bruyn, A. G. 2004, A&A, 427, 169 [NASA ADS] [CrossRef] [EDP Sciences] (In the text)
- Haverkorn, M., Gaensler, B. M., Brown, J. C., et al. 2006, ApJ, 637, L33 [NASA ADS] [CrossRef] (In the text)
- Reynolds, R. J. 1985, ApJ, 294, 256 [NASA ADS] [CrossRef] (In the text)
- Reynolds, R. J. 1991, ApJ, 372, L17 [NASA ADS] [CrossRef] (In the text)
- Röttgering, H. J. A., Braun, R., Barthel, P. D., et al. 2006 [arXiv:astro-ph/0610596v2] (In the text)
- Schlegel, D. J., Finkbeiner, D. P., & Davis, M. 1998, ApJ, 500, 525 [NASA ADS] [CrossRef] (In the text)
- Schnitzeler, D. H. F. M., Katgert, P., Haverkorn, M., & De Bruyn, A. G. 2007a, A&A, 461, 963 [NASA ADS] [CrossRef] [EDP Sciences] (In the text)
- Schnitzeler, D. H. F. M., Katgert, P., & De Bruyn, A. G. 2007b, A&A, 471, L21 [NASA ADS] [CrossRef] [EDP Sciences] (In the text)
- Shukurov, A., & Berkhuijsen, E. M. 2003, MNRAS, 342, 496 [NASA ADS] [CrossRef] (In the text)
- Snowden, S. L., Egger, R., Freyberg, M. J., et al. 1997, ApJ, 485, 125 [NASA ADS] [CrossRef] (In the text)
- Sokoloff, D. D., Bykov, A. A., Shukurov, A., et al. 1998, MNRAS, 299, 189 [CrossRef] (In the text)
- Spoelstra, T. A. T. 1984, A&A, 135, 238 [NASA ADS] (In the text)
- Taylor, A. R. 2004, AAS meeting 205, #78.05; BAAS, 36, see also http://www.ras.ucalgary.ca/GALFACTS/ (In the text)
- Wieringa, M., De Bruyn, A. G., Jansen, D., et al. 1993, A&A, 268, 215 [NASA ADS] (In the text)
- Wolleben, M., Landecker, T. L., Reich, W., & Wielebinski, R. 2006, A&A, 448, 411 [NASA ADS] [CrossRef] [EDP Sciences] (In the text)
Footnotes
All Tables
Table 1:
Characteristics of the GEMINI data set. Observing dates
and times are given for each of the 12 h observing runs, which have been indicated by their shortest baseline length. We calculated the conversion factor between mJy/beam and K at 345 MHz, the average of the
sampling of the (usable) frequency channels in our data set.
Table 2:
Properties of the polarized point sources we found in our data. Shown are the equatorial coordinates (J2000.0) of the source in decimal degrees, the RM that we fitted and its error (both in rad/m2), the reduced
(
)
of the fit, the maximum
along the line of sight and the total intensity I (both in mJy), and the polarization fraction (in %).
All Figures
![]() |
Figure 1:
|
| Open with DEXTER | |
| In the text | |
![]() |
Figure 2:
Identical to Fig. 1, but for a line of sight towards a polarized extragalactic source that also contains diffuse Galactic emission. The
|
| Open with DEXTER | |
| In the text | |
![]() |
Figure 3:
Slices through the
|
| Open with DEXTER | |
| In the text | |
![]() |
Figure 4:
|
| Open with DEXTER | |
| In the text | |
![]() |
Figure 5:
|
| Open with DEXTER | |
| In the text | |
![]() |
Figure 6:
Distribution of independent lines of sight with a main peak
that satisfies the |
| Open with DEXTER | |
| In the text | |
![]() |
Figure 7:
WHAM H |
| Open with DEXTER | |
| In the text | |
![]() |
Figure 8:
RM distribution for the polarized point sources from Table 2. The size of the circles is proportional to RM, shown in the scale on top of the figure in units of radians/m2. Black circles indicate negative RM, and white circles indicate positive RM. |RM|
|
| Open with DEXTER | |
| In the text | |
![]() |
Figure 9:
Depolarization canals in the
|
| Open with DEXTER | |
| In the text | |
![]() |
Figure 10:
Polarized brightness temperature
|
| Open with DEXTER | |
| In the text | |
Copyright ESO 2009
Current usage metrics show cumulative count of Article Views (full-text article views including HTML views, PDF and ePub downloads, according to the available data) and Abstracts Views on Vision4Press platform.
Data correspond to usage on the plateform after 2015. The current usage metrics is available 48-96 hours after online publication and is updated daily on week days.
Initial download of the metrics may take a while.

![\begin{displaymath}%
\mathcal{R}(x)\ [{\rm rad/m}^2] = 0.81\int_{{\rm source\ at...
...}^{-3}]\ \vec{B}\ [\mu{\rm G}]\cdot {\rm d}\vec{l}\ [{\rm pc}]
\end{displaymath}](/articles/aa/full_html/2009/05/aa8912-07/img34.gif)



![\begin{displaymath}%
{\rm FWHM}\ [{\rm radians/m^2}]\ =\ \frac{3.8}{\Delta\lambda^2}\cdot
\end{displaymath}](/articles/aa/full_html/2009/05/aa8912-07/img51.gif)
![\begin{displaymath}%
{\rm maximum\ scale\ [radians/m^2]} \approx \frac{\pi}{\lambda^2_{{\rm min}}}
\end{displaymath}](/articles/aa/full_html/2009/05/aa8912-07/img54.gif)
![\begin{displaymath}%
\vert\mathcal{R}_{{\rm max}}\vert\ {\rm [radians/m^2]} = \frac{1.9}{\delta\lambda^2}\cdot
\end{displaymath}](/articles/aa/full_html/2009/05/aa8912-07/img57.gif)
![\begin{figure}
\par\includegraphics[width=8.5cm,clip]{8912fig1.ps}
\end{figure}](/articles/aa/full_html/2009/05/aa8912-07/Timg59.gif)


![\begin{figure}
\par\includegraphics[width=8.5cm,clip]{8912fig2.ps}
\end{figure}](/articles/aa/full_html/2009/05/aa8912-07/Timg77.gif)

![\begin{figure}
\par\includegraphics[width=17cm,clip]{8912fig3.ps}
\end{figure}](/articles/aa/full_html/2009/05/aa8912-07/Timg88.gif)
![\begin{figure}
\par\includegraphics[width=8.5cm,clip]{8912fig4.ps}
\end{figure}](/articles/aa/full_html/2009/05/aa8912-07/Timg91.gif)
![\begin{figure}
\par\includegraphics[width=8.5cm,clip]{8912fig5.ps}
\end{figure}](/articles/aa/full_html/2009/05/aa8912-07/Timg92.gif)
![\begin{figure}
\par\includegraphics[width=8cm,clip]{8912fig6.ps}
\end{figure}](/articles/aa/full_html/2009/05/aa8912-07/Timg93.gif)








![\begin{figure}
\par\includegraphics[width=8.5cm,clip]{8912fig7.ps}
\end{figure}](/articles/aa/full_html/2009/05/aa8912-07/Timg125.gif)


![\begin{figure}
\par\includegraphics[width=8.5cm,clip]{8912fig8.ps}
\end{figure}](/articles/aa/full_html/2009/05/aa8912-07/Timg137.gif)
![\begin{figure}
\par {\hspace*{5mm}\includegraphics[width=15.5cm,clip]{8912fig9.p...
...mm}}\vspace*{3mm}
\includegraphics[width=16.5cm,clip]{8912fig10.ps}
\end{figure}](/articles/aa/full_html/2009/05/aa8912-07/Timg139.gif)
![\begin{figure}
\includegraphics[width=16.3cm,clip]{8912fig11.ps}
\end{figure}](/articles/aa/full_html/2009/05/aa8912-07/Timg140.gif)