Issue |
A&A
Volume 494, Number 2, February I 2009
|
|
---|---|---|
Page(s) | 515 - 525 | |
Section | Extragalactic astronomy | |
DOI | https://doi.org/10.1051/0004-6361:20079280 | |
Published online | 11 December 2008 |
VLT/FORS1 spectrophotometry of the first planetary nebula discovered in the Phoenix dwarf galaxy
I. Saviane1 - K. Exter2 - Y.
Tsamis3 - C. Gallart4 - D. Péquignot5,
1 - ESO Chile, A. de Cordova 3107, Santiago, Chile
2 - STScI, 3700 San Martin Dr, Baltimore, MD 21218 USA
3 - Dept. of Physics and Astronomy, University College London,
Gower Str., London, UK
4 - IAC,
c/ via Lactea s/n, La Laguna, Tenerife, Spain
5 - LUTH, Observatoire de Paris, CNRS, Université Paris Diderot,
5 place Jules Janssen, 92190 Meudon, France
Received 19 December 2007 / Accepted 3 November 2008
Abstract
Context. A planetary nebula (PN) candidate was discovered during FORS imaging of the Local Group dwarf galaxy Phoenix.
Aims. We use this PN to complement abundances from red-giant stars.
Methods. FORS spectroscopy was used to confirm the PN classification. Empirical methods and photoionization modeling were used to derive elemental abundances from the emission line fluxes and to characterize the central star.
Results. For the elements deemed most reliable for measuring the metallicity of the interstellar medium (ISM) from which the PN formed, [O/H]
and [Ar/H]
.
[O/H] has lower measurement errors but greater uncertainties due to the unresolved issue of oxygen enrichment in the PN precursor star.
Conclusions. Earlier than 2 Gyr ago (the lower limit of the derived age for the central star) the ISM had Z = 0.002-0.008, a range slightly more metal-rich than the one provided by stars. Comparing our PN-to-stellar values to surveys of other dwarf Local Group galaxies, Phoenix appears to be an outlier.
Key words: galaxies: dwarf - ISM: planetary nebulae: individual: PN Phoenix J01:51:05.46-44:26:55.28 - galaxies: individual: Phoenix
1 Introduction
1.1 The Phoenix dwarf and its metallicity
Phoenix is a Local Group dwarf galaxy located 450 kpc from the
Milky Way (
MV=-10.1,
,
,
;
Mateo 1998). It has little current
star formation (Martínez-Delgado et al. 1999,
hereafter M99; Held et al. 1999, hereafter
H99) and little or no H I gas (St-Germain et al. 1999;
Gallart et al. 2001; Irwin & Tolstoy 2002;
Young et al. 2007), which warrants its classification
as a transition-type dwarf galaxy. From the color and width of the
red-giant branch (RGB) one can infer quite a low metallicity for its
intermediate-age and old stars: [Fe/H] = -1.85,
([Fe/H])
dex
(H99). However, metallicity estimates from the position of the
RGB alone are quite uncertain in the case of composite stellar populations
due to the resulting age-metallicity degeneracy (see, e.g. Pont
et al. 2004). With a color-magnitude diagram (CMD) reaching
the oldest main-sequence turnoffs, the RGB age-metallicity degeneracy
may be partially broken since ages can be derived from the main-sequence,
and Z(t) can be estimated from the global fit of the distribution
of stars in the CMD using stellar evolution models. In this way,
Hidalgo et al. (2007, H07) have
found that the current metallicity should be about Z=0.0015.
Spectroscopic data do at least provide a more direct measurement
of the metallicity and metallicity distribution of the stars in a
galaxy. In the case of Phoenix, Ca II triplet spectra,
which provide global metallicities, could be obtained for the brightest
RGB stars in the galaxy.
Measuring abundances directly, through the high-resolution spectroscopy
of individual stars, is not feasible due to the large distance of
the galaxy. Moreover, there are no known H II regions,
so the only other opportunity to obtain information on the abundances
of particular elements is through a PN. During a FORS1 campaign (63.I-0642),
a PN candidate was identified near the center of the galaxy, and in
this paper we present our follow-up spectroscopy.
The object was discovered due to its relative brightness in Has compared with the V band, together with its star-like appearance
(see Fig. 1).
Following current convention we name this object PN Phoenix J01:51:05.45-44:26:55.28
but, in a lighter hearted spirit, we choose to call it Bennu (the ancient
Egyptian name for the phoenix).
1.2 Chemical abundances from PNe
All PNe are the post-AGB (asymptotic giant branch) stage of low- to intermediate-mass stars. Their chemical abundances are those of the envelope of the precursor AGB star that was ejected via a stellar wind. The composition of the nebulae are a mixture of elements affected by the preceding nucleosynthesis and dredge-up cycles (e.g. He, C, and N) and elements unadulterated by stellar evolution (e.g. Ar, S, and in most cases also O and Ne). Measuring PN abundances is useful since they complement abundance determinations from stars and contribute to the study of galactic chemical evolution (e.g., Shields 2002). For Phoenix, obtaining PN abundances is especially important, as this is one of the most metal-poor Local Group galaxies. While we are dealing with low number statistics with only one PN, we note that the scatter about the mean oxygen abundance for PNe (the most often considered element in PN-galactic evolution studies) in other galaxies is usually less than a factor of two (Stasinska & Izotov 2003). Lacking any other determination, a sole PN can still provide crucial information.
2 Observations and data reduction
![]() |
Figure 1:
Finding chart for the Phoenix planetary nebula, obtained from FORS1
V-band imaging. The lower two insets show the appearance of the nebula
in the H |
Open with DEXTER |
![]() |
Figure 2: The calibrated and sky-subtracted spectrum of Bennu, above, and again below, scaled to highlight the fainter lines. |
Open with DEXTER |
The spectroscopic observations were carried out in service mode on
the night of November 26, 2005. The target can be identified in Fig. 1,
which shows part of one FORS2 frame taken in the V band. Three FORS1
spectra of 1730 s each were taken, with the spectrograph in long-slit
mode, a
slit, and with grism 300V+10. No order sorting
filter was used, in order to have a higher throughput in the blue
part of the spectrum, and the response function was then determined
by observing a blue standard star in the same configuration. Some
second-order contamination is expected at
Å, but
it is less than
for the [S II] lines at 6725 Å.
The nebula was observed at an airmass
1.04 and under a seeing
of
,
while approaching and crossing the meridian. During
the evening twilight, the DA spectrophotometric standard EG21 from
Hamuy et al. (1994) was observed. The
instrument mode was slightly different than the one used for the science
target: a
slit was created by placing the 19 movable
slits of the MOS mode side by side and aligning them along the parallactic
angle; moreover, only the central part of the CCD was read out. The
science data were instead taken with one of the fixed-width slit masks,
and the full CCD was read out. The two sets of
calibration frames (biases, arc, and flat-fields) for
the two configurations were taken in the morning following the observations.
Reductions were carried out using a customized version of the EFOSC2
quick-look tool, which is based on the
ESO-MIDAS data reduction system. The usual
bias subtraction and flat-fielding (from quartz lamps) were performed.
He+HgCd+Ar arc frames were used to compute the 2-D wavelength calibration.
The spectra were then linearly rebinned with a constant step of
Å,
with a resulting wavelength coverage of 3707-8289 Å at a resolution
of
8.2 Å FWHM.
The two-dimensional sky frame was created by first sampling the sky spectrum in
two windows flanking the target spectrum, and then fitting the spatial gradient
with a one-degree polynomial. After sky-subtracting, the extraction window for
the emission-line spectrum was chosen based on the spatial profile of the
H line, adjusting in order to reach an optimum signal-to-noise ratio
(SNR). The flux of the spectrophotometric standard star was instead summed over
almost the entire spatial profile, leaving out just the two sky windows. To
compute the response function, the instrumental spectrum was corrected for
atmospheric extinction, divided by the exposure time, and then divided by the
published spectrum, and the ratio was fit with a
degree
polynomial. Note that the different instrument setup of the
standard does not affect the response function, which can therefore be applied
to the science spectra. The three pre-processed, wavelength-calibrated,
sky-subtracted, and extracted spectra of the PN were flux-calibrated using this
response function. Finally, the fiducial PN spectrum was obtained as a median
of the three individual exposures, and it is shown in
Fig. 2. The typical SNR measured on the continuum
is five or better, while the [O III]
4363 line was detected
with an SNR of
24. The continuum is due in part to the
nebula and in part to the unresolved light of the Phoenix stellar population.
Photoionization models (see below) predict that
of the observed
continuum intensity at 5000 Å is due to the nebula. Because of the low
counts, no absorption lines can be detected, and no slope is visible.
3 Spectral measurements
Table 1: Observed line fluxes.
Emission line fluxes and centroids were measured with the ELF Gaussian
fitting routines of DIPSO (Howarth et al. 1998)
and independently checked with the fitting routines of the MIDAS package.
The FWHM for faint lines were fixed from nearby bright lines and
were a free parameter for unresolved blends. The fluxes are reported
in Table 1. The measured blended
H + He II flux is 1.98
erg cm-2 s-1 and the
adopted de-reddened and de-blended H
intensity
is
erg cm-2 s-1.
This value, which is used in the models of Sect. 4.2, incorporates
a correction of +28% as the employed slit had a width of 0
7
and the PN was observed under
1
seeing.
The continuum in the very blue and red is fairly noisy, and a conservative
approach was taken toward deciding between a true line and a noise spike. This is
especially important for the He I lines - because of the dependence
of the calculated oxygen abundance on the helium abundances when using the
``ICF'' method (see below) - and the [S II] ratio, which is used to
calculate the electron density.
The sky is noisy in the [S II] region, and the
[S II] fluxes very low. To estimate the effect this has on the
measurement of the [S II] ratio,
we performed a sky subtraction in the standard manner (using the sky
spectrum extracted from the slit and resulting in the fluxes quoted in
Table 1) and a sky subtraction using rather a polynomial fit to the sky
in this spectral region. The [S II] ratio from the poly-fit
result is up to
greater than from the true-sky subtraction.
Regarding He+, only the He I
5876 line,
de-blended from He II
5869.02 (5-29), is considered
in our analysis as the 4471 Å and 6678 Å lines are
upper-limit detections.
The H/H
Balmer-line ratio was used to calculate the extinction constant,
yielding a value of c(H
) = 0.16. The He II Pickering series is a
contaminant of the H I lines in high excitation nebulae, such as this
one, and their contribution was estimated via their theoretical ratios to
He II
4686 following Storey & Hummer
(1995); 13.5% of the
4686 flux at H
is due
to He II Pi (4-6) and 5.1 per cent at H
is due to Pi (4-8),
under case B conditions. The intrinsic value of the H I ratio to
compare to when computing c(H
)
depends on the electron temperature,
,
and
density,
;
we iterated once between determining
and
before
computing c(H
). As the He II
4541.59, 5411.53 lines
are well detected, we also computed, to compare, the reddening using the
He II
4686/
5411 and
5411/
4542
ratios; this yielded a weighted average of
%. We adopted the
H I Balmer value to deredden the observed line fluxes, and used the Galactic
extinction law of Howarth (1983).
A 16% correction has been applied to the [O II] 3727
doublet which is blended with the H 14
3721.9, [S III]
3721.6 and H 13
3734.4 lines: the [S III]
3721 flux was estimated from a comparison with the de-reddened flux of
[S III]
6312.1, which originates from the same upper level.
The latter line is blended with He II
6310.8 (5-16) in high
excitation PNe and that flux was retrieved via its theoretical ratio relative
to He II
4686. The I(H 13)/I(H
)
and
I(H 14)/I(H
)
intensity ratios were estimated using
theoretical H I line emissivities as above.
In Table 1 suggested ion identifications are given.
The bluest H I line ratios, at
,
are a factor of 1.3-1.8in excess of that expected theoretically, suggesting that the adopted blue
continuum, possibly affected by interstellar absorption lines, is too low.
H I
3771 is not detected in the spectrum.
4 Chemical abundances and central star parameters
4.1 Empirical analysis
A determination of chemical abundances was first carried out using the
semi-empirical ICF (ionization correction factor) scheme reported in
Kingsburgh & Barlow (1994). The abundances of each observed ionic
species relative to H+ are added up and multiplied by their
corresponding ICF to yield elemental abundances relative to
hydrogen. Input values in these calculations are the plasma
and
,
whose values were computed from the de-reddened [O III]
4363/(
5007 +
4959) and [S II]
6717/6731 ratios respectively.
The same atomic data references as in Exter et al. (2004) were used, with the exception of using helium where effective recombination coefficients were taken from Smits (1996) for Case B and adopting corrections for collisional excitation contributions as in Benjamin et al. (1999).
For the density measured from the [S II] ratio, to show the
effect that measurement uncertainties (in particular, sky subtraction)
has on the derived density, we carried out calculations using the
[S II] ratio measured from the two sky-subtraction methods
mentioned in Sect. 3. A higher density
comes from the
lower ratio (from the fluxes we adopted and list in Table 1) and a lower
density
from the higher ratio.
The effect on the Te value is minor,
K, while
changes from 500 to 3700 cm-3.
In Tables 2 and 3 we give the ionic and total abundances with this
range of
and
values.
The percentage 1
errors given in parenthesis in Table 3 include the
flux and
measurement errors and not those inherent to the empirical
methods (see Exter et al. 2004). In Table 3, errors for the
model abundances (see Sect. 4.2) correspond either to the scatter among several
model fits or to the flux errors.
Since the He II flux is very high, the nebula cannot be radiation-bounded.
Then the formulation of Kaler & Jacoby (1989)
for estimating the
of the central star only provides
an upper limit to
(<322 kK) and the one of
Zijlstra & Pottasch (1989) a lower limit to
(>270 L
). The method of Zanstra
(1927) to obtain a
(He II) requires knowledge of the stellar continuum (see below), while the
energy balance method of Stoy (1933) requires
knowledge of important gas coolants outside the optical
range. Self-consistent photoionization modeling based on the optical
line spectrum is the only available method for determining
and
.
Table 2: Empirical ionic abundancesa and ICF values for two electron densities.
Table 3: Abundances of Bennu vs. solara.
4.2 Photoionization modeling
Photoionization models were computed with the code NEBU
(e.g., Péquignot & Tsamis 2005), which was also used in a
comprehensive study of the Sagittarius dwarf galaxy PN population (Dudziak
et al. 2000; Péquignot et al. 2000; Zijlstra
et al. 2006).
Computations were done assuming that both the
gas filling factor and the covering factor (solid angle as seen from the
central star) were unity. The actual geometry of the nebula is not
known due to lack of imaging and the inner radius
is a
first free parameter. A two-sector model is suggested by the
coexistence of a very strong He II
4686 line with [O II] and
[S II] lines, which implies that even though the nebula is strongly
matter-bounded along most radial directions, some directions must be
radiation-bounded to a large degree. (One-sector models are, however,
considered in Appendix A.)
The premise of two-sector models comprising
both optically thick and thin components (advocated by, e.g., Clegg
et al. 1987, in their analysis of the typical Galactic
PN NGC 3918) is a realistic one, given that the majority of nearby
spatially-resolved PNe are replete with optically thick inhomogeneities
in the form of clumps/filaments/torii embedded in a more tenuous
medium. The [S II] doublet ratio can be used to constrain the density
or, more conveniently, the thermal pressure
of the
(peripheral) thick clumps.
The [Ar IV] doublet ratio
is neither suitably accurate nor
sensitive enough to
to
constrain the inner high-ionization region density,
(H)
(equivalently,
), which is therefore a second free
parameter. Adopting a sufficiently flexible description for the gas
distribution allows the exploration of a realistically large space of
solutions. In practice, the pair of (
,
)
is obtained at each point
by solving the statistical balance equations iteratively, assuming a
variable gas pressure, P, given here as a function of the radial
optical depth,
,
at 13.6 eV:
![]() |
(1) |
At the first step of the computation (


















The ionizing spectrum is described as a black body of temperature
and
luminosity L. According to stellar atmosphere models for hot stars, the
``color temperature'' of the bulk of the photoionizing continuum (the best
equivalent black-body temperature) is
larger than the actual effective temperature
.
When black-body spectra are used instead of genuine stellar atmosphere models
in computing photoionization models, a recommended rough correction, adopted
here, is
![]() |
(2) |
(see, e.g., Dudziak et al. 2000).
Table 4: Constraints on model parameters.
The model parameters and corresponding dominant observational and technical
constraints are listed in Table 4. Some potential constraints
that were dismissed on account of the large uncertainties they entail are
given in inverted commas. Thus, we assumed that S/Ar was solar (4.37 by number,
Lodders 2003). Also, no iron lines were detected and Fe/H was given a constant
arbitrary value. There are 11 (+2 implicit for S and Fe) spectroscopic
constraints controlling as many model parameters, leaving
as a third free
parameter, in addition to
and
(H) (see above). Gas
cooling is dominated by carbon and oxygen line emission. For lack of measured
carbon lines (no UV coverage), the carbon abundance is constrained by the
energy balance through the [O III] ratio temperature. Given the three free
parameters and assuming that all other constraints are systematically
fulfilled, for increasing L, the computed [Ar IV]/[Ar III] increases and He I decreases moderately, while, for increasing
/
,
[Ar IV]/[Ar III] increases slowly and He I decreases again, until a limit is
reached asymptotically for
/
> 2.5-3. Thus L and
/
are primarily controlled by the ionization balances
of argon and helium, respectively. Other correspondences between parameters and
constraints in Table 4 are straightforward.
The domain of ``exact'' solutions according to the criteria listed in
Table 4 has been scanned. Many iterations were needed to
fulfill all constraints simultaneously and not all combinations of the 3 free
parameters led to a solution. Results are summarized in
Table 5. Given
=
cm (our
``standard'' value), the full range of
leading to a solution was determined
for the 3 given values of
(H) (cm-3) = 900 (
/
), 1200 (standard,
/
= 1.95), and 1600
(
/
). The ratio
[Ar IV]/[Ar III] being accounted for (correct choice of L), a minimum
is
obtained when He I happens to be computed too high and a maximum
is obtained when
/
decreases down
to 1.2. After several trials, the resulting accessible domain on the
(
/kK, L/1036 erg s-1) plane was found to be an
elongated ellipse, whose long-axis boundaries were at (120, 11.3) and
(150, 8.7) respectively for
(H)
800 (the minimum
value since
/
1.2), and
1700 cm-3: the greater
(H), the more compact
the nebula and the smaller the corresponding L are. Thus, for a given
,
L correlates inversely with
.
The ``1
box''
for the standard case, not including observational uncertainties, is
/kK =
and L/1036 erg s-1 = 10
1. For
(H) = 1200,
``exact'' models with
/1017 cm = 1.4 instead of 1.0 were also obtained for a few
's, showing that derived parameter values were nearly similar to
those obtained previously, except for a 10% upward shift of L(Col. 5, Table 5). Conversely, for
/1017 cm < 1.0, the previous solutions for standard
essentially apply. Model outputs are displayed in
Table A.1 of Appendix A,
including one solution
(D135, Col. 3) belonging to the domain of most favorable values of model
parameters (Table 5) and examples of models that are
in some way unsatisfactory, including one-sector models.
A more thorough discussion of the uncertainties is also given in
Appendix B.
Table 5: Range of model parameters for ``exact'' solutions.
Model elemental
abundances are relatively stable within the domain of ``exact'' solutions
(Col. 6, Table 5). Model outputs (see Col. 3 of
Table A.1) suggest that any value of S/Ar between solar
(adopted) and twice solar is possible. For higher
's, O/H can be somewhat
higher and Ar/O slightly lower (Col. 4, Table A.1).
![]() |
Figure 3:
The theoretical, H-burning WD tracks from VW94 are represented here
in the
|
Open with DEXTER |
4.3 Parent star
For the central star, in the previous section we obtained best values
=
kK and
.
To determine an age and mass for Bennu, we compared these model
estimates to the H-burning white-dwarf (or PN central star) evolutionary
tracks of Vassiliadis & Wood (1994, VW94), as
shown by Fig. 3.
As the metallicity increases, the progenitor mass of
the best-fitting track increases.
To have a quantitative estimate, the tracks were interpolated at the
(
,
L) position of the WD for each metallicity, thus
obtaining a mass-metallicity relation, which is shown in
Fig. 4. Due to the small
number of tracks and the large extrapolation from the PN location to any
of them, the Z=0.008 point was omitted from the fit. The procedure
was repeated for the two extremes of the
combinations allowed by the errors on the two quantities. By fitting the
discrete points with linear regressions, one has continuous
mass-metallicity relations, so an estimate of the progenitor mass can
be obtained by entering with a metallicity value. If we adopt the
widest metallicity range discussed below (
from
to
from
), then the range of
progenitor mass is between
0.74 and
.
This low mass chimes well with the N/O ratio and He/H nebular abundance, both being low enough to indicate a non-type I, low central star mass status (according to e.g. the criterion of Kingsburgh & Barlow 1994). From the VW94 tracks, the nebular age would be 23 000 yr at the lower mass estimate, and 7000 yr at the higher. To convert the progenitor mass range to a main-sequence (MS) age range, we looked at the isochrones of Pietrinferni et al. (2004), for two values of the metallicity Z=0.002 and Z=0.008 ([m/H] = -1 and -0.4, respectively).
The lower mass value is just below the minimum isochrone mass
(
), so the star might be as old as the Universe.
To convert the
higher mass value into an age, one needs to decide between canonical
core convection, or convection with overshooting, which yields older
ages. In the case of canonical convection, one obtains
2.0or 2.7 Gyr
for the two metallicities, while tracks with overshooting
give
3.3 and 4.0 Gyr,
respectively. Thus the overall
permitted age range is greater than 2 Gyr.
As discussed below, it is also quite possible that the metallicity given
by Ar (and S) is closer to the real PN value. In that case, if we take the
model argon abundance, then
,
and by repeating the exercise above, the resulting mass range is
0.70-1.04
.
Taking only isochrones at Z=0.002, the
mass interval is then converted into an age interval from
4.7 Gyr to the age of the Universe.
![]() |
Figure 4:
The dependence of the progenitor mass on the metallicity of the best-fitting
WD track is illustrated by this plot. The lines are least-square fits
to the discrete points corresponding to
three of
the four metallicities available
in VW94 tracks (see Fig. 3). The fits have been repeated for the
two combinations of
|
Open with DEXTER |
5 Discussion
5.1 Oxygen as a metallicity tracer?
The gas-phase elemental abundance in nebulae, which is the easiest to compare to stellar values, is that of oxygen (i.e. [O/H]); [O III] lines are collectively strong and usually contain most of the flux from oxygen ions (except in cases of extremely metal-poor nebulae), and thus measurement and abundance-determination errors are small. Along with sulfur, argon, and neon, oxygen is generally considered to be unaffected by endogenous processes within the progenitor stars. For instance, when comparing the oxygen abundances in PNe to those of H II regions in a given galaxy, the former are expected to be always lower (or equal) than the latter. The H II regions after all represent the present-day metallicity of the ISM, whereas PNe originate in older stellar populations when galactic metallicities are likely to have been smaller. But this is not always found to be the case.
A number of studies of PNe in low-metallicity environments have pointed
to a possible enhancement of O/H ascribed to ``self-enrichment''
processes occurring during the 3
dredge-up phase. The
PN
vs. H II region abundance comparisons reveal a positive
difference between the two at low O/H values (at about log
;
see e.g. Peña et al. 2007; Richer & McCall
2007). For NGC 3109 (Peña 2007), this is about
0.3 dex, and Kniazev et al. (2007) adopted a similar value
of 0.27 dex to ``correct'' their PN oxygen abundance for
``self-enrichment''. Comparison between models and observations of PNe in
the Magellanic Clouds (Leisy & Dennefeld 2006) have
also suggested that oxygen in PNe can be enhanced relative to the
precursor metallicities, particularly for the lower mass progenitors.
These studies have indicated that argon or sulfur should be used
instead of oxygen, as an indicator of the metallicity of the ISM from
which the PNe formed, with argon preferred for its more secure
spectral determination; Péquignot et al. (2000) and
Péquignot & Tsamis (2005) reached similar
conclusions.
It is uncertain whether Bennu is likely to contain endogenous oxygen as there are no H II regions in Phoenix to compare it to. Its O/H is however higher (by >0.3 dex) than the range of values found in those PNe for which an oxygen enhancement has been suggested (although see Zijlstra et al. 2006). In addition, following Kniazev et al. (2007) and based on the nebula's Ne/O, S/O, and Ar/O ratios, we should apply no correction for the presence of endogenous oxygen. However, the [Ar/H] abundance is lower than [O/H], so if we adopted the former as an indicator of the metallicity of the parent ISM, as suggested by Leisy & Dennefeld, then we should indeed conclude that endogenous oxygen is present in the nebula. Since with our present knowledge we have no exact way of deciding upon this issue, in the rest of the discussion we adopt a metallicity for the Phoenix galaxy within the range given by [O/H] and [Ar/H], and with the understanding that the more metal-poor end is favored.
5.2 The age-metallicity relation of Phoenix
In the previous sections we concluded that the spectral properties
of the newly discovered PN in Phoenix are consistent with a progenitor
mass of
and a metallicity
dex
(or Z=0.002 to Z=0.008), corresponding to an age of
Gyr.
Or if argon and sulfur abundances are favored over oxygen, then the
progenitor mass and age range are
and
Gyr,
for
.
Since this is the first direct spectroscopic determination of this galaxy's metallicity, it also represents the first solid constraint to its age-metallicity relation (AMR). It is therefore interesting to see how this fits within our present knowledge of the chemical evolution of Phoenix and its star-formation history (SFH).
The evidence accumulated since its discovery by Schuster & West (1976)
and its recognition as a dwarf galaxy by Canterna & Flower (1977),
clearly shows that Phoenix has had an extended star formation. The
presence of an old, globular-cluster like population in Phoenix was
first established by the discovery of an extended horizontal branch
(HB) at
(H99; M99). The metallicity of the intermediate-old
populations was estimated from the color of the RGB by van de Rydt
et al. (1991) and H99, as [Fe/H] = -2.0 dex and [Fe/H] =
dex,
respectively. A significant spread in RGB color was also found that,
if it was only due to a metallicity range, would correspond to a dispersion
of about 0.5 dex. A very low metallicity at an age of
13 Gyr
is then the first point in the AMR of Phoenix.
A number of stars above the RGB tip were interpreted as AGB stars
by H99. They are representatives of an intermediate age population
(3 to 10 Gyr), which was estimated to be about 30-of the total stellar population of the galaxy. The metallicity of
these stars could not be estimated, but given the RGB width, it could
be even up to -0.3 dex, if we adopted an upper limit of
(i.e.
dex).
The presence of a young stellar population was established quite early (Canterna & Flower 1977; Ortolani & Gratton 1988), and together with the possible association of an H I cloud, led to a morphological classification for the Phoenix as intermediate between dSph and dIrr galaxies (e.g., Young et al. 2007; Carignan et al. 1991). According to H99 the star formation episode started at least 0.6 Gyr ago and lasted until 108 yr ago. Since the galaxy has no H II regions, and since its main-sequence stars are too faint, no spectroscopic determination exists for the current metallicity of Phoenix.
The current metallicity and future evolution of Phoenix depend on the
presence of gas associated with the galaxy. The recent measurement of
the optical radial velocity of Phoenix (Irwin & Tolstoy
2002) has shown that it is the same as that of ``cloud A'' of Young & Lo (1997), confirming a long-suspected
association (St-Germain et al. 1999). This means
that the H I mass is
,
and as shown in H99,
it can be explained by mass lost from RGB and AGB stars, and PNe, over
the past
2 Gyr. And according to Young et al. (2007), the
gas will not be able to escape the galaxy, so SF might start again in
the future.
However currently
SF from
molecular gas is inhibited,
since no CO was detected by Buyle et al. (2006), and Jackson et al. (2006)
found no diffuse 8
m emission from dust.
The (unknown) metallicity of Phoenix youngest stars therefore represents
the present end point of the galaxy's chemical evolution.
It is also important to note that age gradients exist throughout the galaxy, with all young stars concentrated in an inner component, while the old population is more extended and oriented N-S (M99; H99). The fraction of intermediate-age stars over old stars also decreases going from the central to the outer regions (Hidalgo et al. 2007). Moreover, additional support for an extended SFH is given by the study of the variable-star content of Gallart et al. (2004). They find both anomalous Cepheids and short-period classical Cepheids, which can be explained if the metallicity has been low ([Fe/H] = -1.3) for most of the galaxy's lifetime.
The star formation history for the central part of Phoenix has been
derived by Holtzman et al. (2000; H00) and Young
et al. (2007), using a WFPC2 CMD reaching the oldest main sequence
turnoffs. Hidalgo et al. (2007) present a determination of both the star
formation rate as a function of time (SFR(t)) and the metallicity as a
function of time (Z(t)) for the same field and an outer one. All these
authors agree on that Phoenix has had an almost continuous SFH, and with
a roughly constant star formation rate, decreasing somewhat toward the
present time. The star formation rate at intermediate ages
(6-2 Gyr) seems to have been somewhat higher than immediately before and
after, specially in the central part of the galaxy where Bennu
resides. Integrating their age distribution one gets that
of the
stars have ages between 1.5 and 3 Gyr, and another
have ages
between 3 and 10 Gyr, which is consistent with the fraction of
intermediate-age stars estimated by H99 (see above). Although H00 do not
give a real AMR, from their ``population box'' one can see that the
[Fe/H] increases from
-2 at the earliest stage up to -(1.5-1)
at
3 Gyr, then reaches
-1-0 at
1 Gyr and stays
constant thereafter. In the case of H07, they predict quite low
metallicities up to the current epoch. The maximum is reached
ca. 1 Gyr ago, and it is less than -1 in
.
Turning now back to Bennu, we can place its representative point in the
AMR relations of H00 and H07, which are the only two studies making
quantitative derivations. In the age range of Bennu's progenitor, most
of the simulated stars of H00 have metallicities around
,
but there is also a smaller group of objects with
metallicities centered around
.
Adopting instead the
age range suggested by argon and sulfur abundances, the metallicities of
H00 are around
with a tail up to
.
Therefore the metallicity we measure tends to be higher than
that of H00 in the same age range, but still compatible within the
uncertainties. A metallicity lower than ours is also predicted by the
simulations of H07, whose AMR generally stays more metal-poor than that
of H00. As it was recalled above, even the peak of the relation happens
at a metallicity lower than that of the PN. While an independent study
would be needed to resolve this issue, we can conclude that existing
AMRs predict a metallicity for the age of Bennu that is lower than the
one we measure, particularly so for the H07 study.
5.3 Phoenix in the context of Local Group galaxies
5.3.1 The number-luminosity relation
A recent review of the PN population in Local Group (LG) galaxies can be
found in Corradi & Magrini (2006; CM06), where they
list 20 galaxies containing at least 1 nebula. These objects belong
mostly to the northern sky, where the most systematic searches are
ongoing. There is a very good linear correlation between the
V luminosity of a galaxy and the number of PN candidates, which predicts
that below
LV=107
the probability of finding a PN
is very low. This means that in principle Phoenix, which has an
,
should have no PNe; however, the
number of nebulae also depends on the SFH of a galaxy, and in particular
an enhancement at intermediate ages can also increase the number of
detected PNe (see Buzzoni et al. 2006, for a thorough
treatment of the luminosity-specific frequency of PNe). Some evidence
of this possibility is given in CM06, where it is shown that galaxies
with enhanced SFH in the age interval 2 to 8 Gyr have indeed a
larger number of PNe (for example NGC 205 and the SMC). The presence of
a PN in Phoenix despite its low luminosity could therefore be a sign of
substantial SFH at intermediate ages. This is nicely consistent with
the large number of AGB stars detected by H99, who, as recalled above,
estimated that
% of the total population should consist of
stars with ages of 3 to 10 Gyr. The enhanced SFR between 2 and
3 Gyr found by H00 (for a central field very close to Bennu) is also
in line with this finding. An additional possibility, discussed in the
next section, is that the luminosity of Phoenix is underestimated,
either because of measurement uncertainties, or because of mass being
stripped from the galaxy by the tidal field of the Milky Way. A
combination of these two effects might be able to produce a luminosity
that is a factor of 10 higher than what is currently published, and
so to reconcile Phoenix with the number-luminosity relation.
5.3.2 The luminosity-metallicity relation
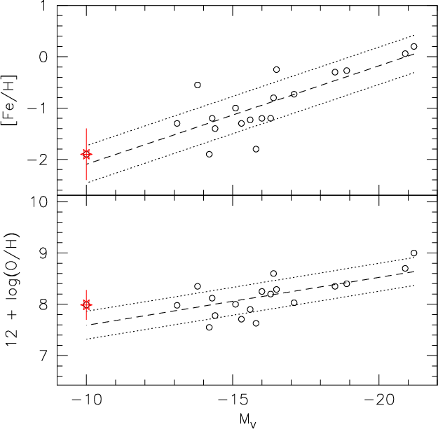
![]() |
Figure 5:
The luminosity-metallicity relation for Local Group galaxies, with
data from Corradi (priv. comm.); the [Fe/H] values come from stellar
results (old-intermediate populations) and [O/H] is from nebular
abundances (PNe and H II regions; intermediate-young populations).
MV were taken from Mateo (1998). The dashed
line represents an unweighted linear fit, while the dotted lines represent
the |
Open with DEXTER |
In Fig. 5 we plot the iron and oxygen
abundances vs. the absolute V luminosity for a sample of Local Group
galaxies (Corradi, priv. comm.). The asterisk represents Phoenix,
with
from H99 and
from this
paper. Its error bars are the 1-sigma dispersion for the iron abundance
given by the spread in color of the RGB, while for the oxygen abundance
the bar represents our permitted range. The luminosity has been computed
by taking the apparent luminosity V=13.2 from de Vaucouleurs & Longo
(1988) and converting it into
with the
distance modulus of H99 based of the HB luminosity:
.
An error of 0.1 mag was assumed for the
catalog luminosity. Since the relation is steeper for [Fe/H], the
figure might be telling us that lower-mass galaxies undergo a
comparatively stronger metal enrichment than higher mass galaxies, when
going from intermediate-old populations to younger populations. (The
range of the y-axis is the same in both panels.) In a simple
closed-box picture of chemical evolution, this would mean
smaller galaxies converting more of their gas into stars.
However the figure might also be telling us that [O/Fe] is
enhanced in low-mass galaxies, as discussed in
Sect. 5.1. The scatter of the relations is probably
due to a combination of measurement errors, intrinsic abundance scatter,
and age differences of the metallicity tracers. Indeed
old-to-intermediate stars contribute to the
values
estimated with the color of the RGB, and intermediate-to-young
populations contribute to the
values from PNe and
H II regions.
Figure 5 shows that the value of
of Phoenix is more than 1-sigma above the average, for its luminosity.
There are several possible explanations for this fact. First, it is
possible that the PN's oxygen abundance would lead us to overestimate
the metallicity of the galaxy, as discussed in
Sect. 5.1. Indeed, recent theoretical AGB models by
Marigo (2001, M01) predict positive oxygen yields for
,
with a strong dependence on
metallicity. This occurs because, as metallicity decreases, the
thermal-pulse AGB phase increases its duration, therefore, it allows
more dredge-up episodes, which also happen to be more efficient. As we
found above, the progenitor star of Bennu is in the range
and so it is formally in the range where oxygen
enhancement is expected. However, in M01 models the yield has a maximum
for masses between
and
and it becomes
very modest below
.
On the other hand, the minimum
metallicity in M01 models is
,
and we might expect a
greater oxygen enhancement if the metallicity of Bennu is closer to -1as suggested by the argon abundance. Lacking a custom theoretical model
constructed for the Phoenix PN progenitor, the conclusion is that an
endogenous production of oxygen might explain the position of Phoenix in
the luminosity-metallicity relation
(see also Magrini et al. 2005, for an extensive discussion of oxygen
enhancement in PNe). Also taking argon as a metallicity
indicator (i.e. the lowest point of the error bar in the figure), the
abundance would be within the rms dispersion of the relation.
It is also possible that the progenitor was born
within an ISM recently enriched by type II SNe. But perhaps the problem
lies in the luminosity of the galaxy. The V luminosity is flagged
as ``Low quality data'' in the NASA/IPAC Extragalactic Database,
and for example the R luminosity from Lauberts and Valentijn (1989)
is 1 mag brighter. A luminosity of -11 would bring
the galaxy within the 1-sigma dispersion of the relation. And finally
another possibility is that the current mass of the galaxy is not
representative of the mass at the time when the PN was born. In fact,
M99 find that the radial profile of Phoenix can be well fit by a King
model, which suggests a tidal truncation by the gravitational field
of the Milky Way. It also means that part of the galaxy mass was lost
due to dynamical evolution, hence that the luminosity of Phoenix
was higher in the past.
6 Summary and conclusions
A planetary nebula was recently discovered in the Phoenix dwarf galaxy,
the first ever found in this stellar system. In this paper we presented
our follow-up spectroscopic data obtained at the ESO/VLT with FORS1.
With a total exposure time of 1.4 h we measured emission line
fluxes down to
erg cm-2 s-1. Such
high sensitivity allowed us to detect, together with the Balmer series,
all lines of oxygen, neon, sulfur, helium, argon, and nitrogen above
the quoted threshold. To calculate the abundances of these elements,
both the empirical method and photoionization modeling were employed.
The element-to-hydrogen abundance ratios were found to be consistent
with each other for the two methods, but the second method yields
more reasonable luminosity and temperature for the central star. The
oxygen abundance is greater than that of argon and sulfur. This
might be due to endogenous production of oxygen in the progenitor,
or it might be caused by a truly higher oxygen abundance of the ISM
where the progenitor was born. To decide between the two hypotheses,
an independent measurement of the abundance would be needed, which
however does not exist. Therefore we based our discussion on a metallicity
range comprised between
[m/H] = -1.03
(sulfur and argon abundances)
and [m/H] = -0.46
(oxygen abundance). Our conclusions would be essentially the same if we
restricted the metallicity range to what is allowed by argon and sulfur
alone.
Using VW04 tracks and Pietrinferni et al. (2004)
isochrones, we found that the progenitor star of Bennu should have
an age between 2.0
and 13.7 Gyr. The more restrictive
low metallicity would give an age
Gyr,
so despite a considerable uncertainty, the Phoenix PN allows us putting
a constrain on the galaxy's age-metallicity relation. This shows that
existing AMRs underestimate the metallicity at intermediate ages by as
much as
0.6 dex, even when adopting the most restricted [m/H]
range.
Within the general picture of LG dwarf galaxies, the presence of a PN in Phoenix is unexpected given the galaxy's low luminosity (Corradi & Magrini 2006). Moreover, an extrapolation of a linear L-Z relation to the luminosity of Phoenix would suggest that the metallicity of the galaxy is larger than that of other LG galaxies of comparable luminosity (at an intermediate age). On the other hand, there are no other galaxies at such low luminosity with measured nebular oxygen abundance, so it might be possible that the relation simply deviates from linearity for the lowest mass galaxies. Another possibility is that the problem resides in the luminosity. The galaxy might be more luminous than quoted in the literature, so a modern measurement of the integrated light would be very desirable. It is also very likely that Phoenix lost a fraction of its mass through tidal interaction with the gravitational potential of the Milky Way (M99), so its representative point in the L-Z relation should be moved to higher values of L. This would also help with the PN-number vs. luminosity relation, thereby explaining the presence of Bennu.
In conclusion, this work demonstrates that the detection of even a single PN in a dwarf galaxy can provide essential information on its chemical and dynamical evolution, and it can lead to a better understanding of its past star formation history and mass build-up.
Acknowledgements
David Martínez-Delgado-Delgado identified the candidate PN during run 63.I-0642 by blinking the V and R images. This research has made use of the NASA/IPAC Extragalactic Database (NED), which is operated by the Jet Propulsion Laboratory, California Institute of Technology, under contract with the National Aeronautics and Space Administration. We thank the referee Romano Corradi for a meticulous examination of our paper, which led to a substantially improved manuscript.
Appendix A: Photoionization model outputs
Two-sector models (``D'') using standard assumptions (Table 4) and one-sector models (``S''), labeled by





Computed [S II] and [S III] intensities for D135 suggest that S/Ar may
be up to twice higher than the adopted solar value, but this is not
judged significant, given the weakness of observed [S III] 6312. From the strongest predicted iron line, [Fe VI]
5145, an upper limit to Fe/H is twice the adopted value, so
that Fe/Ar is less than 0.25 solar: as in the usual PNe, most of the
iron is likely to be locked into dust grains. In
Table A.1, the ratio [Ar IV]
4711+/
4740 increases with
due to the growing
contribution of [Ne IV].
For single-sector uniformly matter-bounded models to simultaneously account for
He II and [O II] requires, at the same time, a high
,
a low L, and small
ionization parameter (large
and/or large
). These models typically fail to reproduce the argon ionization
balance, underestimating the [Ar IV]/[Ar III] ratio by factors of
3, and imply high He/H ratios (in the models displayed, He/H is
too low). These models are rejected, as well as their low value of
O/H. Any positive detection of [O I] would further invalidate the
single-sector assumption.
Table A.1: Model parameters and results.
Appendix B: The central star parameters
Uncertainties affecting the model geometry and the spectroscopic
constraints can enlarge the domain of acceptable solutions in the (
,
L) plane. Uncertainties on L, related to
and to
[Ar IV]/[Ar III], amount to a factor of 1.6 and are therefore not too
influential in the interpretation of the stellar parameters
(Sect. 5). This factor, obtained assuming a factor
1.45 uncertainty on [Ar IV]/[Ar III], allows for both observational and
theoretical uncertainties (the recombination coefficients for argon are
inaccurate, e.g., Dudziak et al.
2000). The range of accessible
is controlled by the
assumed value of
(H) (Table 5) and,
particularly, the intensity of He I
5876. The computed He I increases rapidly towards low values of
(alias
)
because He/H
must increase to account for He II (see model D105, Col. 2 of
Table A.1). In addition, the assumption of a strict
black body for the central star, useful in accounting for the strong
He II line, is more likely to break down for lower
's due to the
occurrence of a discontinuity at the ionization limit of He+ (e.g.,
Rauch 2003), thus exacerbating the problem. By itself, the
increase in He/H strongly militates against values of
that are too
low. Thus, a lower limit to
is likely close to 120 kK,
corresponding to a minimum
105 kK (Eq. (2)). On the other
hand, trial computations showed that dividing the present
He I line intensity by 1.33, models could be obtained up to
= 160 kK
(D160, Col. 4 of Table A.1), equivalent to a maximum
145 kK. In fact, a few models re-converged using stellar
atmosphere models (Rauch 2003; see Fig. 22 in Péquignot & Tsamis
2005)
showing that a more nearly correct maximum
is
almost 150 kK. More accurate He I line intensities are needed before the
range of possible
's can be narrowed. The derived standard He/H
(=0.108) is relatively large, suggesting that either the observed He II line intensity is slightly overestimated or some basic model assumption is
lacking. To our knowledge, only in a situation of chemical inhomogeneity of the
PN could the derived He/H be lowered (Péquignot et al. 2002). Indications in
favor of such a possibility are: (i) H
is observed to be stronger than
expected; and (ii) the [S II] + C III
4069 and
C IV + [Fe III]
4658 blends are severely underestimated in all models
(Table A.1). These spectral regions include C and O
recombination multiplets, which
in many PNe can only be accounted for with models that harbor
H-deficient inclusions (Péquignot et al. 2002). The current
observations of Bennu are not deep enough to allow us to pursue this
possibility further.
References
- Allende-Prieto, C., Lambert, D. L., & Asplund, M. 2001, ApJ, 556, 63 [NASA ADS] [CrossRef]
- Asplund, M., Grevesse, N., & Sauval, A. J. 2005, ASPC, 336, 25 [NASA ADS]
- Benjamin, R. A., Skillman, E. D., & Smits, D. P. 1999, ApJ, 514, 307 [CrossRef] (In the text)
- Buyle, P., Michielsen, D., de Rijcke, S., Ott, J., & Dejonghe, H. 2006, MNRAS, 373, 793 [NASA ADS] [CrossRef] (In the text)
- Buzzoni, A., Arnaboldi, M., & Corradi, R. L. M. 2006, MNRAS, 368, 877 [NASA ADS] [CrossRef] (In the text)
- Canterna, R., & Flower, P. J. 1977, ApJ, 212, L57 [NASA ADS] [CrossRef] (In the text)
- Carignan, C., Demers, S., & Côté, S. 1991, ApJ, 381 [CrossRef] L13 (In the text)
- Clegg, R. E. S., Harrington, J. P., Barlow, M. J., & Walsh, J. R. 1987, ApJ, 314, 551 [NASA ADS] [CrossRef] (In the text)
- Corradi, R. L. M., & Magrini, L. 2006, in Planetary nebulae beyond the Milky Way, ed. Stanghellini, L., Walsh, J. R., & Douglas, N. G. (Berlin: Springer), 36 (In the text)
- de Vaucouleurs, A., & Longo, G. 1988, Catalogue of visual and infrared photometry of galaxies from 0.5 micrometer to 10 micrometer (1961-1985), University of Texas Monographs in Astronomy (In the text)
- Dudziak, G., Péquignot, D., Zijlstra, A. A., & Walsh, J. R. 2000, A&A, 363, 717 [NASA ADS] (In the text)
- Exter, K. M., Barlow, M. J., & Walton, N. A. 2004, MNRAS, 349, 1291 [NASA ADS] [CrossRef] (In the text)
- Gallart, C., Martínnez-Delgado, D., Gómez-Flechoso, M. A., & Mateo, M. 2001, AJ, 121, 2572 [NASA ADS] [CrossRef] (In the text)
- Gallart, C., Aparicio, A., Freedman, W. L., et al. 2004, AJ, 127, 1486 [NASA ADS] [CrossRef] (In the text)
- Hamuy, M., Suntzeff, N. B., Heathcote, S. R., et al. 1994, PASP, 106, 566 [NASA ADS] [CrossRef] (In the text)
- Held, E. V., Saviane, I., & Momany, Y. 1999, A&A, 345, 747 (H99) (In the text)
- Hidalgo, S. L., Aparicio, A., & Martínenez-Delgado, D. 2007, in preparation (In the text)
- Holtzman, J. A., Smith, G. H., & Grillmair, L. 2000, AJ, 120, 3060 [NASA ADS] [CrossRef] (In the text)
- Howarth, I. D., Murray, J., Mills, D., & Berry, S. 1998, Starlink User Note 50.12 (In the text)
- Irwin, M., & Tolstoy, E. 2002, MNRAS, 336, 643 [NASA ADS] [CrossRef] (In the text)
- Jackson, D. C., Cannon, J. M., Skillman, E. D., et al. 2006, ApJ, 646, 192 [NASA ADS] [CrossRef] (In the text)
- Kaler, J. B., & Jacoby, G. H. 1989, ApJ, 345, 871 [NASA ADS] [CrossRef] (In the text)
- Kingsburgh, R. L., & Barlow, M. J. 1994, MNRAS, 271, 257 (In the text)
- Kniazev, A. Y., Grebel, E. K., Pustilnki, S. A., & Pramskij, A. G. 2007, A&A, 468, 121 [NASA ADS] [CrossRef] [EDP Sciences] (In the text)
- Lauberts, A., & Valentijn, E. A. 1989, The Surface Photometry Catalogue of The ESO-Uppsala Galaxies, ESO, Garching Bei Munchen (In the text)
- Leisy, P., & Dennefeld, M. 2006, A&A, 456, 451 [NASA ADS] [CrossRef] [EDP Sciences] (In the text)
- Lodders, K. 2003, ApJ, 591, 1220 [NASA ADS] [CrossRef] (In the text)
- Magrini, L., Leisy, P., Corradi, R. L. M., et al. 2005, A&A, 443, 115 [NASA ADS] [CrossRef] [EDP Sciences] (In the text)
- Marigo, P. 2001, A&A, 370, 194 [NASA ADS] [CrossRef] [EDP Sciences] (In the text)
- Martínez-Delgado, D., Gallart, C., & Aparicio, A. 1999, AJ, 118, 862 [CrossRef] (M99) (In the text)
- Mateo, M. 1998, ARA&A, 36, 435 [NASA ADS] [CrossRef] (In the text)
- Ortolani, S., & Gratton, R. G. 1988, PASP, 100, 1405 [CrossRef] (In the text)
- Peña, M., Richer, M., & Stasinska, G. 2007, RMxAC, 29, 83 [NASA ADS] (In the text)
- Péquignot, D., & Tsamis, Y. G. 2005, A&A, 430, 187 [NASA ADS] [CrossRef] [EDP Sciences] (In the text)
- Péquignot, D., Walsh, J. R., Zijlstra, A. A., & Dudziak, G. 2000, A&A, 361, L1 [NASA ADS] (In the text)
- Pietrinferni, A., Cassisi, S., Salaris, M., & Castelli, F. 2004, ApJ, 612, 168 [NASA ADS] [CrossRef] (In the text)
- Pont, F., Zinn, R., Gallart, C., Hardy, E., & Winnick, R. 2004, AJ, 127, 840 [NASA ADS] [CrossRef] (In the text)
- Rauch, T. 2003, A&A, 403, 709 [NASA ADS] [CrossRef] [EDP Sciences] (In the text)
- Richer, M. G., & McCall, M. L. 2007, ApJ, 658, 328 [NASA ADS] [CrossRef] (In the text)
- Schuster, H.-E., & West, R. M. 1976, A&A, 49, 129 [NASA ADS] (In the text)
- Shields, G. A. 2002, RMxAC, 12, 189 [NASA ADS] (In the text)
- Smits, D. P. 1996, MNRAS, 278, 683 [NASA ADS] (In the text)
- Stasinska, G., & Izotov, Y. 2003, A&A, 397, 71 [NASA ADS] [CrossRef] [EDP Sciences] (In the text)
- St-Germain, J., Carignan, C., Côte, S., & Oosterloo, T. 1999, AJ, 118, 1235 [CrossRef] (In the text)
- Storey, P. J., & Hummer, D. G. 1995, MNRAS, 272, 41 [NASA ADS] (In the text)
- Stoy, R. H. 1933, MNRAS, 93, 588 (In the text)
- van de Rydt, F., Demers, S., & Kunkel, W. W. 1991, AJ, 102, 130 [NASA ADS] [CrossRef] (In the text)
- Vassiliadis, E., & Wood, P. R. 1994, ApJS, 92, 125 [NASA ADS] [CrossRef] (In the text)
- Young, L. M., & Lo, K. Y. 1997, ApJ, 490, 710 [NASA ADS] [CrossRef] (In the text)
- Young, L. M., Skillman, E. D., Weisz, D. R., & Dolphin, A. E. 2007, ApJ, 659, 331 [NASA ADS] [CrossRef] (In the text)
- Zanstra, H. 1927, ApJ, 65, 50 [NASA ADS] [CrossRef] (In the text)
- Zijlstra, A. A., & Pottasch, S. R. 1989, A&A, 216, 245 [NASA ADS] (In the text)
- Zijlstra, A., Gesicki, K., Walsh, J. R., et al. 2006, MNRAS, 369, 875 [NASA ADS] [CrossRef] (In the text)
Footnotes
- ...
- Based on data collected at the European Southern Observatory, VLT, Chile, Proposal N. 076.D-0089(A).
- ... tool
- http://www.ls.eso.org/
- ... intensity
- Correction for the He II contribution is calculated from theoretical He II line ratios to the uncontaminated He II 4686 Å flux.
All Tables
Table 1: Observed line fluxes.
Table 2: Empirical ionic abundancesa and ICF values for two electron densities.
Table 3: Abundances of Bennu vs. solara.
Table 4: Constraints on model parameters.
Table 5: Range of model parameters for ``exact'' solutions.
Table A.1: Model parameters and results.
All Figures
![]() |
Figure 1:
Finding chart for the Phoenix planetary nebula, obtained from FORS1
V-band imaging. The lower two insets show the appearance of the nebula
in the H |
Open with DEXTER | |
In the text |
![]() |
Figure 2: The calibrated and sky-subtracted spectrum of Bennu, above, and again below, scaled to highlight the fainter lines. |
Open with DEXTER | |
In the text |
![]() |
Figure 3:
The theoretical, H-burning WD tracks from VW94 are represented here
in the
|
Open with DEXTER | |
In the text |
![]() |
Figure 4:
The dependence of the progenitor mass on the metallicity of the best-fitting
WD track is illustrated by this plot. The lines are least-square fits
to the discrete points corresponding to
three of
the four metallicities available
in VW94 tracks (see Fig. 3). The fits have been repeated for the
two combinations of
|
Open with DEXTER | |
In the text |
![]() |
Figure 5:
The luminosity-metallicity relation for Local Group galaxies, with
data from Corradi (priv. comm.); the [Fe/H] values come from stellar
results (old-intermediate populations) and [O/H] is from nebular
abundances (PNe and H II regions; intermediate-young populations).
MV were taken from Mateo (1998). The dashed
line represents an unweighted linear fit, while the dotted lines represent
the |
Open with DEXTER | |
In the text |
Copyright ESO 2009
Current usage metrics show cumulative count of Article Views (full-text article views including HTML views, PDF and ePub downloads, according to the available data) and Abstracts Views on Vision4Press platform.
Data correspond to usage on the plateform after 2015. The current usage metrics is available 48-96 hours after online publication and is updated daily on week days.
Initial download of the metrics may take a while.