Issue |
A&A
Volume 494, Number 3, February II 2009
|
|
---|---|---|
Page(s) | 817 - 827 | |
Section | Astrophysical processes | |
DOI | https://doi.org/10.1051/0004-6361/200809916 | |
Published online | 30 January 2009 |
Negative feedback effects on star formation history and cosmic reionization
L. Wang1 - J. Mao2 - S. Xiang1 - Y.-F. Yuan1
1 - Center for Astrophysics, University of Science and Technology
of China, Hefei, 230026, PR China
2 - Yunnan Observatory, National Astronomical Observatories, Chinese Academy of
Sciences, PO Box 110, Kunming, Yunnan Province, 650011, PR China
Received 6 April 2008 / Accepted 18 November 2008
Abstract
Context. The mechanical and radiative feedback that exists in the star formation history affects the subsequent star formation rate.
Aims. After considering the effects of negative feedback on the process of star formation, we explore the relationship between star formation process and the associated feedback, by investigating how the mechanical feedback from supernovae(SNe) and radiative feedback from luminous objects regulate the star formation rate and therefore affect the cosmic reionization.
Methods. Based on our present knowledge of the negative feedback theory and some numerical simulations, we construct an analytic model in the framework of the Lambda cold dark matter model. In certain parameter regions, our model can explain some observational results properly.
Results. In large halos (
K), both mechanical and radiative feedback have a similar behavior: the relative strength of negative feedback reduces as the redshift decreases. In contrast, in small halos (
K) that are thought to breed the first stars at early time, the radiative feedback gets stronger when the redshift decreases. And the star formation rate in these small halos depends very weakly on the star-formation efficiency.
Conclusions. Our results show that the radiative feedback is important for the early generation stars. It can suppress the star formation rate considerably. But the mechanical feedback from the SNe explosions is not able to affect the early star formation significantly. The early star formation in small-halo objects is likely to be self-regulated. The radiative and mechanical feedback dominates the star formation rate of the PopII/I stars all along. The feedback from first generation stars is very strong and should not be neglected. However, their effects on the cosmic reionization are not significant, which results in a small contribution to the optical depth of Thomson scattering.
Key words: methods: analytical - cosmology: theory - Galaxy: evolution - stars: formation
1 Introduction
In the past decades, the so-called ``bottom-up'' hierarchical scenario for the large-scale structure formation in the Lambda cold dark matter (CDM) cosmogonies has been getting decisive support from more and more observations (e.g. from HST, WMAP, SDSS) and from high-resolution N-body/hydrodynamics numerical simulations. Owing to the complexity of the baryonic evolution in the radiative background and gravitational field, the galaxy formation and evolution in dark matter halos and the reionization history of IGM have not been fully understood yet. The difficulties stem from our lack of knowledge of those early formed objects that are unobservable at present. The formation of the first objects is relevant to the cosmic reionization history. Recent detections of the Gunn-Peterson trough (Gunn & Peterson 1965) in the spectra of QSOs with
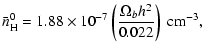
indicate less 50% neutral hydrogen at
(Wyithe et al. 2005; Fan et al. 2006). The ongoing observations by the WMAP satellite of
cosmic microwave background (CMB) and the highest redshift QSOs put very tight constraints on the reionization history of the Universe. The WMAP five-year observation manifests the Thomson scattering optical depth,
(Komatsu et al. 2008), which suggests that our Universe might be reionized during the period of redshift
.
It is well-known that chemical elements heavier than lithium are produced exclusively through stellar nucleosynthesis. Some of the first generation stars (the so-called population III stars, hereafter, PopIII) die as SNe explosions, which can expel heavier elements into the intergalactic medium (IGM). When the metal elements in IGM are enriched to a certain threshold
,
the population II/I stars (hereafter PopII/I) will form and take the place of the first stars to light the universe. Thence, the SNe from PopIII stars determine the transition from PopIII to PopII/I. The existence of PopIII stars can help in explaining the metal enrichment from
to the lowest metallicity of PopII stars
,
the formation of massive black holes, the reionization of the universe, the starting engine for the formation of the first galaxies and the G-dwarf, and so on (Ciardi & Ferrara 2005). But there is still no hope in observing the first generation stars until the launch of the James Webb Space Telescope (JWST), the successor of the Hubble Space Telescope (HST) (Barkana & Loeb 2001). JWST is expected to find the pair instability SNe (PISNe) from massive PopIII stars (Wise & Abel 2005).
Due to the absence of the observational data of very high-redshift () objects, theoretical investigations are mainly based on numerical simulations. Some works concentrated on the effects of
the first-generation SNe explosions (Kitayama & Yoshida 2005; Greif et al. 2007; Yoshida et al. 2003), while the others focused on the strong stellar and galactic winds from PopIII stars (Ricotti et al. 2008; Meynet et al. 2006). Based on these
works, we put forward a model to describe the global effects from the PopIII stars at an early time, such as the SFR density, the IGM reionization, and so on.
In this paper, we study the effects of the mechanical feedback from SNe and the radiative feedback from stars and UV background, especially the negative feedback effects on the SFH and the cosmic reionization history. The radiative feedback from PopIII stars includes the ISM photoevaporation
and IGM reionization. The outline of this paper is as follows. In Sect. 2, we describe the
evolution of dark matter halos in the CDM model. Within this framework, the SFR in a halo can be expressed as an analytic formula with some free parameters. Mechanical feedback from stars is studied in Sect. 3. In Sect. 4, we introduce an analytic model to deal with the radiative feedback from PopIII. Finally, our discussion and conclusions are presented in the last section. Throughout this paper, we adopt the cosmological parameters consistent with the 5 years WMAP data:
,
,
,
h = 0.7,
(Komatsu et al. 2008).
2 Cold dark matter model and star formation in galaxies
2.1 Redshift evolution of dark matter halos
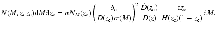
In the hierarchical clustering scenario of CDM halos, a simple and successful model for the formation and distribution of spheroidal or ellipsoidal collapsing objects was presented in last century based on the theory of Gaussian random fields about cosmological density perturbation (Bardeen et al. 1986; Press & Schechter 1974). In this scenario, gravity governs almost the whole process. The dark matter halos increase their own mass through accreting matter and merging with each other (Lacey & Cole 1993). Based on this model, Sasaki (1994) proposed an analytic formula to describe the formation
and evolution of the CDM halos. In this formalism, the number density of collapsed objects with mass in the range
,
which are formed at the redshift interval
and survive till redshift z, is (Sasaki 1994; Chiu & Ostriker 2000),
Here the overdot represents the time derivative, and









2.2 Star-formation rate in galaxies and the cosmic SFR density
Stars or even galaxies are confirmed to form through cooling and condensation of baryons within the DM halos (White & Rees 1978). The formation and evolution of galaxies and the associated star formation histories have been studied extensively via both numerical simulations and semi-analytic
models (Springel & Hernquist 2003; Chiu & Ostriker 2000; Nagamine et al. 2006; Choudhury & Srianand 2002; Cen & Ostriker 1992). Following Cen & Ostriker (1992), Chiu & Ostriker (2000) and Choudhury & Srianand (2002), we assume that the SFR in a halo with mass M at z that has collapsed at an earlier redshift
,
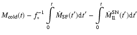
is given by
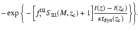
Here, f*, t(z),




and here,

The duration of star formation activity in a halo depends on the value of




Consequently, the cosmic SFR per unit comoving volume (SFR density, hereafter SFRD) at a redshift z can be written as
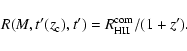
where the lower mass cutoff

where the circular velocity














On the other hand, the Lyman-Werner (912-1108 Å) background can also inhibit the star formation (Haiman et al. 1997; Yoshida et al. 2003; Ricotti et al. 2002a). However, it is interesting that the positive feedback of H2 re-formation (e.g. in front of HII regions and inside relic HII regions) can counterbalance the negative feedback from LW background (Ricotti et al. 2001,2002a). As a consequence, the formation of small-mass galaxies is not suppressed, so in this paper we do not consider the LW background feedback by assuming that positive feedback dominates and star formation in small galaxies is not suppressed.
2.3 PopIII mass fraction
With the evolution of the Universe, the characteristics of star formation changes from a metal-free, massive-star-dominated (PopIII) mode to a metal-enriched, normal-star-dominated (PopII/I) mode.
Numerical simulations indicate that this transition occurs when the metal has been enriched to a critical value,
(Bromm et al. 2003; Smith & Sigurdsson 2007). If most of the first generation stars die as PISNe, the volume-averaged mean metallicity would reach
at a redshift of
12-16 (Yoshida et al. 2004). It is suggested that the PopIII stars are terminated at
(Choudhury & Ferrara 2006; Salvaterra & Ferrara 2003; Ricotti et al. 2002b; Matsumoto et al. 2005).
Based on the above discussions, we assume a PopIII mass fraction,
,
which means the mass fraction of objects forming from gas with
at a redshift z, i.e. the sites of Pop
star formation (Scannapieco et al. 2003). Here
is merely a function of redshift z. The transition from PopIII to PopII/I should not happen suddenly at a certain
redshift, because chemical feedback is a local process: with regions close to star formation sites rapidly becoming metal-polluted and overshooting
,
and others remaining essentially metal-free. PopIII and PopII star formation modes could have been coeval (Ciardi & Ferrara 2005), so instead of assigning
a Heaviside function
,
here we introduce
a function:
,
in which
is a free parameter describing the transition speed. The
limit reproduces the sharp transition case. In this work, we take the transition redshift to be
,
and the free parameter
,
which ensures the mass fraction of PopIII is lower than 5 percent at
.
Now the SFRD can be rewritten as
for PopIII, and
for PopII/I.
3 Mechanical feedback processes
3.1 PopII/I SNe feedback
Table 1: Model parameters.
Mechanical feedback is associated with mechanical energy injection from SNe explosions and galactic winds. Most of works concentrate on the effects of the first-generation SNe explosions at very high redshift rather than the winds from metal-free stars (Kitayama & Yoshida 2005; Greif et al. 2007; Mori et al. 2002; Yoshida et al. 2003; Salvaterra et al. 2003).
A consequence of SNe explosions is to expel the gas out of the host halo partially (blow out) or totally (blow away) and reduce or empty the reservoir for subsequent star formation. Some numerical simulations show that one PopIII PISN
can deplete its host halo easily (discussed in the next subsection). But there are at least two reasons for an SN explosion of PopII/I not being capable of blowing the most gas out of its host halo: (i) its explosion energy is much lower than that of a PopIII star, and the disperse distribution of the lifetime of PopII/I stars cannot ensure enough number of the SNe per unit time to deplete the halo; (ii) a halo with virial temperature
K in the PopII/I epoch (
)
having mass of
,
corresponding to a binding energy
,
is able to prevent an SN explosion of PopII/I (generally
)
from expelling most gas out of the halo, because for halos with mass
the star formation will not be quenched even if
exceeds the binding energy of halos
by 2 orders of magnitude (Kitayama & Yoshida 2005). Furthermore, the enriched metallicity can enhance the gas cooling, which can also help to
hold the escaping gas back.
However, the huge energy generated by a (PopII/I) SN explosion can, at least, partially heat the cold gas even in a high-metallicity environment. This normal SNe feedback has been extensively studied both in terms of SNe explosions and galactic outflows. Due to the feedback of supernovae explosions, the gas will be removed from the cold phase at the rate (Granato et al. 2004):
where











where


3.2 Mechanical feedback from first-generation stars
The ultimate fate of a metal-free star depends critically on its mass (Heger et al. 2003; Heger & Woosley 2002): (1)
(these stars explode as core-collapse SNe and leave neutron stars behind); (2)
(these explode as faint type II SNe and
leave black holes behind); (3)
(these do not
explode as SNe and directly collapse into black holes
); (4)
(these explode as PISNe, causing complete disruption);
(5)
(these collapse, in the absence of rotation, directly
into black holes), so not all the PopIII stars can die as an SN explosion. We employ a slightly top-heavy IMF (Larson 1998) for PopIII stars (
):
where







The photoevaporation effect might be particularly important for PopIII objects (Ciardi & Ferrara 2005). In small-halo objects (
K), photoevaporation alone from OB stars can produce strong galactic winds that expel most of the gas from galaxies. Galactic winds produced by an SN explosion may be important after about 10 Myr (Ricotti et al. 2008). Because the internal photoevaporation in a PopIII object is able to deplete most of the gas before the first SNe explode, in fact, the first SNe explosions have no chance to exert negative feedback on the star formation in these halos.
Finally we only consider the SNe feedback in halos of
K in this paper. For those big halos (
K), the high cooling effect and deeply gravitational well can confine the gas photoevaporation. And even the most powerful PISN (
)
cannot significantly blow the gas away (Kitayama & Yoshida 2005). In reference to the mechanism of the SNe feedback of PopII/I, we use the same formula but with different parameters to describe
the PopIII-SNe feedback in these halos (
),
Here





where



![]() |
Figure 1:
Evolution of SFRD with the redshift z. Left panel: the crossed data points are taken from Hopkins & Beacom (2006). The squared ones come from Reddy et al. (2008). Three circled points are from the UDF data (Bouwens et al. 2005). The dashed line represents the PopII/I SFRD without SNe feedback, while the dot-dashed one with the SNe feedback. Right panel: the original
SFRD of PopIII (
|
Open with DEXTER |
Figure 1 shows the SNe feedback in PopIII (
K) and PopII/I halos. In the left panel, we scale down all the observation data by a factor 1.9 to make it consistent with the IMF used in our model (
= 0.5
,
= 100
for Pop
stars and Salpeter type IMF). In the right panel, the original SFRD of PopIII (
K) is cut down about one order of magnitude by the SNe feedback.
Figure 1 manifests the relative feedback strength of SNe feedback [
or
]
reduces as the redshift decreases, because massive halos appear abundant only at low redshift according to the ``bottom-up'' hierarchical structure model (see Mo & White 2002, for details) and massive halos whose binding energy is much higher than before can reduce the feedback effect from SNe explosions. On the other hand, massive stars disappear as the metallicity
of gas is enriched. Small star formation with a long lifetime and small
is enhanced in the metal-enriched cloud.
4 Radiative feedback and cosmic reionization
The ionizing radiation produced by massive stars or quasars can have local effects or long-range effects, either affecting the formation and evolution of nearby objects or joining the radiation produced by other galaxies to form a background. Mini-QSOs that are usually thought to be powered by accretion onto the first black holes may provide an X-ray background when the universe has a certain number of mini-QSOs in a unit comoving volume. This background would ionize the HI to H+ and e- by direct photoionization or collisional excitation from a high-energy photoelectron produced by photoionization. If this event occurs at the core of a protogalaxy, the fraction of molecular hydrogen would be promoted (Haiman et al. 2000; Glover & Brand 2003) via
Dijkstra et al. (2004) and Salvaterra et al. (2005) show that the hard X-ray from the same sources will produce a present-day soft X-ray background. They find that the models with accreting black holes will overproduce the observed X-ray background by a large factor. A population dominated by mini-QSOs could still partially ionize the IGM at z>6, but its contribution can be severely constrained if the X-ray background is resolved further into discrete sources. By considering the constraint from the soft X-ray background, Ricotti & Ostriker (2004b) show that mini-quasars at high-z do not overproduce the X-ray background and can still produce a significant contribution to reionization and the optical depth of electrons

Based on the investigation of the environment and reionization process around the highest redshift QSOs having Gunn-Peterson troughs (z > 6.1), Yu & Lu (2005) argue that a significant fraction of hydrogen in the Stromgren sphere around QSOs is ionized by photons from stars and that only about several percent to at most
of the total hydrogen is left (e.g., in minihalos, halos, or high-density subregions) to be ionized by QSO photons. Willott et al. (2005) show that the current constraints on the quasar population give an ionizing photon density
that of the star-forming galaxy population by analyzing the observational data from the Canada-France-Hawaii Telescope. They conclude that active galactic nuclei make a negligible contribution to the reionization of hydrogen at
.
But this argument only applies to quasars at
,
one can still have a high-z population of mini-quasars that partially ionize the IGM at z>10 without
overproducing the X-ray background (Ricotti et al. 2005).
Pre-ionization by X-rays can increase the IGM optical depth from
given by stellar sources only to
(Ricotti & Ostriker 2004b). From
years ago,
it was necessary to fit an observational value of
measured by WMAP satellite. Recent WMAP data indicating
maybe imply that pre-ionization by X-rays is not as important as before. In this paper, we focus on the ionization by stellar sources and ignore the effects from QSOs or mini-QSOs. We will consider the AGN feedback carefully in the work in preparation.
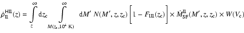
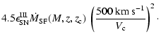
4.1 Photoevaporation in small-halo objects (T vir<104 K)
Pop
stars quite likely reside in small DM halos and a metal-free environment. It benefits the photons escaping and the radiative cooling. As mentioned in the last section, photoevaporation is important in small-halo objects (
K, e.g. most of the Pop
halos). It can prevent the size of HII regions from exceeding
,
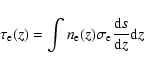
the mean free path of ionizing photons, about the size of the dense filaments and the virial radii of the halos (Ricotti et al. 2002b). When the HII regions become bigger than the filaments, molecular hydrogen is destroyed and the star formation is suppressed. An analytic model has been developed to describe the propagation of ionization fronts in the IGM (Barkana & Loeb 2001):
where








where
![[*]](/icons/foot_motif.gif)
![]() |
|||
![]() |
(17) |
and



where









![]() |
(19) |
where





![]() |
(20) |
We illustrate this relationship in Fig. 2, where





![[*]](/icons/foot_motif.gif)
![]() |
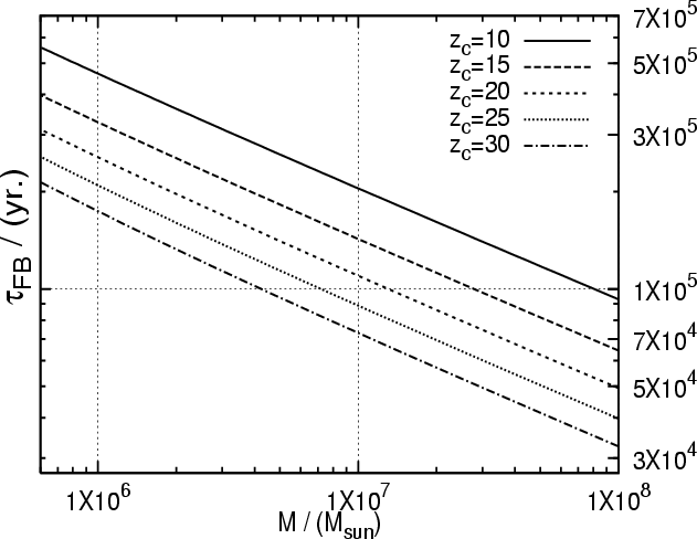
Figure 2:
The duration time of star formation
|
Open with DEXTER |
Now we can calculate the SFRD in PopIII halos with
K by using
where




![]() |
Figure 3:
Evolution of SFRD as a function of the redshift z with/without the photoevaporation feedback effect. The solid line represents the SFRD without feedback. The dotted one stands for the case that the SF is suppressed by photoevaporation. Both of them represent the PopIII SFRD in halos with
|
Open with DEXTER |
4.2 Radiative feedback in large halos (T vir>104 K)
For halos with
higher than the cooling temperature of the hydrogen atoms (104 K), gas cools via HI emission lines, and the photoevaporation by internal sources cannot expel gas significantly. But the ionizing background can still suppress some small halos in which the star formation is about to initiate. Due to the IGM reionized by UV photon escape from star-forming
galaxies, the temperature of the gas in halos is enhanced. This can dramatically increase the Jeans mass. Furthermore, numerical simulations indicate that the photoionizing background can completely suppress galaxy formation in halos with circular velocity
km s-1, while the mass of cooled baryons is reduced by 50% for halos with circular velocities
50 km s-1 (Thoul & Weinberg 1996). In the ionized fraction of the universe, we assume complete
suppression of star formation in halos below circular velocity
km s-1 and no suppression above circular velocity of 95 km s-1. For intermediate masses, we adopt a linear fit from 1 to 0 for the suppression factor (as in Bromm & Loeb 2002). Thus in the HII region the SFRD can be expressed by
for PopII/I and
for PopIII, where

![]() |
Figure 4: Evolution of SFRD in two extreme cases: the stars form in the completely reionized universe (HII region, the dashed line) and in the completely neutral universe (HI region, the dot-dashed line in the lefthand panel and the dotted line in the right one). Observational data are the same as Fig. 1. |
Open with DEXTER |
We plot two extreme cases in Fig. 4: the stars form in the completely reionized universe in HII region and in the completely neutral universe in HI region. This radiative feedback from PopII/I(
)
and PopIII has the same behavior: feedback gets stronger when redshift increases. Similar to the SNe mechanical feedback mentioned above, the more massive the halo, the less the SF can be affected.
For the ionized fraction of the universe at a given redshift z, it can be described by the
following equation. For simplicity, we assume that all the Lymann continuum photons escape from a star-forming galaxy are involved in reionizing the IGM, and the photons emitted from the sources will immediately join the action with the atom, regardless of the photon propagation between the source and the atom. Then the fraction of ionized hydrogen
,
the so-called filling factor, evolves as (Barkana & Loeb 2001),
where the volume-averaged clumping factor of the IGM, C, is defined as



where





![[*]](/icons/foot_motif.gif)

By solving Eq. (25) (see Appendix B for detail), one can find that SF and reionization affect each other. When star formation gets high, HI ionization becomes strong and star formation is suppressed. Hopefully, JWST can help us to understand their relationship (SF and reionization) exactly. The result is plotted in Fig. 5 (left panel). One may find that the solid line separates from the SFRD(PopII/I+PopIII) in HI region and eventually merges into the SFRD line
in HII region as the filling factor
(see Fig. 6) increases from zero to unit. The PopIII SFRD in halos of
K is taken into account in the
in Fig. 5. By comparing these two panel, we can find that the main part of PopIII SFRD is still contributed by those stars in small-halo objects. Since the PopIII PISNe contaminate the IGM with heavy elements at very high efficiency (recall the ultimate fate of metal-free stars), PopIII ends its era by itself quickly (survival time
2
108 yr). The ignition of
PopII stars makes the reionization continue and eventually completes it at
.
The reionization history and the optical depth of electrons are plotted in Fig. 6. Here we take the singly ionized HeII into account in
in Fig. 6. The equation for calculating the optical depth of electrons is:
![]() |
(27) |
where











![]() |
Figure 5:
Evolution of SFRD with feedback. Right panel: the solid line stands for the SFRD in halos of
|
Open with DEXTER |
![]() |
Figure 6:
Evolution of the filling factor
|
Open with DEXTER |
5 Discussion and conclusions
In this paper we develop an analytic model of the mechanical and radiative feedback of star formation based on some results of numerical simulations. Basically, our results can fit the observational data. However, this model also depends on some initial parameters (most of them are listed in Table 1) and working assumptions.
- (i)
- It is possible to fit the reionization result from the highest QSOs observation by providing another pair of
and
. This is because the IGM reionization mainly depends on
and
. The value of
is nearly fixed under certain conditions (e.g. metallicity, IMF, and stellar mass range), but lacking the SFRD observational data constraint on
, one can find many pairs of
and
by keeping
invariant to guarantee
.
- (ii)
- As for the assumption on
, there are a lot of similar functions. This is an uncertainty factor in this model. Hopefully, it may be determined by the numerical simulations and even the future JWST observation.
- (iii)
- We only consider the negative feedback in this work, the neglect of some positive feedback, such as the X-ray background or dense shell (from SNe explosions) fragmentation, results in the underestimation of the SFRD,
,
, and so on. This is what we will investigate in the next work.
- (iv)
- Although we can fit the optical depth to Thomson scattering in this work, it does not mean the X-ray pre-ionization is not important. Obviously, our results are close to the low fringe of the error bar. Perhaps, the left space in the error bar is waiting for the contribution from X-ray pre-ionization.
- 1.
- The SNe feedback can suppress the star formation in large halos (
K). And the relative feedback strength of SNe feedback [
or
] reduces as the redshift decreases, because massive halos appear abundant at low redshift and massive halos whose binding energy is much higher than before can reduce the feedback effect from SNe(see Eqs. (8) and (11)).
- 2.
- The radiative feedback mechanism can affect the SFR in both small (
K) and large(
K) PopIII halos. In small halos, the shallow gravitational well and the poor cooling-efficiency cannot prevent the hot gas from escaping due to the strong photoevaporation from the massive OB stars. The radiative feedback can suppress the PopIII SFR considerably. In large halos, the ionizing background enhances the Jeans mass and makes the SFR suppressed more or less.
- 3.
- The SFRD in small PopIII halos (
K) is sensitive to
, which depends on
and
seriously. If
and
increases,
will decreases and so does the SFRD. Furthermore, our results support this viewpoint: early star formation is likely to be self-regulated (Kitayama & Yoshida 2005; Yoshida et al. 2003; Ciardi & Ferrara 2005; Ricotti et al. 2002a,2008,2002b).
- 4.
- Although PopIII stars have high value of
and
, they are not able to reionize the universe considerably (about
at
). And the optical depth to Thomson scattering provided by PopIII stars is less than
.

Acknowledgements
We thank Andrew Hopkins and Naveen Reddy for kindly providing the data on SFRD, Xu Kong for discussions, Li-Zhi Fang and M. Ricotti for comments. This work is partially supported by National Basic Research Program of China (2009CB824800), the National Natural Science Foundation (10733010,10673010,10573016), and the Program for New Century Excellent Talents in University.
Appendix A: How to get the SFR formula with SNe feedback
Following Cen & Ostriker (1992), a halo with mass M has the initial baryonic gas
.
Later on, partial baryonic gas condenses into cold gas
.
It is reasonable to assume that the rates of the mass change
are proportional to
at time t:
This is also an implicit assumption in Cen & Ostriker (1992). By solving Eq. (A.1) with the initial condition, we obtain
Cold gas can form stars with efficiency f*. And we assume that the newly formed star mass per unit time,


here
Solving Eq. (A.3) with


If we replace t with
![$\left[t(z)-t(z_{\rm c})\right]/ \left[\kappa t_{\rm dyn}(z_{\rm c})\right]$](/articles/aa/full_html/2009/06/aa09916-08/img225.gif)
![[*]](/icons/foot_motif.gif)

where the circular velocity


Solving Eq. (A.3) again with

where







![$\left[t(z)-t(z_{\rm c})\right]/ \left[\kappa t_{\rm dyn}(z_{\rm c})\right]$](/articles/aa/full_html/2009/06/aa09916-08/img225.gif)
and
Obviously, Eqs. (A.9) and (A.10) reduces to Eq. (2) when

Appendix B: Radiative feedback from massive stars
We focus on the radiative feedback from the ionizing background. Similar to Samui et al. (2007), we describe the strength of radiative feedback via the circular velocity of halos
and the fraction of ionized hydrogen
.
Considering the IGM in a unit volume after the ignition of the first stars, partial volume was reionized by the UV photons from massive stars in the massive halos(
K). For the ionized part of the halo, their SFR will be suppressed
by this ionizing background, which also depends on their mass. On the other hand, the SF will continue in the rest of the volume, where the IGM is neutral, so the total SFRD is contributed by
these two parts at the same time:
where




By combining Eqs. (26), (25) and (B.1), one can get,
here,


References
- Alvarez, M. A., Bromm, V., & Shapiro, P. R. 2006, ApJ, 639, 621 [NASA ADS] [CrossRef]
- Bardeen, J. M., Bond, J. R., Kaiser, N., & Szaly, A. S. 1986, ApJ, 304, 15 [NASA ADS] [CrossRef]
- Barkana, R., & Loeb, A. 2001, PhR, 349, 125 [NASA ADS] (In the text)
- Barkana, R., & Loeb, A. 2005, MNRAS, 371, 395 [NASA ADS] [CrossRef] (In the text)
- Bond, J. R., Arnett, W. D., & Carr, B. J. 1984, ApJ, 280, 825 [NASA ADS] [CrossRef]
- Bouwens, R. J., Illingworth, G. D., Thompson, R. I., & Franx, M. 2005, ApJ, 624, L5 [NASA ADS] [CrossRef] (In the text)
- Bouwens, R. J., Illingworth, G. D., Blakeslee, J. P., & Franx, M. 2006, ApJ, 653, 53 [NASA ADS] [CrossRef]
- Bromm, V., & Loeb, A. 2002, ApJ, 575, 111 [NASA ADS] [CrossRef] (In the text)
- Bromm, V., Yoshida, N., & Hernquist, L. 2003, Nature, 425, 812 [NASA ADS] [CrossRef]
- Cen, R., & Ostriker, P. 1992, ApJ, 339L, 113C [NASA ADS]
- Chiu, W. A., & Ostriker, J. P. 2000, ApJ, 534, 507 [NASA ADS] [CrossRef]
- Choudhury, T. R., & Srianand, R. 2002, MNRAS, 336, L27 [NASA ADS] [CrossRef]
- Choudhury, T. R., & Ferrara, A. 2006, MNRAS, 371, L55 [NASA ADS] [CrossRef] (In the text)
- Ciardi, B., & Ferrara, A. 2005, SSRv, 116, 625C [NASA ADS] (In the text)
- Dijkstra, M., Haiman, Z., & Loeb, A. 2004, ApJ, 613, 646 [NASA ADS] [CrossRef] (In the text)
- Eke, V. R., Cole, S., & Frenk, C. S. 1996, MNRAS, 282, 263 [NASA ADS] (In the text)
- Fan, X., Strauss, M. A., Richards, G. T., et al. 2006, AJ, 131, 1203 [NASA ADS] [CrossRef]
- Fang, T., & Cen, R. 2004, ApJ, 616, L87 [NASA ADS] [CrossRef] (In the text)
- Ferrarese, L. 2002, ApJ, 578, 90 [NASA ADS] [CrossRef] (In the text)
- Glover, S. C. O., & Brand, P. W. J. L. 2003, MNRAS, 340, 210 [NASA ADS] [CrossRef]
- Granato, G., De Zotti, G., Silva, L., Bressan, A., & Danese, L. 2004, ApJ, 600, 580 [NASA ADS] [CrossRef] (In the text)
- Greif, T. H., Johnson, J. L., Bromm, V., & Klessen, R. S. 2007, ApJ, 670, 1 [NASA ADS] [CrossRef]
- Gunn, J. E., & Peterson, B. A. 1965, ApJ, 142, 1633 [NASA ADS] [CrossRef] (In the text)
- Heckman, T. M., Lehnert, M. D., Strickland, D. K., & Armus, L. 2000, ApJS, 129, 493 [NASA ADS] [CrossRef]
- Haiman, Z., & Bryan, G. 2006, ApJ, 650, 7 [NASA ADS] [CrossRef]
- Haiman, Z., Rees, M. J., & Loeb, A. 1997, ApJ, 476, 458 [NASA ADS] [CrossRef]
- Haiman, Z., Abel, T., & Rees, M. J. 2000, ApJ, 534, 11 [NASA ADS] [CrossRef]
- Heger, A., & Woosley, S. E. 2002, ApJ, 567, 532 [NASA ADS] [CrossRef]
- Heger, A., Fryer, C. L., Woosley, S. E., Langer, N., & Hartmann, D. H. 2003, ApJ, 591, 288 [NASA ADS] [CrossRef]
- Hopkins, A., & Beacom, J. 2006, ApJ, 651, 142 [NASA ADS] [CrossRef] (In the text)
- Kitayama, T., & Yoshida, N. 2005, ApJ, 630, 675 [NASA ADS] [CrossRef]
- Komatsu, E., Dunkley, J., et al. 2008, ApJS, in press [arXiv:0803.0547] (In the text)
- Lacey, C., & Cole, S. 1993, MNRAS, 262, 627 [NASA ADS] (In the text)
- Lapi, A., Shankar, F., Mao, J., et al. 2006, ApJ, 650, 42 [NASA ADS] [CrossRef]
- Mao, J., Lapi, A., Granato, G. L., de Zotti, G., & Danese, L. 2007, ApJ, 667, 655 [NASA ADS] [CrossRef] (In the text)
- Matsumoto, T., Matsuura, S., Murakami, H., et al. 2005, ApJ, 626, 31 [NASA ADS] [CrossRef]
- Meynet, G., Ekstrom, S., & Maeder, A. 2006, A&A, 447, 623 [NASA ADS] [CrossRef] [EDP Sciences]
- Mo, H. J., & White, S. D. M. 2002, MNRAS, 336, 112 [NASA ADS] [CrossRef] (In the text)
- Mori, M., Ferrara, A., & Madau, P. 2002, ApJ, 571, 40 [NASA ADS] [CrossRef]
- Nagamine, K., Ostriker, J. P., Fukugita, M., & Cen, R. 2006, ApJ, 653, 881 [NASA ADS] [CrossRef]
- Nadyozhin, D. K. 2003, MNRAS, 346, 97 [NASA ADS] [CrossRef] (In the text)
- Press, W. H., & Schechter, P. 1974, ApJ, 187, 425 [NASA ADS] [CrossRef]
- Qiu, Jing-Mei, Shu, Chi-Wang, Liu, Ji-Ren, & Fang, Li-Zhi 2008, NewA, 13, 1 [NASA ADS] [CrossRef]
- Reddy, N. A., Steidel, C. C., Pettini, M., et al. 2008, ApJS, 175, 48R [NASA ADS] [CrossRef] (In the text)
- Ricotti, M., & Ostriker, J. P. 2004a, MNRAS, 350, 539 [NASA ADS] [CrossRef]
- Ricotti, M., & Ostriker, J. P. 2004b, MNRAS, 352, 547 [NASA ADS] [CrossRef] (In the text)
- Ricotti, M., Gnedin, N. Y., & Shull, J. M. 2001, ApJ, 560, 580 [NASA ADS] [CrossRef]
- Ricotti, M., Gnedin, N. Y., & Shull, J. M. 2002a, ApJ, 575, 33 [NASA ADS] [CrossRef]
- Ricotti, M., Gnedin, N. Y., & Shull, J. M. 2002b, ApJ, 575, 49 [NASA ADS] [CrossRef]
- Ricotti, M., Ostriker, J. P., & Gnedin, N. Y. 2005, MNRAS, 357, 207 [NASA ADS] (In the text)
- Ricotti, M., Gnedin, N. Y., & Shull, J. M. 2008, ApJ, 685, 21 [NASA ADS] [CrossRef]
- Salvaterra, R., & Ferrara, A. 2003, MNRAS, 339, 973 [NASA ADS] [CrossRef]
- Salvaterra, R., Ferrara, A., & Schneider, R. 2003, NewA, 10, 113 [NASA ADS]
- Salvaterra, R., Haardt, F., & Ferrara, A. 2005, MNRAS, 362, L50 [NASA ADS] (In the text)
- Samui, S., Srianand, R., & Subramanian, K. 2007, MNRAS, 377, 285S [NASA ADS] [CrossRef] (In the text)
- Sasaki, S. 1994, PASJ, 46, 427 [NASA ADS] (In the text)
- Scannapieco, E., Schneider, R., & Ferrara, A. 2003, ApJ, 589, 35S [NASA ADS] [CrossRef] (In the text)
- Schaerer, D. 2003, A&A, 397, 527 [NASA ADS] [CrossRef] [EDP Sciences]
- Schneider, R., Salvaterra, R., Ferrara, A., & Ciardi, B. 2006, MNRAS, 369, 825 [NASA ADS] [CrossRef]
- Seager, S., Sasselov, D. D., & Scott, D. 1999, ApJ, 523, L1 [CrossRef]
- Sheth, R. K., & Tormen, G. 1999, MNRAS, 308, 119 [NASA ADS] [CrossRef] (In the text)
- Sheth, R. K., Mo, H. J., & Tormen, G. 2001, MNRAS, 323, 1 [NASA ADS] [CrossRef] (In the text)
- Smith, B. D., & Sigurdsson, S. 2007, ApJ, 661, L5 [NASA ADS] [CrossRef]
- Springel, V., & Hernquist, L. 2003, MNRAS, 339, 289 [NASA ADS] [CrossRef]
- Tegmark, M., Silk, J., Rees, M. J., et al. 1997, ApJ, 474, 1 [CrossRef]
- Thornton, K., Gaudlitz, M., Janka, H. T., & Steinmetz, M. 1998, ApJ, 500, 95 [NASA ADS] [CrossRef]
- Thoul, A. A., & Weinberg, D. H. 1996, ApJ, 465, 608 [NASA ADS] [CrossRef] (In the text)
- White, S. D. M., & Rees, M. 1978, MNRAS, 183, 341 [NASA ADS] (In the text)
- Willott, C. J., Delfosse, X., Forveille, T., Delorme, P., & Gwyn, S. D. J. 2005, ApJ, 633, 630 [NASA ADS] [CrossRef] (In the text)
- Wise, J. H., & Abel, T. 2005, ApJ, 629, 615 [NASA ADS] [CrossRef] (In the text)
- Wyithe, J. S. B., Loeb, A., & Carilli, C. 2005, ApJ, 628, 575 [NASA ADS] [CrossRef]
- Yoshida, N., Abel, T., Hernquist, L., & Sugiyama, N. 2003, ApJ, 592, 645 [NASA ADS] [CrossRef]
- Yoshida, N., Bromm, V., & Hernquist, L. 2004, ApJ, 605, 579 [NASA ADS] [CrossRef] (In the text)
- Yoshida, N., Oh, S. P., Kitayama, T., & Hernquist, L. 2007, ApJ, 663, 687 [NASA ADS] [CrossRef] (In the text)
- Yu, Q., & Lu, Y. 2005, ApJ, 620, 31 [NASA ADS] [CrossRef] (In the text)
Footnotes
- ... assume
- In fact, this is not the most fundamental assumption (see Appendix A for details).
- ... holes
- But some of them experience a pulsating instability and eject their outer envelope, again leaving black holes behind.
- ...where
- The mass fraction of baryons in a halo is
, so the baryon density in halos is at least
times the one in IGM.
- ... light
- However, it seems that the offcenter sources may make a superluminal spread when their HII regions get an overlap. But it is not real superluminal behavior.
- ... atom
- Recent work shows that the finite speed of light will lead to a substantial change of the growth rate in the ionized volume (see Qiu et al. 2008, for more details).
- ... ``Starburst99''
- http://www.stsci.edu/science/starburst99/
- ... rate
- In halos of mass
or virial temperature of
K after z=30, even a PISN with
erg cannot make a substantial gas outflow (Kitayama & Yoshida 2005). So we assume the baryons loss in a halo should not be taken into account.
All Tables
Table 1: Model parameters.
All Figures
![]() |
Figure 1:
Evolution of SFRD with the redshift z. Left panel: the crossed data points are taken from Hopkins & Beacom (2006). The squared ones come from Reddy et al. (2008). Three circled points are from the UDF data (Bouwens et al. 2005). The dashed line represents the PopII/I SFRD without SNe feedback, while the dot-dashed one with the SNe feedback. Right panel: the original
SFRD of PopIII (
|
Open with DEXTER | |
In the text |
![]() |
Figure 2:
The duration time of star formation
|
Open with DEXTER | |
In the text |
![]() |
Figure 3:
Evolution of SFRD as a function of the redshift z with/without the photoevaporation feedback effect. The solid line represents the SFRD without feedback. The dotted one stands for the case that the SF is suppressed by photoevaporation. Both of them represent the PopIII SFRD in halos with
|
Open with DEXTER | |
In the text |
![]() |
Figure 4: Evolution of SFRD in two extreme cases: the stars form in the completely reionized universe (HII region, the dashed line) and in the completely neutral universe (HI region, the dot-dashed line in the lefthand panel and the dotted line in the right one). Observational data are the same as Fig. 1. |
Open with DEXTER | |
In the text |
![]() |
Figure 5:
Evolution of SFRD with feedback. Right panel: the solid line stands for the SFRD in halos of
|
Open with DEXTER | |
In the text |
![]() |
Figure 6:
Evolution of the filling factor
|
Open with DEXTER | |
In the text |
Copyright ESO 2009
Current usage metrics show cumulative count of Article Views (full-text article views including HTML views, PDF and ePub downloads, according to the available data) and Abstracts Views on Vision4Press platform.
Data correspond to usage on the plateform after 2015. The current usage metrics is available 48-96 hours after online publication and is updated daily on week days.
Initial download of the metrics may take a while.