| Issue |
A&A
Volume 495, Number 1, February III 2009
|
|
|---|---|---|
| Page(s) | 113 - 120 | |
| Section | Extragalactic astronomy | |
| DOI | https://doi.org/10.1051/0004-6361:200810043 | |
| Published online | 14 January 2009 | |
AGN UV and X-ray luminosities in clumpy accretion flows
W. Ishibashi1,2 - T. J.-L. Courvoisier1,2
1 - ISDC Data Centre for Astrophysics, ch. d'Ecogia 16, 1290 Versoix, Switzerland
2 - Geneva Observatory, Geneva University, ch. des Maillettes 51, 1290 Sauverny, Switzerland
Received 24 April 2008 / Accepted 19 November 2008
Abstract
We consider the fuelling of the central massive black hole in active galactic nuclei (AGN), through an inhomogeneous accretion flow. Performing simple analytical treatments, we show that shocks between elements (clumps) forming the accretion flow may account for the UV and X-ray emission in AGNs. In this picture, a cascade of shocks is expected, where optically thick shocks give rise to optical/UV emission, while optically thin shocks give rise to X-ray emission. The resulting blue bump temperature is found to be quite similar in different AGNs. We obtain that the ratio of X-ray luminosity to UV luminosity is smaller than unity, and that this ratio is smaller in massive objects compared to less massive sources. This is in agreement with the observed
ratio and suggests a possible interpretation of the
anticorrelation.
Key words: accretion, accretion disks - methods: analytical - galaxies: active - galaxies: quasars: general - galaxies: Seyfert
1 Introduction
According to the standard paradigm of active galactic nuclei (AGN) physics, black hole fuelling occurs steadily via a geometrically thin, optically thick accretion disc. The outward transport of angular momentum is set by viscosity, generally attributed to magnetic fields and turbulent motion, characterized by the
parameter of the accretion disc (Shakura & Syunyaev 1973).
The thermal emission from the disc, peaking in the optical/UV domain, has been associated with the blue bump component (Shields 1978; Malkan 1983).
Much less is known about the kinematics of the accreting gas at large distances, where most (up to
)
of the angular momentum must be lost for matter to reach the
region where the bulk of the gravitational energy is released as radiation.
In addition, standard accretion disc models are known to face several problems when compared with detailed observations of AGNs (Courvoisier 2001; Soldi et al. 2008). One of the major problems is given by the quasi-simultaneity of the UV and optical continuum variations that is not compatible with viscous time scales within discs characterized by temperature gradients (Courvoisier & Clavel 1991; Collin-Souffrin 1991). Another difficulty is the observed similarity in UV spectral properties over several orders of magnitude in luminosity, and in particular the stability of the blue bump temperature (Walter et al. 1994). Moreover, a ``bare'' thin disc cannot account for the X-ray component of AGN emission, and therefore additional elements such as optically thin corona, surrounding the disc and producing X-ray photons through inverse Compton processes are required.
One useful tool to study the accretion flow and radiative processes is provided by the relationship between the UV and X-ray emission components. In the majority of objects, observations indicate a small ratio of X-ray luminosity to blue bump luminosity. In particular, the relative importance of the hard X-ray component is found to be weaker in high luminosity AGNs (QSOs) compared to less luminous Seyfert galaxies (Koratkar & Blaes 1999). This relative strength is generally quantified by the optical/UV to X-ray index
.
It is now observationally confirmed that the slope of the
-
relation is smaller than unity, indicating that the X-ray luminosity is lower than the UV luminosity, and leading to the well-known
anticorrelation. (Strateva et al. 2005; Steffen et al. 2006). This anticorrelation implies that luminous AGNs emit less energy in X-rays relative to the optical/UV than less luminous objects (Just et al. 2007; Kelly et al. 2008). It seems that there is currently no satisfying theoretical study able to account for the small ratio of X-ray to UV luminosity, and to predict the observed
-
anticorrelation.
In contrast to binary systems where the angular momentum of the accreting material is constrained by the binary geometry, accretion in AGNs proceeds in a less regular and more chaotic manner, with matter arriving from a wide range of directions. This leads to a distribution of angular momentum in the accretion flow that leads to a wide distribution of angular velocities and complex phenomenology that in turn induces numerous shocks within the accretion flow. In view of the interest in widening the study of accretion flows and of difficulties met by disc models, we study the expected emission from the shocked material and show that several fundamental observations of AGN phenomenology can be well described by generic properties of the shocked material. In a previous paper, we considered an inhomogeneous flow in the form of interacting clumps of matter (Courvoisier & Türler 2005, hereafter C&T 2005). We showed that shocks between clumps and the subsequent gas expansion are at the origin of the radiation and, at the same time, provide a physical mechanism of angular momentum transport. The survival of clumps in the deep gravitational well of the central black hole was also briefly discussed.
The present paper is organized as follows.
The relevant features of the cascades of shocks model are briefly recalled in Sect. 2.
We then further develop the model and estimate the UV luminosity arising from the optically thick shock, which is used to determine the blue bump temperature in terms of collision parameters (Sect. 3). We then calculate the X-ray luminosities resulting from the optically thin shocks, taking into account the filling factor of the expanding clouds and considering characteristic time scales, which define different classes of objects (Sect. 4). We compute the luminosity ratio
in Sect. 5, and try to identify the different cases with different AGN classes (Sect. 6). We compare the model
ratio, as given by the relative strength of optically thin shocks compared to optically thick shocks, with observational measurements of the
index (Sect. 7) and discuss resulting implications in Sect. 8.
2 Cascades of shocks
C&T (2005) considered an inhomogeneous accretion flow formed by individual clumps of matter interacting with one another while accreting on to the central black hole. Shocks, resulting from collisions between clumps, provide the mechanism whereby gravitational energy of the ions is converted into radiative energy of the electrons.
Model predictions were compared to observations mainly based on 3C 273 data.
The UV lightcurve of 3C 273 has been previously described as a superposition of independent events, with a total energy of
and luminosity of a few
per event (Paltani et al. 1998). These values correspond to the kinetic energy of clumps with masses of several
located at a distance of
(
,
being the mass of the central black hole) from the centre, moving at the local free-fall velocity
(
)
of the order of
0.1 c.
At a distance of
,
a collision between clumps moving at the local free-fall velocity
results in an optically thick shock which gives rise to optical-UV radiation. Assuming blackbody emission, the photospheric temperature of the expanding gas cloud can be associated with the blue bump temperature. In C&T (2005) the blackbody temperature was estimated using the event luminosity derived from observations. Here, we remove the explicit dependence of the shock properties on the observational quantities and discuss the temperature self-consistently (Sect. 3).
Closer to the centre, the expanding clouds overlap and shock again, resulting this time in optically thin shocks; hence the name of the model. Considering the equilibrium between Coulomb heating and Compton cooling, the electron temperature is estimated to be around a few hundred
,
the optically thin shock is thus considered as the origin of the X-ray emission.
C&T (2005) computed the X-ray luminosity in the case of expanding clouds filling a volume comparable to the region within
.
In the present paper, we distinguish several cases: we consider the different locations of the optically thin shocks (depending on the volume filling factor of the expanding clouds), and estimate the X-ray luminosities taking also into account the electron radiation time.
3 Optically thick shocks and UV emission
Following C&T (2005), we consider clumps of mass
in the gravitational field of the central black hole, at a distance of
moving at the local free-fall velocity
.
Expressing radial distances from the centre in terms of the Schwarzschild radius (
,
being a dimensionless constant), the free-fall velocity is defined by a single scaling parameter
:
![]() |
(1) |
The free-fall velocity at distance of
![]() |
(2) |
where
A collision between two such clumps results in an optically thick shock, leading to a thermalized gas cloud in rapid expansion. As Coulomb collisions between particles are elastic, the cloud expansion velocity is expected to be of the same order as the initial velocity:
.
This rapid expansion is similar to a supernova explosion, for which typical explosion energies are of the order of
with velocities reaching
(comparable to the event energy and expansion velocity, respectively).
Following the expansion, a fraction
of the kinetic energy of the colliding clumps is radiated at the photosphere. The photospheric radius is estimated by equating the photon diffusion time
(where
is the Thomson cross section and
is the electron density) and the gas expansion time
.
The photospheric radius is thus given by:
![]() |
(3) |
and the corresponding expansion time
![]() |
(4) |
The resulting luminosity emitted at the photosphere is given by the fraction
The radiative efficiency
3.1 UV luminosity
The UV luminosity resulting from a single collision can now be expressed in terms of the collision parameters:
The average UV luminosity is given by the luminosity of a single event (6) multiplied by the average number of collisions,
In the case of less massive AGNs, such as Seyfert galaxies, a more typical value of the accretion rate is of the order of
We note that the average UV luminosity scales linearly with mass accretion rate, but does not depend explicitly on the black hole mass. This explains that a large range of Eddington ratios can be accounted for by the model.
3.2 Blue bump temperature
Since the shock is optically thick, the resulting luminosity emerges as blackbody radiation from the photosphere. The photospheric temperature is estimated assuming blackbody emission:
![]() |
(9) |
where
The value of the blackbody temperature of a few
C&T (2005) analysed the subsequent temperature evolution and showed that the time delay increases in agreement with the observed lags between light curves of different wavelengths.
4 Optically thin shocks and X-ray emission
Following the optically thick shocks, the resulting gas envelopes expand. This expansion leads to interactions of the material originating in different regions, giving rise to optically thin shocks.
The expanding regions fill a volume
.
The location of the second shock is mainly determined by the volume filling factor of the post-expansion configuration in the region within
:
![]() |
(11) |
We analyse two distinct classes of objects, Class S and Class Q, according to the relative importance of the volume filling factor
We shall adopt the following parametrizations for the central mass and the accretion rate: in Class S, the black hole mass is expressed in units of
and the accretion rate in units of
; in Class Q, the black hole mass is expressed in units of
and the accretion rate in units of
.
We note that the ratio of mass accretion rate to central mass,
,
is a variable parameter which allows us to consider a range of Eddington ratios.
4.1 Electron energy
Electrons are heated by Coulomb collisions with hot protons and cooled through Compton emission. The electron temperature is determined by the equilibrium between Coulomb heating and Compton cooling.
Assuming the relative speed
of the expanding clouds to be about the local expansion velocity (
0.1 c), we estimate that the temperature involved in this second shock is of the order of 1 MeV. The proton kinetic energy is therefore parametrized by
MeV.
The average electron energy is estimated assuming equilibrium between Coulomb heating and Compton cooling. The Compton cooling rate in the non-relativistic limit is given by
The heating rate of the electrons through Coulomb collisions,
where
4.1.1 Class S: large filling factors
As the post-shock configuration fills a volume comparable to the region within
(
), expanding envelopes resulting from the first optically thick shocks rapidly overlap and optically thin shocks already take place at
.
The electron number density (14) is estimated within a region of
,
with
.
Using this electron number density and the photon energy density from (13), the equilibrium condition
gives:
The average electron energy is of the order of
4.1.2 Class Q: small filling factors
As the volume filling factor is small (i.e.
), expanding envelopes have to travel a greater distance towards the centre before overlapping and interacting with one another. The optically thin shocks occur therefore in the central regions, the location of this second shock being parametrized by
.
The electron number density as given in Eq. (14) is now estimated at a distance of
with its corresponding free-fall velocity. Here, we consider that only a fraction of the total accreted matter contributes to the second shock, parametrizing it as:
.
We roughly estimate that half of the accreted matter is ejected, following the first shock, perhaps giving rise to an outflow (we discuss the possibility of an outflow in Sect. 8). Considering the equilibrium between Coulomb heating and Compton cooling, we obtain the average electron energy
and its corresponding single electron Compton luminosity
4.2 Time scales and X-ray luminosity
The Compton cooling of the hot electrons discussed in 4.1 gives rise to X-ray emission as seen from the values of the average electron energy. To estimate the emitted X-ray luminosity, we need to compare the relative importance of radiation and accretion time scales, determining whether electrons have enough time to radiate all their energy before disappearing in the black hole. The Compton cooling time is defined as:
where
We analyse two distinct cases, Cases A and B, depending on whether the ratio of the Compton time over the dynamical time
where
4.2.1 Class S: large filling factors
In the case of large filling factors, the Compton time is calculated from Eq. (19) using expressions (15), and (16); the dynamical time (20) is taken at
.
Calculating the ratio of these two time scales,
,
we see that the Compton time is shorter than the dynamical time provided that the ratio of mass accretion rate to central mass exceeds a critical value:
The X-ray luminosity should then be calculated according to the relevant time scale. We consider two cases separately: Case A defined by the condition that the Compton time is longer than the dynamical time, and Case B in which the Compton time is shorter than the dynamical time. This distinction can also be expressed in terms of the Eddington ratio through relation (21).
Case A:
If the cooling time is long compared to the dynamical time (i.e.
), the average X-ray luminosity is given by the Compton luminosity emitted by a single non-relativistic electron multiplied by the average number of electrons present in the region
The average number of electrons
with explicit dependences on accretion rate and black hole mass.
Case B :
As the Compton time is short compared to the dynamical time (i.e.
), the cooling process is very efficient and all the electron energy can be radiated away.
The X-ray luminosity is given by the total energy of a single non-relativistic electron mutiplied by the number of electrons per unit time arriving in the region
where
![]() |
(26) |
In this case, the average X-ray luminosity scales linearly with the mass accretion rate, but is independent of the central mass.
4.2.2 Class Q: small filling factors
We perform identical calculations as for the Class S case, but taking into account the different location of the optically thin shocks. The time scale condition (22) is now modified as
Applying analogous arguments as in the previous case, the average X-ray luminosities are respectively given by
Case A:
Case B:
In Class Q, the time scale condition (27) implies that massive sources should mostly fall into Case A, unless the accretion rate is extremely high. Indeed, a source of
5
ratio
The relative importance of X-ray and UV contributions to the bolometric luminosity varies in different classes of AGNs. In the framework of the model presented here, the relative importance of these two emission components is determined by the respective importance of optically thin shocks compared to optically thick shocks. This is quantified by the luminosity ratio
,
calculated as the ratio of average X-ray luminosity to average UV luminosity.
In the following, we discuss the luminosity ratio
for the different cases presented in the previous section, analysing in particular its dependence on central mass and accretion rate.
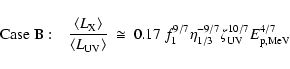
5.1 Class S: large filling factors
The
ratio is calculated separately for Case A and Case B, according to the relevant time scale. From Eq. (8) for the UV luminosity, and expressions (24), (26) for the X-ray luminosities, we obtain
![]() |
(30) |
where the black hole mass is expressed in units of
We observe that the ratio of X-ray luminosity to UV luminosity is smaller than unity.
This result depends on several parameters, such as the fraction of accreted matter contributing to the optically thin shock and the radiative efficiency of the collision. Nevertheless, varying these parameters within the allowed range (
and
)
always leads to
ratios smaller than unity.
In Case A, the
ratio is proportional to the mass accretion rate and to the inverse of the central mass; in Case B, it is independent of both parameters and stabilizes at a constant value when the
ratio exceeds a critical value (see Fig. 1).
![]() |
Figure 1:
|
| Open with DEXTER | |
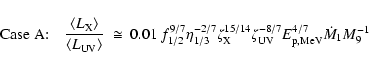
5.2 Class Q: small filling factors
In the case of small filling factors, the luminosity ratio
is calculated using Eq. (7) for the UV luminosity and expression (28) for the X-ray luminosity
![]() |
(32) |
where the black hole mass is expressed in units of
As in the previous case, the luminosity ratio is smaller than unity, with
being proportional to
.
Here, the
-
relation is much weaker (with a slope of
0.01) than in the case of large filling factors.
We note that the
ratio is one order of magnitude smaller in massive objects compared to less massive sources.
Summarising, our model gives X-ray to UV ratios always smaller than unity, with a luminosity ratio roughly in the range
depending on the value of the different parameters. Another result is that massive AGNs emit less of their radiative energy in X-rays relative to the optical/UV compared to less massive objects. The model luminosity ratios of the different cases discussed are given in Table 1.
Table 1:
Model
ratios.
6 Identification with different AGN classes
The relative importance of the filling factor defines two classes of objects, their distinction mainly being determined by the mass of the central black hole, which directly sets the size of the Schwarzschild radius. Each class is further subdivided into two cases (Cases A and B) separated by the time scale condition, which translates into a condition on the ratio of accretion rate to central mass. The distinction between different classes is thus primarily determined by two of the black hole fundamental parameters: central mass and accretion rate.
Class Q objects describe massive objects for which the Eddington luminosity is
erg/s and should be identified with massive luminous quasars, while Class S dealing with smaller black holes should be associated with less luminous sources, as Seyfert galaxies. According to our model, a Seyfert galaxy of given central mass would have a luminosity ratio given by
for low accretion rates and
for higher accretion rates (Cases A and B respectively).
On the other hand, massive QSOs should have luminosity ratios one order of magnitude smaller, with a predicted value given by
(Case A); as previously mentioned, Case B is probably not realised and no such class of objects should be observed.
7 Comparison with observations
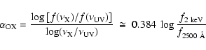
7.1
relation
X-ray and UV emissions contribute quite differently to the overall luminosity in different classes of AGNs. The relative importance of the UV and X-ray components is generally quantified by the optical/UV to X-ray index
:
defined as the slope of a hypothetical power law relating the two emission regions in the object's rest frame. The monochromatic rest frame fluxes are measured at 2 keV and 2500
In order to compare our model results with observations, we need to convert the
indices used in the literature into luminosity ratios
.
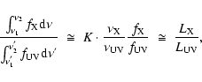
Following Abrassart & Czerny (2000), we apply a correction factor K (which takes into account the broader X-ray component) to roughly estimate the broadband X/UV ratio.
The ratio of the integrated fluxes is thus approximated by
where the correction factor K is determined from observations. Abrassart & Czerny (2000) assume a value of K = 4 (with the UV and X-ray fluxes measured at 1375
Based on the 3C 273 spectrum, and considering the 2-20 keV band for the X-rays and 3000-1300
band for the UV component, we verify that the correction factor is indeed in a similar range:
-4. In the following we assume K = 3 with the UV and X-ray components taken at 2500
and 2 keV, respectively. With this assumption, we can relate the
index with the
luminosity ratio. From Eqs. (33) and (34), we obtain the expression relating the two quantities:
7.2 Observations
The measurement of the
index and its relationship with source parameters such as luminosity and redshift have been the subject of many recent observational efforts (Strateva et al. 2005; Steffen et al. 2006; Just et al. 2007; Kelly et al. 2008).
The main result of these studies is the now well-established
anticorrelation, where
is the logarithm of the UV monochromatic luminosity (expressed in units of
).
7.2.1 Samples
As we are interested in emission mechanisms directly associated with the accretion phenomenon, samples used in studying the
index generally exclude radio-loud AGNs and broad absorption line (BAL) objects. But it should be noted that the removal of these peculiar sources is not always straightforward.
Strateva et al. (2005) analysed a sample of 228 optically selected AGNs spanning a redshift range of z = 0.01-6.3 formed by a main sample of 155 objects selected from the Sloan Digital Sky Survey (SDSS), with 36 additional high-redshift luminous AGNs and 37 low-redshift Seyfert 1 galaxies.
Steffen et al. (2006) extended the Strateva et al. (2005) work, including 52 moderate-luminosity AGNs selected from the COMBO survey and 46 low-redshift luminous AGNs from the bright quasar survey (BQS). A representative sample of 59 of the most optically luminous quasars in the Universe in the redshift range z = 1.5-4.5 was studied by Just et al. (2007). More recently, Kelly et al. (2008) performed the largest study to date of the X-ray properties of radio-quiet quasars, analysing a sample of 318 RQQs spanning a broad range in black hole mass (
).
Table 2:
Comparison of observational average
ratios of the different sub-samples with model
ratios.
7.2.2 Observational results and comparison with model predictions
A significant correlation between X-ray and UV emissions, described as
,
has been observed. The slope of this
relation is found to be inconsistent with unity, and is better characterized by
.
This implies that the ratio between the 2 keV and 2500
monochromatic luminosities varies with rest-frame UV luminosity. Equivalently, a clear trend indicating a significant anticorrelation between
and monochromatic UV luminosity is seen when plotting the
index as a function of
for a sample of optically selected AGNs (Strateva et al. 2005; Steffen et al. 2006).
In optically selected samples,
indices lie typically in the range
.
Specifically, Strateva et al. (2005) measured a median
for the main SDSS sample,
for the high-redshift sample, and
for the Seyfert 1 sample. These observations indicate that lower luminosity AGNs have flatter
indices compared to higher luminosity objects.
This overall trend is further reinforced by the study of Just et al. (2007) who analysed a sample of the most luminous QSOs, obtaining steeper slopes with a mean value of
.
The relationship between the
index and the black hole mass has been confirmed recently by Kelly et al. (2008), who studied the direct dependence of
on
,
finding that radio-quiet quasars become more X-ray quiet as the central mass increases.
Table 2 summarizes all the mean
values from the above quoted papers along with their corresponding
ratios, calculated using relation (35).
The COMBO and low-redshift Seyfert 1 samples are both formed by low luminosity objects that we identify with Class S (Case A) objects, while the BQS sample with relatively high accretion rates can be identified with Class S (Case B) objects. The high-redshift AGNs and the QSO sample of Just et al. (2007) describe luminous and massive sources that we associate with Class Q objects.
Comparison of the observed values with the values predicted by our model therefore shows excellent agreement (see Table 2). The main SDSS sample spans a wide range in luminosity and black hole mass as illustrated by the intermediate
value.
In Fig. 1, we plot
as a function of
for a sample spanning a large range in luminosity (
). Model relations are shown for two values of the central mass (
and
)
with different shock parameters. The UV luminosities are directly given in the Kelly et al.'s (2008) sample as
where
is calculated from the broad-line mass estimates; for the other samples, we have estimated the UV luminosity as
at
,
from the given monochromatic luminosity.
We see that the model predictions cover the right range of the observed properties, with the majority of objects lying within the expected values. We also note a trend of decreasing
ratios with increasing luminosity, which indicates that luminous, hence massive, objects tend to have lower
values compared to less massive sources.
In our picture, larger
ratios are expected in Class S compared with Class Q. This result is thus in qualitative agreement with observations; it could explain the observed
relation, considering that the distinction between quasars and Seyfert galaxies is mainly based on the central luminosity. Clearly, the most luminous sources (with
)
should have central masses exceeding
.
8 Discussion and conclusion
A thorough study of the relationship between different emission components is a required step towards a theoretical understanding of energy generation mechanisms in AGNs. It is hard to explain all the observed AGN properties within standard accretion disc models, the main difficulties including: the similarity in spectral features in the UV and X-ray domains observed in sources with huge differences in central luminosity, the origin of the X-ray emission and its relative importance compared to UV emission.
In the optical/UV domain, the spectral shape of the blue bump component is very similar in objects varying by 6 orders of magnitude in luminosity (Walter & Fink 1993). In particular, the cut-off temperature of the bump is stable and does not vary by more than a factor of two in sources changing by a factor of 104 in luminosity (Walter et al. 1994). However, standard accretion disc models do not predict such similarity in spectral features. The relatively universal value of the blue bump temperature on source luminosity is difficult to explain in the framework of standard discs in which the optical/UV emission explicitly depends on the black hole mass and accretion rate.
On the contrary, in the picture presented here, the optical/UV emission arises from optically thick shocks and the resulting blue bump temperature is independent of the black hole mass and only weakly dependent on collision parameters. Optically thick shocks would then naturally account for the observed similarity of the blue bump temperature in objects of very different luminosities, hence different central masses. Our simple model may therefore explain the relatively universal value of the blue bump temperature in objects varying by several orders of magnitude in luminosity.
In the X-ray domain, standard accretion discs cannot correctly account for the AGN emission. More complex models with additional components are therefore required, such as irradiated discs and disc-corona models. In the irradiated disc model, the disc emits as a result of both internal viscous heating and external radiative heating due to an X-ray point-like source located above it. But the origin and the location of the X-ray source irradiating the disc is a priori arbitrary and not physically justified. Moreover, in order to reproduce variations of similar amplitude in the UV and X-rays, the X-ray luminosity
should be of the same order as the UV luminosity
,
which is contrary to observations.
A more physically plausible picture is given by the disc-corona model (Haardt & Maraschi 1993) in which the accretion disc is surrounded by a hot corona: the corona emits X-rays by Compton upscattering of the soft UV photons from the disc, while the disc reprocesses the X-ray photons from the corona into UV photons. But this model gives a larger
ratio than the observed value, as the corona and the disc luminosities are assumed to be of the same order.
This led Haardt et al. (1994) to propose a variant consisting of a ``patchy'' corona, which leads to a decrease in the X/UV ratio.
An alternative model is given by the cloud model (Collin-Souffrin et al. 1996; Czerny & Dumont 1998; Abrassart & Czerny 2000) in which a central X-ray source is surrounded by a number of Compton thick clouds in quasi-spherical geometry with a large coverage factor; this medium emits the blue bump and reprocesses the X-rays. Contrary to disc models, this latter model predicts a
ratio smaller than unity without any ad-hoc hypothesis due to the large coverage factor of the clouds.
In our picture, optically thick shocks give rise to optical/UV radiation, while the optically thin shocks are at the origin of the X-ray emission. The production of X-rays does not require any additional component, since X-rays are emitted as a consequence of the Compton cooling process of electrons heated in the optically thin shocks. The volume filling factor of the post-shock configuration plays an important role in determining the location of the optically thin shocks, and in defining two classes of objects, distinguished by the central mass and hence central luminosity, that we have identified with quasars and Seyfert galaxies. The competition between cooling and dynamical time scales suggests that there are two additional sub-classes for a given central mass, divided into high accretion rate and low accretion rate objects.
Computing the ratio of X-ray luminosity to UV luminosity,
,
we obtain that this ratio is always smaller than unity, in agreement with the small X-ray to UV ratio observed in the majority of objects. There are only a few objects with
ratios exceeding unity in the total sample, and the majority of sources have luminosity ratios falling within the predicted range (
). Our model is thus able to predict the observed range of
ratios, or equivalently the range of
indices. The observed
correlation in the sample of Kelly et al. (2008) implies that high mass objects have smaller
ratios, while low mass objects have larger
values. Here we also obtain smaller
ratios in Class Q objects and larger
ratios in Class S objects, the predicted trend is thus consistent with the observational relation. Our model may therefore suggest a possible explanation for the observed
anticorrelation.
Peculiar values of the
ratio may be attributed to different factors such as additional X-ray emission from a jet component in radio-loud AGNs or absorption in BAL QSOs (considering residual sources not correctly removed in the sample selection).
The observed
ratio in 3C 273 is one order of magnitude higher than the predicted value for massive objects. This discrepancy could be explained by an additional X-ray emission, probably associated with the jet component.
The existence of bulk relativistic outflows in a preferred direction (collimated jets) cannot be accounted for within the proposed framework, as we have no privileged direction.
However, the fraction of matter ejected following the expansion of the optically thick shock, may be associated with matter outflows observed in a number of AGNs.
In order to obtain an outflow, the wind velocity should reach the local escape velocity and thus the launch radius should lie close to the escape radius. In our picture, the gas expansion velocity is given by the initial free-fall velocity (of the order of
0.1 c at
), which coincides with the local escape velocity. In addition, the mass outflow rate is comparable to the mass accretion rate, as indicated by observations. In the case of the QSO PG 1211+143, the outflow velocity is in the range 0.13-0.15 c at an escape radius of
and with a mass outflow rate of
(Pounds & Page 2006). The location of the phenomenon and the outflow speed are compatible with shocks occurring at
100
and outflowing at the expansion velocity. The expanding matter later will be slowed down in the outer regions, and may give rise to the line emitting clouds of the Broad Line Region.
References
- Abrassart, A., & Czerny, B. 2000, A&A, 356, 475 [NASA ADS] (In the text)
- Collin-Souffrin, S. 1991, A&A, 249, 344 [NASA ADS] (In the text)
- Collin-Souffrin, S., Czerny, B., Dumont, A.-M., & Zycki, P. T. 1996, A&A, 314, 393 [NASA ADS] (In the text)
- Courvoisier, T. J.-L. 2001, in Quasars, AGNs and Related Research Across 2000. Conference on the occasion of L. Woltjer's 70th birthday, ed. G. Setti, & J.-P. Swings, 155 (In the text)
- Courvoisier, T. J.-L., & Clavel, J. 1991, A&A, 248, 389 [NASA ADS] (In the text)
- Courvoisier, T. J.-L., & Türler, M. 2005, A&A, 444, 417 [NASA ADS] [CrossRef] [EDP Sciences] (In the text)
- Czerny, B., & Dumont, A.-M. 1998, A&A, 338, 386 [NASA ADS] (In the text)
- Falk, S. W., & Arnett, W. D. 1977, ApJS, 33, 515 [NASA ADS] [CrossRef] (In the text)
- Gondek, D., Zdziarski, A. A., Johnson, W. N., et al. 1996, MNRAS, 282, 646 [NASA ADS] (In the text)
- Haardt, F., & Maraschi, L. 1993, ApJ, 413, 507 [NASA ADS] [CrossRef] (In the text)
- Haardt, F., Maraschi, L., & Ghisellini, G. 1994, ApJ, 432, L95 [NASA ADS] [CrossRef] (In the text)
- Just, D. W., Brandt, W. N., Shemmer, O., et al. 2007, ApJ, 665, 1004 [NASA ADS] [CrossRef] (In the text)
- Kelly, B. C., Bechtold, J., Trump, J. R., Vestergaard, M., & Siemiginowska, A. 2008, ApJS, 176, 355 [NASA ADS] [CrossRef] (In the text)
- Koratkar, A., & Blaes, O. 1999, PASP, 111, 1 [NASA ADS] [CrossRef] (In the text)
- Malkan, M. A. 1983, ApJ, 268, 582 [NASA ADS] [CrossRef] (In the text)
- Paltani, S., Courvoisier, T. J.-L., & Walter, R. 1998, A&A, 340, 47 [NASA ADS] (In the text)
- Pounds, K. A., & Page, K. L. 2006, MNRAS, 372, 1275 [NASA ADS] [CrossRef] (In the text)
- Shakura, N. I., & Syunyaev, R. A. 1973, A&A, 24, 337 [NASA ADS] (In the text)
- Shields, G. A. 1978, Nature, 272, 706 [NASA ADS] [CrossRef] (In the text)
- Soldi, S., Türler, M., Paltani, S., et al. 2008, A&A, 486, 411 [NASA ADS] [CrossRef] [EDP Sciences] (In the text)
- Steffen, A. T., Strateva, I., Brandt, W. N., et al. 2006, AJ, 131, 2826 [NASA ADS] [CrossRef] (In the text)
- Strateva, I. V., Brandt, W. N., Schneider, D. P., Vanden Berk, D. G., & Vignali, C. 2005, AJ, 130, 387 [NASA ADS] [CrossRef] (In the text)
- Walter, R., & Fink, H. H. 1993, A&A, 274, 105 [NASA ADS] (In the text)
- Walter, R., Orr, A., Courvoisier, T. J.-L., et al. 1994, A&A, 285, 119 [NASA ADS] (In the text)
All Tables
Table 1:
Model
ratios.
Table 2:
Comparison of observational average
ratios of the different sub-samples with model
ratios.
All Figures
![]() |
Figure 1:
|
| Open with DEXTER | |
| In the text | |
Copyright ESO 2009
Current usage metrics show cumulative count of Article Views (full-text article views including HTML views, PDF and ePub downloads, according to the available data) and Abstracts Views on Vision4Press platform.
Data correspond to usage on the plateform after 2015. The current usage metrics is available 48-96 hours after online publication and is updated daily on week days.
Initial download of the metrics may take a while.































![\begin{figure}
\par\includegraphics[width=8.8cm,clip]{0043fig1.ps}
\end{figure}](/articles/aa/full_html/2009/07/aa10043-08/Timg142.gif)



