| Issue |
A&A
Volume 495, Number 1, February III 2009
|
|
|---|---|---|
| Page(s) | 189 - 194 | |
| Section | Interstellar and circumstellar matter | |
| DOI | https://doi.org/10.1051/0004-6361:200810348 | |
| Published online | 14 January 2009 | |
Observational test of the CH cation oscillator strengths
T. Weselak1 -
G. A. Galazutdinov2 -
F. A. Musaev3 -
Y. Beletsky4 -
J. Kre
owski5
1 - Institute of Physics, Kazimierz Wielki University, Weyssenhoffa 11, 85-072 Bydgoszcz, Poland
2 -
Korea Astronomy and Space Science Institute, Optical Astronomy Division, 61-1, Hwaam-Dong,
Yuseong-Gu, Daejeon, 305-348, Korea
3 -
Special Astrophysical Observatory, Nizhnij Arkhyz, 369167, Russia
4 -
European Southern Observatory (ESO), Alonso de Cordova 3107, Santiago, Chile
5 -
Center for Astronomy, Nicolaus Copernicus University, Gagarina 11, 87-100 Torun, Poland
Received 9 June 2008 / Accepted 21 November 2008
Abstract
We revise measurements of the positions and oscillator strengths using
spectral features in the CH+ A-X system, and by using
high-resolution, echelle spectra of 36 stars and assuming
that its wavelength and oscillator strength as given in the literature
for the (0, 0) transition, i.e. 4232.548 Å and 0.00545 respectively,
are correct. The recommended oscillator strengths of
the lines at 3957.689, 3745.308, 3579.024, and 3447.077 Å are found to be (in units of 10-5) 342, 172, 75, and 40, respectively.
The estimated column densities of the CH cation toward the observed
targets are also presented.
Key words: ISM: molecules - ISM: abundances
Introduction
The CH+ radical plays a key role in gas-phase interstellar chemistry. It was one of the first molecules to be discovered in the interstellar medium (ISM) by Douglas & Herzberg (1941), together with CH and CN. Since then, its formation and existence in the ISM has remained an unsolved problem (van Dishoeck & Black 1996; Gredel 1993). However, the species appears to be ubiquitous, and we detect its presence by measurement of its high column densities toward a significant number of reddened OB stars.
The CH cation can be studied by detection of its optical absorption
features, which are observed in the blue, violet, and
near-ultraviolet from ground-based observatories. Its 4232
and 3957 Å lines, due to the (0, 0) and (1, 0) bands
of the
system, can be easily
observed (Federman 1982; Gredel 1993; Weselak et al.
2008). Other lines of the A-X system at 3745 Å (2, 0),
3579 Å (3, 0) and 3475 Å (4, 0) were identified by
Douglas & Morton (1960) and observed toward
Oph by
Herbig (1968). However, these lines have not attracted
the attention of observers.
Laboratory determinations (experimental and theoretical) of the oscillator strengths of transitions between the ground and first excited states are needed to determine the correct value of CH+ abundances toward observed targets. The oscillator strengths of the A-X (0, 0) at 4232 Å and A-X (1, 0) transition at 3957 Å are now well established by theoretical and laboratory experiments (see Larsson & Siegbahn 1983 as a review), whereas there is still a considerable spread in experimental and theoretical results concerning the A-X (2, 0), (3, 0), and (4, 0) transitions of the CH cation reported in the literature. It should also be noted that the reported interstellar abundances of CH cation are directly related to the A-Xoscillator strength.
We aim to complete measurement of the oscillator strengths of the observable A-X transitions of the CH+ molecule based on the observational intensities of aforementioned five transitions observable by ground-based telescopes. This should allow more precise measurement of the column densities of CH+ toward 36 reddened OB stars based on high-resolution, echelle spectra. We emphasize that while the most popularly observed CH+bands can be saturated, the near-UV bands are not likely to be.
The observational data
Most of our observational material, listed in Table 1, was
obtained using the UVES spectrograph at ESO Paranal in
Chile with a resolution
R = 80 000. Our spectra cover the
spectral range from 3040 to 10 400 Å
.
Table 1: Observational measurements and published data. Description is presented in the text.
The spectra of 5 objects were obtained with the HARPS
spectrometer (labelled by superscript H in Table 1), mounted on
the 3.6 m ESO telescope in Chile
.
This spectrograph allows us to cover the range
3800-
6900 Å with a resolution of
R = 115 000. Since the
instrument was designed to search for exoplanets, it is capable of
providing data for precise wavelength measurements.
All the spectroscopic data were reduced with standard
packages of MIDAS and IRAF, as well as our own DECH code
(Galazutdinov 1992), which provides all the standard
procedures of image and spectra processing. Using different
algorithms to complete the data reduction reduces the
possibility of inaccuracies due to use of slightly
different approaches to dark subtraction, flatfielding, or
removal of cosmic ray hits. Most of our spectra from UVES
were also taken from the archive as pipeline-reduced
products
,
which allowed another comparison of the precision of the measured
wavelengths.
For this project, we selected a sample of 36 reddened stars
for which the CH cation bands at 3745, 3957, and 4232 Å were seen. Most of our objects were acquired
using the UVES spectrograph but some were from
HARPS, which is capable of higher wavelength precision.
For objects observed with the HARPS instrument, the error in the
wavelength measurement did not exceed the value of 0.001 Å (in general radial-velocity accuracy is not higher than
30 m/s - see HARPS user manual). Table 1
presents the HD numbers, spectral types, luminosity classes, and
the E(B-V) of each star, and the equivalent widths
(
s) (in mÅ) of CH+ bands at 3447, 3579,
3745, 3957, and 4232 Å. We also present column densities
calculated for unsaturated CH+ bands. To
measure the column density, we used the relation of van Dishoeck
& Black (1989), which provides proper column densities when
the observed lines are unsaturated:
![]() |
(1) |
where
Results and discussion
![]() |
Figure 1: The (0, 0) to (0, 4) systems of CH cation A-X transitions, presented in the spectrum of HD 76 341 on a radial-velocity scale. |
| Open with DEXTER | |
![]() |
Figure 2: Spectral features of CH+ A - X band at 4232 Å shown in the radial-velocity scale. The saturation effects are easily seen in the case of HD 106 068 and 147 889. |
| Open with DEXTER | |
Figure 1 presents (on a radial-velocity scale) all the
aforementioned spectral features of CH+ observed in the
spectrum of HD 76 341. In this case both 3957 Å and 4232 Å features are saturated since
mÅ (see Table 1) and no Doppler-splitting can be traced
in our high-resolution spectra.
In Fig. 2, the R(0) line of (0, 0) CH+ A-Xtransition is presented in the spectra of four stars. In the
case of HD 112 272, the 4232 Å band is split
into two components. The profile of the band in HD 154 811
splits into 3 components. The effects of saturation are easily
seen only in the cases of HD 106 068 and 147 889, where one
Doppler component is seen with
mÅ (see Table 1).
However, our spectra not of sufficiently high resolution
to measure directly the Doppler broadening parameter.
Therefore it is impossible to perform the test for the
Doppler parameter determination
directly from the apparent line width
after correction for the finite resolution of the spectrograph.
![]() |
Figure 3: Spectra of HD 58 343, 133 518, 105 071, 106 068 in the region of 4232 Å contaminated with the stellar feature of FeII at 4232.17 Å. We indicate correct continuum placement in each case ( at the top). Below we present the measurement of equivalent width of the 4232 Å line in the spectrum of HD 106 068. Gaussian fits are marked with dots and residual intensity with dashed line. Note that the spectrum was not shifted along the radial-velocity scale during equivalent-width measurement. |
| Open with DEXTER | |
Table 2: New positions of CH+ molecular features compared to those of Herbig (1968) and Carrington & Ramsay (1982).
Correct continuum placement is a serious problem for spectra contaminated with stellar lines. In Fig. 3, we present spectra of four objects of stellar type B2 and later, spectra in which the stellar FeII line at 4233.17 Å is present. After the continuum placement, we fitted a Gaussian function to each spectral line to derive its equivalent width. This is evident in the spectrum of HD 106 068, where FeII stellar line was blended with the CH+ band at 4232 Å. It must be emphasized that correctness of the continuum placement is the main factor in determining the size of errors during equivalent width measurement. In the case of each spectral line, the procedure presented in Fig. 3 was performed. The error estimates were completed using the formulation of Smith et al. (1984). The errors determined for each fit are presented in Table 1.
![]() |
Figure 4:
Radial-velocity
shift between 4232 and 3957 Å CH+ bands in the spectrum
of HD 179 406.
Observed difference is equal to 0.580 |
| Open with DEXTER | |
It was also possible to improve line positions due to
the fact that our spectra from HARPS and UVES instruments
are of high resolution. However, after shifting the
wavelength scale to ensure correct positions of CH at
4300.313 Å and CaI at 4226.728 Å, the differences in
the wavelength scale between CH+ A-X bands at 4232 and 3957 Å remain. In Fig. 4 we present a shift in
the radial-velocity scale between (0, 0) and (1, 0) A- X bands of CH cation observed in the spectra of HD 179 406,
acquired with two different instruments.
The observed shift
in our spectra does not have an instrumental origin and equals
km s-1 with a standard deviation inferred from the
radial-velocity measurement
in each case (the respective standard-deviation
errors measured for the 4232 Å and 3957 Å lines
were 0.10 and 0.10 km s-1, and 0.10 and 0.09 km s-1
for spectra
from the UVES and HARPS instruments, respectively).
This value clearly exceeds the precision of the
wavelength determination of the HARPS spectrograph and thus
at least one of the well-known wavelengths must be determined
incorrectly.
Based on our high-resolution spectra of objects, in which no Doppler splitting of molecular features was observed, it was possible to obtain positions of CH+ A-X bands. In each case, we used the wavelength of CH+ A-X band at 4232.548 Å (Gredel et al. 1989) as the standard, i.e. we assumed its literature value to be correct. The results are presented in Table 2, which compares our values with those published previously by Herbig (1968) and Carrington & Ramsay (1982). The observed differences do not exceed 0.010 Å. However, they exist for our high-resolution spectra from HARPS and UVES spectrographs.
![]() |
Figure 5: Our W(4232) measurements are compared to those published in the literature. The relation is good with the correlation coefficient equal to 0.99. |
| Open with DEXTER | |
![]() |
Figure 6:
The relation
between equivalent widths of
3957 and 4232 bands a) and relation between their
calculated column densities b).
In the case of equivalent widths, the solid line represents
the
|
| Open with DEXTER | |
Our measurements of equivalent widths were also compared with those published previously in the literature. As seen in Fig. 5, our measurements are closely related (r=0.99) to those already published by Crawford (1989), Allen (1994), and Weselak et al. (2008). Column densities do not differ from those already published - given in the last column of Table 1. Only in the case of HD 147 889 is the difference evident, probably due to saturation effects that were not properly taken into account by Allen (1994).
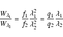
The intensity ratio of two unsaturated spectral lines
equals to:
![]() |
(2) |
where
The calculated
's ratio of the 4232 Å and
3957 Å bands should equal 1.88 (where the f-values
are equal to 545 and
,
respectively Larsson &
Siegbahn 1983) when both features are not saturated. The
fit to our data-points is close to this value
(1.82
0.03) as seen in Fig. 6a. The relation between
calculated column densities obtained using
's
of 3957 Å and 4232 Å bands of CH cation is also seen
in Fig. 6b. The Doppler splitting, probably observable in
interstellar features, can extend the range of
's for which the saturation is not observed.
We emphasize that the straight line representing the
column densities, was fitted in the absence of saturation.
Data points indicated by crosses are for HD 112 272
(the object with evident Doppler splitting).
In general, the column densities of CH+,
calculated from unsaturated 4232 Å and 3957 Å features coincide reasonably well.
In Fig. 6a, it can be well seen, that the line representing
the ratio of equivalent width measurements for the 4232 and 3957 Å
features, does not
precisely fit the data-points. If we use the value of
in the case of CH+ A - X (0, 0) transition, then
the f-value of (1, 0) transition should equal
.
When the latter value is adapted, one can
obtain f-values equal to
for (2, 0),
7
for (3, 0), and 40
in the case of
(4, 0) transition. In Table 3, we present calculated
equivalent-width ratios for each CH+ A - X band
with errors.
Table 3:
Calculated observed
ratios with errors.
Table 4: Calculated oscilator strengths for all CH cation A- X transitions. Description is presented in the text.
In Table 4
In Table 4, we also compare the f(
, 0)/f(0, 0) ratio with that based on data of Herbig (1968)
and Frisch (1972). Our values differ from those
published previously. We emphasize that our
results are based on a new statistically meaningful
sample of high-resolution spectra. We also compared the
ratio of F-C factors q(
, 0)/q(0, 0) with that
following the data published by Herbig (1968) which was
based on the Morse potential. It is well seen in the last
column of Table 4 that our F-C ratios are close to those
previously published by Herbig (1968), in the case of
(1, 0) and (2, 0) transitions.
Conclusions
The above considerations led us to infer the following conclusions:
- 1.
-
our statistically meaningful sample of high resolution,
high S/N ratio spectra allowed us to make more precise
estimates of the oscillator strengths of CH+ A-Xtransitions, except in the case of A-X (0, 0) for
which we adapted the f-value proposed by Larsson &
Siegbahn (1983);
- 2.
- comparing the radial-velocity scale of the 4232 Å and
3957 Å bands in the spectra of 5 stars (Table 2) allowed us
to propose a new rest wavelength for the (2, 0) transition,
which should be 3957.689 Å.
Acknowledgements
The authors acknowledge the financial support: J.K. and T.W. acknowledges that of the Polish State during the period 2007-2010 (grant N203 012 32/1550). We are greateful to anonymous referee for valuable suggestions that allowed us to improve the manuscript.
References
- Allen, M. 1994, ApJ, 424, 754 [NASA ADS] [CrossRef] (In the text)
- Bagnulo, S., Jehin, E., Ledoux, C., et al. 2003, Msngr, 114, 10 [NASA ADS]
- Carrington, A., & Ramsay, D. A. 1982, Phys. Scr., 25, 272 [NASA ADS] [CrossRef] (In the text)
- Crawford, I. A. 1989, MNRAS, 241, 575 [NASA ADS] (In the text)
- Douglas, A. E., & Herzberg, G. 1941, ApJ, 94, 381 [NASA ADS] [CrossRef] (In the text)
- Douglas, A. E., & Morton, J. R. 1960, ApJ, 131, 1 [NASA ADS] [CrossRef] (In the text)
- Elander, N., Oddershede, J., & Beebe, N. H. F. 1977, ApJ, 216, 165 [NASA ADS] [CrossRef] (In the text)
- Federman, S. R. 1982, ApJ, 257, 125 [NASA ADS] [CrossRef] (In the text)
- Frisch, P. 1972, ApJ, 173, 301 [NASA ADS] [CrossRef] (In the text)
- Galazutdinov, G. A. 1992, Prep. Spets. Astrof. Obs., 92 (In the text)
- Gredel, R., van Dishoeck, E. F., & Black, J. H. 1993, A&A, 269, 477 [NASA ADS] (In the text)
- Herbig, G. H. 1968, ZA, 68, 243 [NASA ADS] (In the text)
- Larsson, M. 1983, A&A, 128, 291 [NASA ADS] (In the text)
- Larsson, M., & Siegbahn, P. E. M. 1983, Chem. Phys., 76, 175 [CrossRef] (In the text)
- Mahan, B. H., & O'Keefe, A. 1981, ApJ, 248, 1209 [NASA ADS] [CrossRef]
- Smith, W. H., Schempp, W. V., & Federman, S. R. 1984, ApJ, 277, 196 [NASA ADS] [CrossRef] (In the text)
- van Dishoeck, E. F., & Black, J. H. 1989, ApJ, 340, 273 [NASA ADS] [CrossRef] (In the text)
- Yoshimine, M., Green, S., & Thaddeus, P. 1973, ApJ, 196, 307 (In the text)
- Weselak, T., Galazutdinov, G. A., Musaev, F. A., & Kreowski, J. 2008, A&A, 479, 149 [NASA ADS] [CrossRef] [EDP Sciences] (In the text)
Footnotes
- ...
- They were acquired as part of the project ``Library of High-Resolution Spectra of Stars across the Hertzsbrung-Russell Diagram'' and are available at the website: http://www.sc.eso.org/santiago/uvespop. For more information see Bagnulo et al. (2003).
- ...
- see http://www.ls.eso.org/lasilla/sciops/3p6/harps/
- ...
products
- See UV-Visual Echelle Spectrograph user manual at http://www.eso.org/sci/facilities/paranal/
- ...
- In Table 1 we present HD number, spectral type, and
luminosity class, E(B-V), equivalent widths (EWs) (in mÅ)
of CH+ bands at 3447, 3579, 3745, 3957 and 4232 Å.
We also present column density calculated on the basis of
unsaturated CH+ bands at a - 4232, b - 3957, and c - 3745 Å depending on whether the 4232 and 3957 bands are saturated or not.
For the 3957 Å band, we adopted a new f-value equal to
.
We also compare our column densities with those
presented in the literature (d - Weselak et al. 2008; e
- Allen 1994; f - Crawford 1989). In the last column,
the calculated signal-to-noise ratio in the vicinity of 4232 Å band (after normalization) is presented.
- ...
- In Table 4 we present the calculated oscilator strengths for all CH
cation A - X transitions (
,
)
based
on the f-value of Larsson & Siegbahn (1983) - (L83) for
the 4232 band; other f-values follow our observations as
well the calculated f (
, 0)/f(0, 0) ratio and
Franck-Condon factors q(
, 0)/q(0, 0) ratio.
Our
results are compared with those already published: E77 -
Elander et al. (1977), F72 - Frisch (1972), H68 - Herbig
(1968), M(81) - Mahan & O'Keefe (1981), Y73 - Yoshimine
et al. (1973).
All Tables
Table 1: Observational measurements and published data. Description is presented in the text.
Table 2: New positions of CH+ molecular features compared to those of Herbig (1968) and Carrington & Ramsay (1982).
Table 3:
Calculated observed
ratios with errors.
Table 4: Calculated oscilator strengths for all CH cation A- X transitions. Description is presented in the text.
All Figures
![]() |
Figure 1: The (0, 0) to (0, 4) systems of CH cation A-X transitions, presented in the spectrum of HD 76 341 on a radial-velocity scale. |
| Open with DEXTER | |
| In the text | |
![]() |
Figure 2: Spectral features of CH+ A - X band at 4232 Å shown in the radial-velocity scale. The saturation effects are easily seen in the case of HD 106 068 and 147 889. |
| Open with DEXTER | |
| In the text | |
![]() |
Figure 3: Spectra of HD 58 343, 133 518, 105 071, 106 068 in the region of 4232 Å contaminated with the stellar feature of FeII at 4232.17 Å. We indicate correct continuum placement in each case ( at the top). Below we present the measurement of equivalent width of the 4232 Å line in the spectrum of HD 106 068. Gaussian fits are marked with dots and residual intensity with dashed line. Note that the spectrum was not shifted along the radial-velocity scale during equivalent-width measurement. |
| Open with DEXTER | |
| In the text | |
![]() |
Figure 4:
Radial-velocity
shift between 4232 and 3957 Å CH+ bands in the spectrum
of HD 179 406.
Observed difference is equal to 0.580 |
| Open with DEXTER | |
| In the text | |
![]() |
Figure 5: Our W(4232) measurements are compared to those published in the literature. The relation is good with the correlation coefficient equal to 0.99. |
| Open with DEXTER | |
| In the text | |
![]() |
Figure 6:
The relation
between equivalent widths of
3957 and 4232 bands a) and relation between their
calculated column densities b).
In the case of equivalent widths, the solid line represents
the
|
| Open with DEXTER | |
| In the text | |
Copyright ESO 2009
Current usage metrics show cumulative count of Article Views (full-text article views including HTML views, PDF and ePub downloads, according to the available data) and Abstracts Views on Vision4Press platform.
Data correspond to usage on the plateform after 2015. The current usage metrics is available 48-96 hours after online publication and is updated daily on week days.
Initial download of the metrics may take a while.

![\begin{figure}
\par\includegraphics[width=8cm,clip]{10348f1.eps}
\end{figure}](/articles/aa/full_html/2009/07/aa10348-08/Timg13.gif)
![\begin{figure}
\par\includegraphics[width=8cm,clip]{10348f2.eps}
\end{figure}](/articles/aa/full_html/2009/07/aa10348-08/Timg14.gif)
![\begin{figure}
\par\includegraphics[width=8cm,clip]{10348f3a.eps}\par\vspace*{2mm}
\includegraphics[width=8cm,clip]{10348f3b.eps}
\end{figure}](/articles/aa/full_html/2009/07/aa10348-08/Timg16.gif)
![\begin{figure}
\par\includegraphics[width=8.5cm,clip]{10348f4.eps}
\end{figure}](/articles/aa/full_html/2009/07/aa10348-08/Timg17.gif)
![\begin{figure}
\par\includegraphics[width=8cm,clip]{10348f5.eps}
\end{figure}](/articles/aa/full_html/2009/07/aa10348-08/Timg19.gif)
![\begin{figure}
\par\includegraphics[width=8cm,clip]{10348f6a.eps}\hspace*{4mm} \includegraphics[width=8cm,clip]{10348f6b.eps}
\end{figure}](/articles/aa/full_html/2009/07/aa10348-08/Timg20.gif)
