| Issue |
A&A
Volume 495, Number 1, February III 2009
|
|
|---|---|---|
| Page(s) | 53 - 72 | |
| Section | Extragalactic astronomy | |
| DOI | https://doi.org/10.1051/0004-6361:200810397 | |
| Published online | 14 January 2009 | |
A&A 495, 53-72 (2009)
Physical properties of galaxies and their evolution in the VIMOS VLT Deep Survey
I. The evolution of the mass-metallicity relation up to z
0.9
,![[*]](/icons/foot_motif.gif)
F. Lamareille1,3 - J. Brinchmann19 - T. Contini1 - C. J. Walcher7 - S. Charlot8,10 - E. Pérez-Montero1 - G. Zamorani3 - L. Pozzetti3 - M. Bolzonella3 - B. Garilli2 - S. Paltani15,16 - A. Bongiorno22 - O. Le Fèvre7 - D. Bottini2 - V. Le Brun7 - D. Maccagni2 - R. Scaramella4,13 - M. Scodeggio2 - L. Tresse7 - G. Vettolani4 - A. Zanichelli4 - C. Adami7 - S. Arnouts7,23 - S. Bardelli3 - A. Cappi3 - P. Ciliegi3 - S. Foucaud21 - P. Franzetti2 - I. Gavignaud12 - L. Guzzo9 - O. Ilbert20 - A. Iovino9 - H. J. McCracken10,11 - B. Marano6 - C. Marinoni18 - A. Mazure7 - B. Meneux22,24 - R. Merighi3 - R. Pellò1 - A. Pollo17 - M. Radovich5 - D. Vergani2 - E. Zucca3 - A. Romano5 - A. Grado5 - L. Limatola5
1 - Laboratoire d'Astrophysique de Toulouse-Tarbes, Université de Toulouse,
CNRS, 14 Av. E. Belin, 31400 France
2 - IASF - INAF, via Bassini
15, 20133 Milano, Italy
3 - INAF - Osservatorio Astronomico di
Bologna, via Ranzani 1, 40127 Bologna, Italy
4 - IRA - INAF, via
Gobetti 101, 40129 Bologna, Italy
5 - INAF - Osservatorio Astronomico
di Capodimonte, via Moiariello 16, 80131
Napoli, Italy
6 - Università
di Bologna, Dipartimento di Astronomia, via Ranzani 1, 40127 Bologna,
Italy
7 - Laboratoire d'Astrophysique de Marseille, UMR 6110 CNRS-Université
de Provence, BP 8, 13376 Marseille Cedex 12, France
8 - Max Planck
Institut für Astrophysik, 85741 Garching, Germany
9 -
INAF - Osservatorio
Astronomico di Brera, via Brera 28, 20021 Milan, Italy
10 - Institut
d'Astrophysique de Paris, UMR 7095, 98 bis Bvd Arago, 75014 Paris,
France
11 - Observatoire de Paris, LERMA, 61 Avenue de l'Observatoire,
75014 Paris, France
12 - Astrophysical Institute Potsdam, An der
Sternwarte 16, 14482 Potsdam, Germany
13 - iINAF - Osservatorio Astronomico
di Roma, via di Frascati 33, 00040 Monte Porzio Catone, Italy
14 -
Universitá di Milano-Bicocca, Dipartimento di Fisica, Piazza delle
Scienze 3, 20126 Milano, Italy
15 - Integral Science Data Centre,
ch. d'Écogia 16, 1290 Versoix, Switzerland
16 - Geneva Observatory,
ch. des Maillettes 51, 1290 Sauverny, Switzerland
17 - The A.
Soltan Institute for Nuclear Studies ul. Hoza 69, 00-681 Warszawa,
Poland
18 - Centre de Physique Théorique, UMR 6207 CNRS-Université
de Provence, 13288 Marseille, France
19 - Centro de Astrofísica
da Universidade do Porto, Rua das Estrelas, 4150-762 Porto, Portugal
20 - Institute for Astronomy, 2680 Woodlawn Dr., University of Hawaii,
Honolulu, Hawaii 96822, USA
21 - School of Physics & Astronomy,
University of Nottingham, University Park, Nottingham, NG72RD, UK
22 - Max Planck Institut für Extraterrestrische Physik (MPE), Giessenbachstrasse
1, 85748 Garching bei München, Germany
23 - Canada France Hawaii
Telescope corporation, Mamalahoa Hwy, Kamuela, HI-96743, USA
24 -
Universitätssternwarte München, Scheinerstrasse 1, 81679 München,
Germany
Received 16 June 2008 / Accepted 30 November 2008
Abstract
Aims. We want to derive the mass-metallicity relation of star-forming galaxies up to
,
using data from the VIMOS VLT Deep Survey. The mass-metallicity relation is commonly understood as the relation between the stellar mass and the gas-phase oxygen abundance.
Methods. Automatic measurement of emission-line fluxes and equivalent widths have been performed on the full spectroscopic sample of the VIMOS VLT Deep Survey. This sample is divided into two sub-samples depending on the apparent magnitude selection: wide (
)
and deep (
). These two samples span two different ranges of stellar masses. Emission-line galaxies have been separated into star-forming galaxies and active galactic nuclei using emission line ratios. For the star-forming galaxies the emission line ratios have also been used to estimate gas-phase oxygen abundance, using empirical calibrations renormalized in order to give consistent results at low and high redshifts. The stellar masses have been estimated by fitting the whole spectral energy distributions with a set of stellar population synthesis models.
Results. We assume at first order that the shape of the mass-metallicity relation remains constant with redshift. Then we find a stronger metallicity evolution in the wide sample as compared to the deep sample. We thus conclude that the mass-metallicity relation is flatter at higher redshift. At
,
galaxies at 109.4 solar masses have -0.18 dex lower metallicities than galaxies of similar masses in the local universe, while galaxies at 1010.2 solar masses have -0.28 dex lower metallicities. By comparing the mass-metallicity and luminosity-metallicity relations, we also find an evolution in mass-to-light ratio: galaxies at higher redshifts being more active. The observed flattening of the mass-metallicity relation at high redshift is analyzed as evidence in favor of the open-closed model.
Key words: galaxies: evolution - galaxies: fundamental parameters - Galaxies: abundances - galaxies: starburst
1 Introduction
The stellar mass and the gas-phase metallicity of a galaxy are two of the main parameters involved in the study of galaxy formation and evolution. As cosmological time progresses, theory predicts that both the mean metallicity and stellar mass of galaxies increase with age as galaxies undergo chemical enrichment and grow through merging processes. At any given epoch, the accumulated history of star formation, gas inflows and outflows affects the galaxy mass and its metallicity. Hence one expects theses quantities to show some correlation and this will provide crucial information about the physical processes that govern galaxy formation.
First discovered for irregular galaxies (Lequeux et al. 1979), the mass-metallicity relation has been intensively studied (Pilyugin & Ferrini 2000; Skillman et al. 1989; Zaritsky et al. 1994; Brodie & Huchra 1991; Garnett et al. 1997; Richer & McCall 1995, among others) and is now well established in the local universe by the work of Tremonti et al. (2004) with SDSS data and Lamareille et al. (2004) with 2dFGRS data, the latter done on the luminosity-metallicity relation which is easier to derive when a small number of photometric bands are available. These two studies have shown in two different ways that the mass-metallicity relation is mainly driven by the decrease of metal loss when stellar mass increases. Tremonti et al. (2004) have indeed observed an increase of the effective yield with stellar mass, while Lamareille et al. (2004) have shown the increase of the slope of the luminosity-metallicity relation. This last trend has also been observed down to much lower galaxy masses by Lee et al. (2006). We nevertheless note that they also observe a large scatter in the effective yield, which they find difficult to analyse in the context of more efficient mass loss among low mass galaxies.
Hierarchical galaxy formation models that take into account the chemical evolution and feedback processes are able to reproduce the observed mass-metallicity relation in the local universe (e.g. de Rossi et al. 2007; De Lucia et al. 2004; Finlator & Davé 2008). However these models rely on free parameters such as feedback efficiency, which are not yet well constrained by observations. Alternative scenarios have been proposed to explain the mass-metallicity relation including low star formation efficiency in low-mass galaxies caused by supernova feedback (Brooks et al. 2007) and a variable stellar initial mass function being more top-heavy in galaxies with higher star formation rates, thereby producing higher metal yields (Köppen et al. 2007).
The evolution of the mass-metallicity relation on cosmological timescales
is now predicted by semi-analytic models of galaxy formation that
include chemical hydrodynamic simulations within the standard
-CDM
framework (De Lucia et al. 2004; Davé & Oppenheimer 2007).
Reliable observational estimates of the mass-metallicity relation
of galaxies at different epochs (and hence different redshifts) may
thus provide important constraints on galaxy evolution scenarios.
Estimates of the mass-metallicity - or luminosity-metallicity - relation
of galaxies up to
are limited so far to small samples (Liang et al. 2004; Maier et al. 2004,2005; Hammer et al. 2005; Kobulnicky et al. 2003, among others).
Recent studies have been performed on larger samples (>100 galaxies)
but with contradictory results. Savaglio et al. (2005)
concluded on a steeper slope in the distant universe, interpreting
these results in the framework of the closed-box model. On the contrary,
Lamareille et al. (2006a) did not find any significant
evolution of the slope of the luminosity-metallicity relation, while
the average metallicity at
is lowered by 0.55 dex
at a given luminosity, and by 0.28 dex after correction for luminosity
evolution. Shapley et al. (2005) and Liu et al. (2008)
have also found 0.2-0.3 dex lower metallicities at z=1in the
DEEP2 sample. In the GOODS-N field, Cowie & Barger (2008)
have found a decrease of
dex at
in
the
solar mass range. At higher redshifts Erb et al. (2006)
derived a mass-metallicity relation at
lowered by 0.3 dex in metallicity compared with the local estimate, a trend which
could extend up to
(Maiolino et al. 2008).
The above numbers are given after the metallicities have been renormalized
to the same reference calibration in order to be comparable (Kewley & Ellison 2008).
In this work, we present the first attempt to derive the mass-metallicity
relation at different epochs up to
using a unique, large
(almost 20 000 galaxies) and homogeneous sample of galaxies selected
in the VIMOS VLT Deep Survey (VVDS). The paper is organized as follows:
the sample selection is described in Sect. 2,
the estimation of stellar masses and magnitudes from SED fitting are
described in Sect. 3, the estimation of metallicities
from line ratios is described in Sect. 4, and we finally
study the luminosity-metallicity (Sect. 5),
and mass-metallicity (Sect. 6)
relations. Throughout this paper we normalize the derived stellar
masses, and absolute magnitudes, with the standard
-CDM
cosmology, i.e. h=0.7,
and
(Spergel et al. 2003).
2 Description of the sample
The VIMOS VLT Deep Survey (VVDS, Le Fèvre et al. 2005)
is one of the widest and deepest spectrophotometric surveys of distant
galaxies with a mean redshift of
.
The optical spectroscopic
data, obtained with the visible multi-object sectrograph (VIMOS) installed
at ESO/VLT (UT3), offers a great opportunity to study the evolution
of the mass-metallicity relation on a statistically significant sample
up to
.
This limitation is imposed, in the current study,
by the bluest emission lines needed to compute a metallicity (i.e.
[OII]
3727, H
and [OIII]
5007)
being redshifted out of the wavelength range of the survey (approximately
). Metallicity measurements
up to
using a different set of lines will be provided
in a subsequent paper (Perez-Montero et al. 2009). The
spectra have been taken in one arcsecond width slits, under a spectral
resolution
.
The first epoch VVDS spectroscopic sample is purely apparent magnitude-selected
and is divided into two deep fields (
):
VVDS-02h (herefater F02, Le Fèvre et al. 2005) and
CDFS (Le Fèvre et al. 2004b); and three wide fields (
):
VVDS-22h, VVDS-10h and VVDS-14h (hereafter F22, F10, and F14 respectively, Garilli et al. 2008).
Spectroscopic data have been reduced using the VIPGI pipeline
(Scodeggio et al. 2005), which performs automatic 1D spectra extraction, correction for telluric absorption lines, and flux calibration. We only kept objects with a redshift known at a confidence level greater than 75% (i.e. VVDS redshift flags 9, 2, 3 and 4). Duplicated observations were not used (some objects have been observed twice or more, either by chance or intentionally); we
always kept the main observation. We also removed, for the purpose
of our study (i.e. star-forming galaxies), all stars (zero redshift)
and the sample of broad-line Active Galactic Nuclei (hereafter AGNs; Gavignaud et al. 2006).
The photometric coverage of the VVDS spectroscopic sample is as follows: CFH12k observations in BVRI bands for F02, F22, F10 and F14 fields (McCracken et al. 2003; Le Fèvre et al. 2004a), completed by U band observations in the F02 field (Radovich et al. 2004), CFHTLS (Canada-France-Hawaï Telescope Legacy Survey) u*g'r'i'z'bands for F02 and F22 fields, and JKs photometry available in F02 field (Temporin et al. 2008; Iovino et al. 2005). For the CDFS field, we use CFH12k UBVRI (Arnouts et al. 2001) and HST bviz (Giavalisco et al. 2004) observations. Finally, objects in the F02 and F22 fields have been cross-matched with the UKIDSS public catalog (Warren et al. 2007), providing additional observations in JK bands.
Throughout this paper, we will use a deep and a wide
sample. The deep sample is made of F02 and CDFS fields. Up to z<1.4(the limit for the [OII]
3727 emission line to be
in the observed wavelength range), the deep sample contains 7404 galaxies
(non-broad-line AGN) with a redshift measured at a confidence level
greater than 75%. The wide sample is made of F22, F10, F14, F02 and
CDFS fields (the last two being limited at
).
Up to z<1.4 the wide sample contains 13 978 galaxies (non-broad-line
AGN) with a redshift measured at a confidence level greater than 75%.
We draw the reader's attention to the fact that the two samples overlap
for galaxies observed in F02 or CDFS fields at
,
giving a total of 18648 galaxies. Figure 1 shows the
redshift distribution of the star-forming galaxies (see Sect. 2.2)
in the wide and deep samples and in their union.
![]() |
Figure 1: Redshift distributions of our wide and deep samples of star-forming galaxies, and of their union (see text for details). |
| Open with DEXTER | |
2.1 Automatic spectral measurements
The emission lines fluxes and equivalent widths, in all VVDS galaxy (non-broad-line AGN) spectra, have been measured with the platefit_vimos pipeline. Originally developed for the high spectral resolution SDSS spectra (Brinchmann et al. 2004; Tremonti et al. 2004), the platefit software has been adapted to accurately fit all emission lines after removing the stellar continuum and absorption lines from lower resolution and lower signal-to-noise spectra (Lamareille et al. 2006b). Other improvements have been made to the new platefit_vimos pipeline thanks to tests performed on the VVDS and zCOSMOS (Lilly et al. 2007) spectroscopic samples. A full discussion of the platefit_vimos pipeline will be presented in Lamareille et al. (in preparation) but here we outline some of its main features.
The stellar component of the spectra is fitted as a non-negative linear
combination of 30 single stellar population templates with different
ages (0.005, 0.025, 0.10, 0.29, 0.64, 0.90, 1.4, 2.5, 5 and 11 Gyr) and metallicities (0.2, 1 and
). These templates have been derived using the Bruzual & Charlot (2003) library and resampled to the velocity dispersion of VVDS spectra. The dust attenuation in the stellar population model is left as a free parameter. Foreground dust attenuation from the Milky Way has been corrected using Schlegel et al. (1998) maps.
After removal of the stellar component, the emission lines are fitted
together as a single nebular spectrum made of a sum of Gaussians
at specified wavelengths. All emission lines are set to have the same
width, with the exception of the [OII]
3727 line
which is a doublet of two lines at 3726 and 3729 Å and appear
broadened compared to the other single lines. The spectral resolution
is also too low to clearly separate [NII]
6584 and H
emission lines. It has been shown however by Lamareille et al. (2006b) that the [NII]
6584/H
emission-line ratio, which is used as a metallicity calibrator, can be reliably measured above a sufficient signal-to-noise ratio even at the resolution of VVDS.
Note that because of the limited observed wavelength coverage of the spectra, we do not observe all well-known optical lines at all redshifts. Thanks to the stellar-part subtraction, no correction for underlying absorption has to be applied to the Balmer emission lines.
The error spectrum which is needed for both fits of the stellar or nebular components is calculated as follows: a first guess is obtained from photon statistics and sky subtraction and is calculated directly by the VIPGI pipeline. A fit of the stellar and nebular components is performed with platefit_vimos using this first error spectrum. The residuals of this first fit are then smoothed and added to the error spectrum quadratically, and a new fit is performed with platefit_vimos.
Table 1:
Definition of the H
index.
![]() |
Figure 2:
Comparison between the standard Lick H
|
| Open with DEXTER | |
Detected emission lines may also be removed from the original spectrum in order to obtain the observed stellar spectrum and measure indices from it, as well as emission-line equivalent widths. The underlying continuum is indeed obtained by smoothing the stellar spectrum. Then, equivalent widths are measured as direct integration over a 5 Gaussian-sigma bandpass of the emission-line Gaussian model divided by the underlying continuum.
![]() |
Figure 3:
Red spectral classification of 412 narrow emission-line galaxies
in the redshift bin 0.2<z<0.4. The emission-line ratios - i.e.
[OIII] |
| Open with DEXTER | |
For the absorption lines, one has to be aware that the resolution
of VVDS spectra is too low in order to accurately measure Lick indices:
the bandpasses of these indices are narrower than the width of the
absorption lines at this resolution. In order to measure the absorption
component in the H
line, which is used to derive stellar
masses (see below), we have defined a new broadened index for this
specific line called H
.
Table 1
gives the three bandpasses of this index. Figure 2
shows the comparison between this index and the standard Lick H
index measured in various model templates taken from Bruzual & Charlot (2003)
library and covering a wide range of ages and metallicities. For future
comparison between VVDS measurements and other studies, we derive
the following relation:
Note that the majority of points lying outside the fitted relation in Fig. 2 (for
2.2 Selection of star-forming galaxies
Table 2: Sets of emission lines required to have S/N>4 in various redshift ranges associated with the various diagnostics used in this study.
2.2.1 Description of the various diagnostics
To ensure accurate abundance determinations, we restrict our attention to galaxies with emission lines detected at S/N>4, where the set of lines considered for this S/N cut varies with redshift. Table 2 provides a summary of the emission lines required to have S/N>4in the various redshift ranges associated with the various diagnostics defined below.
Our work intends to understand the star-formation process in galaxies. Thus we have to remove from the sample of emission-line galaxies those for which the source of ionized gas, responsible for these lines, is not hot young stars. Emission-line galaxies can be classified in various spectral types, which depend on the nature of their nebular spectrum. The two main categories are the star-forming and AGN galaxies. Their source of ionizing photons are respectively hot young stars, or the accretion disk around a massive black-hole. As stated before, broad-line AGNs (also called Seyfert 1 galaxies) are already taken out of our sample. The narrow-line AGNs are divided in two sub-categories: Seyfert 2 galaxies , and LINERs .
Both Seyfert 2 galaxies and LINERs can be distinguished from star-forming
galaxies using standard diagnostic diagrams (Baldwin et al. 1981; Veilleux & Osterbrock 1987),
which are based on emission-line ratios. The most commonly used classification
is provided by the [OIII]
5007/H
vs. [NII]
6584/H
diagram (Fig. 3a), for which a semi-empirical limit
between star-forming, Seyfert 2 galaxies, and LINERs has been derived
by Kewley et al. (2001) from photo-ionization models.
Due to our low spectral resolution, the [NII]
6584
line is not always detected and its detection is less reliable than
other lines, because of possible deblending problems with the bright
H
line. Consequently, most of the galaxies in the same redshift
range are actually classified with the [OIII]
5007/H
vs. [SII]
6717+6731/H
diagram (see
Fig. 3b).
Table 3: Statistics of star-forming galaxies and narrow-line AGNs among emission-line galaxies for various diagnostics depending on which emission lines are observed (see text for details). The results are presented for the two wide and deep samples used in this paper, and for their union (some objects are in common). We also mention for each sample the total number of objects which includes emission-line, faint and early-type galaxies.
The two diagrams shown in Fig. 3, which we also refer
to as the red diagnostics, can only be used with our data in the 0.2<z<0.4redshift range, as the desired emission lines are not visible outside
this domain. At higher redshifts, one can use the alternative blue
diagnostic which was empirically calibrated by Lamareille et al. (2004)
from 2dFGRS data, in order to give similar results as the red diagnostics.
The blue diagnostic is based on the [OIII]
5007/H
vs. [OII]
3727/H
diagram (line ratios calculated
on rest-frame equivalent widths), and may be applied in the 0.5<z<0.9redshift range (see Fig. 4).
For the other redshift ranges, where neither the red nor the blue
diagnostic applies, we use a minimal classification based on H
,
[NII]
6584 and [SII]
6717+6731
for 0.0<z<0.2, and on H
and [OIII]
5007
for 0.4<z<0.5. We propose the following selection (called the H
diagnostic) for star-forming galaxies in the 0.4<z<0.5 redshift
range:
(rest-frame equivalent widths, see Fig. 5a). We note
that real star-forming galaxies that are lost with the H
diagnostic
are mainly low metallicity ones. In any case a quick check using SDSS data has told us that no more than 40% of star-forming galaxies with
actually fall in the AGN region of the H
diagnostic, this proportion being negligible at higher
metallicities.
![]() |
Figure 4:
Blue spectral classification of 1060 narrow emission-line galaxies
in the redshift bin 0.5<z<0.9. The emission-line ratios - i.e.
[OIII] |
| Open with DEXTER | |
Figure 5b shows the minimum classification for the
0.0<z<0.2 redshift range (called the H
diagnostic). The
proposed separation has been derived based on the 2dFGRS data (Lamareille 2006)
and follows the equation (rest-frame equivalent widths):
This equation have been derived to efficiently reduce both the contamination by real AGNs in the star-forming galaxies region (<1%), and the fraction of real star-forming galaxies that is lost (<4%).
The results of all diagnostics, in the wide, deep, and global samples, are shown in Table 3.
2.2.2 Discussion of possible biases
It is very important to evaluate the possible sources of biases affecting the spectral classification coming from the use of various diagnostics at different redshift ranges.
As the [OII]
3727/H
line ratio is less accurate
than [NII]
6584/H
,
or [SII]
6717+6731/H
,
to distinguish between star-forming and Seyfert 2 galaxies, the blue diagnostic is defined with an error domain (see the dashed curves in Fig. 4) inside which individual galaxies cannot be safely classified. We thus introduce two new categories of galaxies: candidate star-forming galaxies and candidate AGNs, which fall respectively in the lower-half or the upper-half part of the error domain.
![]() |
Figure 5:
Intermediate spectral classifications of 1479 a) and 43; b)
narrow emission-line galaxies. The two plots show the intermediate
diagnostic diagrams, used in the redshift bins 0.4<z<0.5 a) and
0.0<z<0.2 b), or in other redshifts bins for galaxies with insufficient
number of detected emission lines (therefore not classified with the
red or blue diagnostic). The emission-line ratios - i.e. [OIII] |
| Open with DEXTER | |
We know however that AGNs are in the minority in the universe. Thus we emphasize that i) still no reliable classification can be performed for any individual galaxy falling inside the error domain of the blue diagnostic; ii) the search for AGNs is highly contaminated in the candidate AGN region; but iii) any study involving statistically significant samples of star-forming galaxies should not be biased when candidate star-forming galaxies and candidate AGNs are included. As it will be shown in Sects. 5 and 6, this results in a negligible bias on the derived metallicities.
As for the blue diagnostic, we have defined an error domain for the
H
diagnostic in the following range:
.
Star-forming galaxies or AGNs falling inside this domain are classified
as candidates.
One can see in Table 3 that the red diagnostic
is the only one able to find LINERs. Indeed, LINERs fall in the star-forming
galaxy region with the blue or H
diagnostic, while they fall
in the Seyfert 2 region with the H
diagnostic. We know however
that the contamination of star-forming galaxies by LINERs, in the
blue or H
diagnostic, is less than 1%.
Another bias could come from the population of composite galaxies,
i.e. for which the ionized gas is produced by both an AGN and some
star-forming regions. When looking for AGNs in the SDSS data, Kauffmann et al. (2003a)
have defined a new, less restrictive, empirical separation between
star-forming galaxies and AGNs (see the dashed curve in Fig. 3).
They then classified as composites all galaxies between this new limit
and the old one by Kewley et al. (2001). This result
is confirmed by theoretical modeling: Stasinska et al. (2006)
have found that composite galaxies indeed fall in the region between
the curves of Kauffmann et al. (2003a) and Kewley et al. (2001)
in the [OIII]
5007/H
vs. [NII]
6584/H
diagram. Moreover, they have found that composite galaxies fall in
the star-forming galaxy region in the other diagrams ([OIII]
5007/H
vs. [SII]
6717+6731/H
or [OII]
3727/H
).
It is difficult to evaluate the actual bias due to contamination by composite galaxies in the red or blue diagnostics that we use in this study. This difficulty comes mainly from the fact that, if composite galaxies actually fall in the composite region as defined by Kauffmann et al. (2003a), not all galaxies inside this region are necessarily composites. A large majority of them might be normal star-forming galaxies. One way to evaluate the contamination by composite galaxies is to look for star-forming galaxies with an X-ray detection. Such work has been performed with zCOSMOS data with similar selection criteria as the wide sample: Bongiorno et al. (2008) have found that the contamination of star-forming galaxies by composites is approximately 10%.
3 Estimation of the stellar masses and absolute magnitudes
3.1 The Bayesian approach
The stellar masses are estimated by comparing the observed spectral
energy distribution (SED), and two spectral features (H
absorption line and
break), to a library of stellar
population models. The use of two spectral features reduces the well-known
age-dust-metallicity degeneracy in determining the mass-to-light ratio
of a galaxy. Compared to pure photometry, Balmer absorption lines
are indeed less sensitive to dust, while the
break
is less sensitive to metallicity, both being sensitive to the age.
One observation is defined by a set Fi of observed fluxes in
all photometric bands, a set
of associated errors,
a set Ii' of observed indices, and a set
of
associated errors. The
of each model, described by a set
of theoretical photometric points, and a set
of theoretical indices, is calculated as:
where A is the normalization constant that minimizes the
For one observation, the set of
calculated on all
models are summarized in a probability distribution function (PDF)
which gives the probability of each stellar mass, given the underlying
library of models (the prior). Each stellar mass
is assigned
a probability described by the following normalized sum:
where
This method, based on the Bayesian approach, has been introduced by the SDSS collaboration (Kauffmann et al. 2003b; Brinchmann et al. 2004; Tremonti et al. 2004) in order to carry out SED fitting estimates of the physical properties of galaxies, and is starting to be widely used. Its main advantage is that it allows us, for each parameter, to obtain a reliable estimate, independently for each parameter, which takes all possible solutions into account, not only the best-fit. Thus, this method takes into account degeneracies between observed properties in a self-consistent way. It also provides an error estimate of the derived parameter from the half-width of the PDF .
3.2 Description of the models
We use a library of theoretical spectra based on Bruzual & Charlot (2003, hereafter BC03)
stellar population synthesis models, calculated for various star formation
histories. Unlike many other studies which only use a standard declining
exponential star formation history, we have used an improved grid
also including secondary bursts (stochastic library, Gallazzi et al. 2005; Salim et al. 2005).
The result of the secondary bursts, compared to previous methods,
is mainly to obtain higher masses, as we are now able to better reproduce
the colors of galaxies containing both old and recent stellar populations.
When one uses a prior with a smooth star formation history, such objects
are better fitted by young models which correctly reproduce the recent
star formation history and the colors in the bluer bands. But such
models fail to reproduce the underlying old stellar population which
affects the colors of the redder bands, therefore they lead to an
underestimate of the final stellar masses by a factor
1.4
(see Pozzetti et al. 2007, for a discussion of the different methods).
Masses derived with this method are also relative to the chosen IMF (Chabrier 2003) . The models include self-consistent two-component dust corrections (Charlot & Fall 2000).
![]() |
Figure 6: Comparison of the stellar masses of star-forming galaxies in our sample, obtained with BC03 and CB07 models, using both photometry and spectroscopy. The latter provides a better treatment of the TP-AGB stars in the near-infrared. The top panel shows the difference between the two masses, the bottom panels show the associated histogram ( left) and the histogram of the differences between the two error estimates ( right). The slope of the difference (s) is shown in the plot. The mean value (m) and the rms (r) of the two histograms are given in the plots. |
| Open with DEXTER | |
In addition to the secondary bursts, the models used in this study
(Charlot & Bruzual, in preparation, hereafter CB07) also include
a new treatment of the TP-AGB stars (Marigo & Girardi 2007),
in order to provide a better fit of the near-infrared photometric
bands (see also Maraston 2005; Maraston et al. 2006).
We have derived the stellar masses of our whole sample of galaxies
with BC03 and CB07 models. Figure 6 shows the
results of this comparison. As expected, the masses derived with CB07
models are lower, since the near-infrared flux of TP-AGB stars was
underestimated in BC03 models. The mean shift is -0.07 dex, with
a dispersion of 0.11 dex, which corresponds to an overestimate
of the stellar masses by a factor
1.2 with BC03 models.
Their is also a small trend for more massive galaxies to be more affected
by the difference between the two models. This comparison has been
studied in more detail by Eminian et al. (2008).
The same comparisons have been performed on masses derived only using photometry: the mean shift is -0.09 dex, with a dispersion of 0.19 dex. The spectral indices are not expected to vary much with the new treatment of TP-AGB stars introduced by CB07 models. It is thus expected that masses computed only with photometry vary more from BC03 to CB07 models than those computed also with spectral indices.
We note that the stellar masses derived with BC03 models and a smooth star formation history are very similar to the ones derived with CB07 models and secondary bursts. Stronger effects have to be expected on derived star formation rates or mean stellar ages.
![]() |
Figure 7: Same legend as in Fig. 6, except that we now compare the stellar masses that we obtain with CB07 models with photometry and spectroscopy (final) to the ones obtained: a) using only photometry; b) using only spectroscopy. Only objects with a sufficient number of photometric bands and spectral indices (i.e. more than two of each) are used in these plots. |
| Open with DEXTER | |
Figure 7 now compares the stellar masses obtained
with CB07 models when using only photometry, only spectroscopy, and
both photometry and spectroscopy. Figure 7a
shows the comparison between the mass obtained using only photometry,
and the one obtained by adding the two spectral indices mentioned
above. The derived mass and associated error are not significantly
biased towards the two different methods (photometric masses are -0.05dex lower). Nevertheless, we have compared the
values
in both cases and found that it never increases when we add the spectral
indices in the analysis. Moreover, the
obtained in this
latter case is lowered by a factor whose mean value is 2.3. The
dispersion of 0.15 dex in the comparison between the two masses
thus has to be taken into account as the minimum uncertainty of our
stellar masses.
Figure 7b shows what would happen if only spectral indices were used. We see that the derived mass does not suffer from any bias, but is subject to a large dispersion of 0.39 dex (a factor of 2.45). A slope of -0.25 dex/decade is found, but is not significant given the dispersion. The comparison of the derived errors shows that this additional uncertainty is mostly taken into account: both measurements have to account for a minimum uncertainty of 0.15 dex and the measurements obtained using only spectroscopy show a 0.13 dex additional uncertainty.
![]() |
Figure 8: Stellar mass estimates (in logarithm of solar masses), as a function of redshift, of the galaxies in our samples: left: the wide sample, right: the deep sample, top: all galaxies (except broad-line AGNs), bottom: only star-forming galaxies (see Sect. 2.2). The red, green and blue curves illustrate respectively the 50%, 80% and 95% mass-to-light completeness levels (see text for details). |
| Open with DEXTER | |
The reason for this comparison is that Tremonti et al. (2004)
have not used full SEDs to derive stellar mass-to-light ratios but
only two spectral indices:
and H
,
the mass being then scaled from z-band luminosity. We note that
their spectral indices have been measured at a much better signal-to-noise
ratio and resolution on SDSS spectra as compared to VVDS spectra.
We conclude from Fig. 7b that Tremonti et al. (2004)
masses computed only with spectroscopy are directly comparable to
our final masses computed with the addition of photometry, provided
that we scale them by -0.07 dex and -0.056 dex to account
respectively for the difference between BC03 and CB07 models, and
between the Kroupa (2001) and Chabrier (2003)
IMF.
3.3 Defining volume-limited samples
Figure 8 shows the stellar masses obtained, as a function of redshift, for the galaxies of our various samples (wide or deep, all galaxies or star-forming galaxies only). As expected in a magnitude-selected sample, the minimum stellar mass which is detected depends on the redshift, because of the decrease of apparent magnitude when the distance increases. This effect is well known as the Malmquist bias. The upper limit of the mass distribution is in part due to the bright cut-off in the magnitude selection, while in addition to that a larger volume is observed at higher redshift, which allows a better sampling of the upper mass region. The VVDS is a constant solid-angle survey: the observed volume increases with distance and rare objects, like very massive galaxies, have more chances of being detected.
There are two ways to account for these two biases. The first one is to use the Vmax technique: each object is weighted by the inverse of the maximum volume in which it could be observed, given the selection function of the survey. The result is a density which is statistically corrected for the selection effects, but may suffer from evolution effects. Another, simpler, technique is to build volume-limited samples: a redshift range is defined and only objects which may be observed in the entire volume between these two redshifts (given the selection function) are kept. We use this last technique in our study.
In practice, for magnitude-selected surveys, one has to calculate
the minimum stellar mass which is detected at the upper limit of the
redshift range, and then to throw out the objects below this limit
since they are not observed in the entire volume. Nevertheless the
minimum mass which may be detected at a given redshift, for a given
limiting apparent magnitude, depends on the stellar mass-to-light
ratio. One way to solve this issue is to calculate, for each galaxy,
the mass
it would have if its apparent
magnitude I was equal to the selection magnitude
(i.e. 24 for the deep sample, and 22.5 for the wide sample):
The result is a distribution of minimum stellar masses which reflects the distribution of stellar mass-to-light ratios in the sample. The red, green, and blue curves in Fig. 8 show respectively the 50%, 80% and 95% levels for the cumulative sum of this distribution. The limiting masses derived for the 4 different samples mentioned above are given in Table 4. As expected, we see that the limiting mass increases with redshift and is lower for the deep sample. The derived completeness levels on the deep sample are similar to but higher than the ones found by Meneux et al. (2008) in the same data. The difference is due to the different cosmology used in this paper, i.e. h=1.
We see also that the limiting mass is lower when we consider only star-forming galaxies, compared to the whole samples. This is due to star-forming galaxies having lower mass-to-light ratios. This shows that if a sub-sample has a smaller range in mass-to-light ratios, then a less conservative mass limit can be adopted than if a single fixed maximum mass-to-light ratio is taken.
Finally, we note that the wide sample contains more massive objects since it covers a larger volume of universe.
Table 4: Limiting masses (in logarithm of solar masses) of our various samples in order to define volume-limited samples, as a function of the redshift ranges and for various mass-to-light completeness levels.
![]() |
Figure 9: Absolute magnitudes estimates in the rest-frame B-band (AB system), as a function of redshift, of the star-forming galaxies of the wide ( left) and deep ( right) samples. The red, green and blue lines illustrate respectively the 50%, 80% and 95% k-correction completeness levels (see text for details). |
| Open with DEXTER | |
3.4 Absolute magnitudes
As a by-product of the estimation of stellar masses, we have also calculated the k-corrected absolute magnitudes, in the rest-frame B-band, using the Bayesian approach and the CB07 models. The results for star-forming galaxies are shown in Fig. 9 as a function of redshift. Because of the k-correction, the maximum absolute magnitude which may be detected, as a function of redshift, is also affected by the stellar mass-to-light ratio. The absolute magnitude in rest-frame B-band is affected by the ratio between the flux in this band, and the flux in the observed I-band, whose ratio depends on the type of the galaxy and on redshift. We also note that as the observed I-band is fairly close to the rest-frame B-band, the variation in k-correction is small compared to the variation in mass-to-light ratio as can be seen by the reduced spread between the different completeness level curves in Fig. 8 as compared to Fig. 9.
Table 5: Limiting B-band absolute magnitudes (AB system) of our wide and deep samples of star-forming galaxies, in order to define volume-limited samples, as a function of the redshift ranges and for various k-correction completeness levels.
The limiting B-band absolute magnitudes, associated with various redshift ranges and k-correction completeness levels, are given in Table 5. We note that the absolute magnitudes used in this study may differ from previous works performed on the same dataset (e.g. Ilbert et al. 2005). For self-consistency, we have chosen to calculate the absolute magnitudes with the same models as the ones used for the stellar masses, namely CB07 models with secondary bursts.
4 Estimation of the metallicities
In this study, the metallicities are estimated as the gas-phase oxygen
abundances
.
4.1 The empirical approach
Strong-line empirical calibrators may be used to compute the gas-phase
metallicities from the available measured emission lines, e.g. H
,
H
,
[OIII]
5007, [NII]
6584,
[OII]
3727. As shown by Lamareille et al. (2006b),
the [NII]
6584 and H
emission lines are
reliably deblended for sufficiently high signal-to-noise ratios even
at the resolution of the VVDS.
![]() |
Figure 10: Comparison between empirically-calibrated (x-axis), and CL01 metallicities (y-axis) for our whole sample of star-forming galaxies. The red solid line shows the y=x relation, while the blue dashed line is a least-square fit to the data points. The parameters of the fit are given in the two plots (a: slope, b: zero-point). |
| Open with DEXTER | |
We use the N2 calibrator up to
(van Zee et al. 1998; Denicoló et al. 2002),
the O3N2 calibrator for the redshift range 0.2<z<0.5 (Pettini & Pagel 2004),
and the
calibrator for the redshift range 0.5<z<0.9(McGaugh 1991).
At high redshifts, where nitrogen or sulfur lines are not observed,
the metallicity is degenerate because of radiative cooling at high
metallicities which lowers the intensities of oxygen lines. Thus,
a low oxygen-to-hydrogen line ratio can be interpreted as either low
oxygen abundance or high oxygen cooling, i.e. high oxygen abundance.
The degeneracy of the
calibrator is broken using
the B-band absolute magnitude and the reference luminosity-metallicity
relation (see Lamareille et al. 2006a, for a detailed discussion of this method).
As clearly shown by Kewley & Ellison (2008), the difficulty
of using different metallicity calibrators at different redshifts
comes from the huge differences, up to
0.7 dex, which exist
between them. Therefore, we have decided to renormalize the different
calibrators to the Charlot & Longhetti (2001, hereafter CL01)
calibrator, which has been used to estimate the mass-metallicity relation
from SDSS data (Tremonti et al. 2004). The correction
formulas are found in Table B3 of Kewley & Ellison (2008).
Finally, a consequence of the small spectral coverage is also that
H
and H
lines are not observed together for most
redshifts, making the estimation of the dust attenuation difficult
from the standard Balmer decrement method. As already shown by Kobulnicky & Phillips (2003),
and Lamareille et al. (2006a), metallicities can be
reliably derived using equivalent width measurements instead of dust-corrected
fluxes.
Nevertheless, Liang et al. (2007) have shown that the
[OIII]
5007/[OII]
3727 emission
line ratio, which is used in the
calibrator, does
not give the same value if it is calculated using equivalent widths
or dust-corrected fluxes: the ratio between the two results depends
on the differential dust attenuation between stars and gas, and on
the slope of the stellar continuum. They have found that the derived
metallicities are affected by a factor ranging from -0.2 to 0.1 dex, but they also showed that this factor has a mean value of only
-0.041 dex. It is thus not significant for the estimation of the
mass-metallicity relation on statistical samples. Nevertheless, in
order to avoid any possible bias on a different sample, we decided
to use their corrective formula based on the
index.
4.2 The Bayesian approach
The metallicities may also be estimated again using the Bayesian approach. The relative fluxes of all measured emission lines are compared to a set of photoionization models, which predict the theoretical flux ratios given four parameters: the gas-phase metallicity, the ionization level, the dust-to-metal ratio and the reddening (Charlot & Longhetti 2001). The CL01 models are based on population synthesis for the ionizing flux (Bruzual & Charlot 2003), emission line modeling (Cloudy, Ferland 2001) and a two-component dust attenuation law (Charlot & Fall 2000).
We calculate the
of each model and summarize them in the
PDF of the metallicity using a similar method to that described above
in Eqs. (3) and (4), but now applied to emission-line
fluxes instead of photometric points. Only the emission lines with
enough signal-to-noise (S/N > 4) are used in the fit. This method is
applied directly on observed line fluxes: the correction for dust
attenuation is included self-consistently in the models.
The O/H degeneracy at high redshift ends up with double-peaked PDFs: one peak for the low metallicity solution and another one at high metallicity. However, other information such as dust extinction, ionization level, or star formation rate contribute two different probabilities to the two peaks. Thus, we solve the degeneracy by fitting two peaks in the PDFs, and by keeping the one with the highest probability. As already discussed in Lamareille et al. (2006a), this method cannot be used to chose the metallicity of a single galaxy, but it can be used statistically to derive a mean metallicity, e.g. as a function of mass.
In this study, given the relatively low spectral resolution and spectral coverage of our spectra, we use the CL01 method only as a check of the quality of empirically-calibrated metallicities. The three main advantages of checking our results with the CL01 method are: (i) the use of one unique calibrator for all redshift ranges; (ii) the different method to deal with dust extinction, i.e. the self-consistent correction instead of the use of equivalent widths; (iii) the different method to break the O/H degeneracy, i.e. the fit of the double-peaked PDF instead of the use of the luminosity.
Figure 10 shows the comparison between the empirically-calibrated
and the CL01 metallicities. Apart from a small number of outliers (7%), the two results are in good agreement within a dispersion of approximately 0.22 dex. This dispersion can be compared with the intrinsic dispersion of the mass-metallicity relation, which is of
0.22 dex. We have also calculated the mean of the error bars for the two methods: 0.06 dex for the empirical method, and 0.18 dex for the CL01 method.
Let us summarize all the contributions to the global dispersion: (i) The empirically-calibrated errors have been estimated from basic propagation of the line measurement errors. We know from tests performed on duplicate observations that platefit_vimos errors are not underestimated. They reflect the negligible contribution of noise to the global dispersion; (ii) Conversely, the CL01 errors have been estimated from the width of the PDF. They also reflect the additional dispersion due to the degeneracies in the models, which are taken into account through the Bayesian approach; (iii) The difference between the mean CL01 error and the global dispersion reflects real variations in the physical parameters of galaxies, which are not taken into account in both models.
The comparison between the two methods have shown that: (i) the various empirical calibrators used at different redshift ranges give consistent results with the CL01 metallicities, thanks to the correction formulas provided by Kewley & Ellison (2008); (ii) the empirical correction for dust attenuation using equivalent widths, and the correction formula provided by Liang et al. (2007), is consistent with CL01's results, obtained directly from observed line fluxes and a self-consistent reddening correction; (iii) apart from a relatively small number of outliers, the O/H degeneracy is correctly broken using the luminosity diagnostic with the empirical method.
4.3 Possible biases
Figure 10 also indirectly shows that the metallicities obtained with N2 and R23 calibrators at different redshifts are directly comparable, even if there is no galaxy in our sample where these two calibrators can be applied at the same time. Indeed we see that both N2 and R23 metallicities are in agreement with CL01 metallicities, apart from the small number of outliers. Moreover we have investigated the possible biases introduced by the use of different sets of lines, at different redshifts, with the CL01 method: we have confirmed that this method gives, as expected, comparable results at different redshifts.
Another possible bias comes from the fact that the slit used for the spectroscopy does not necessarily cover all the light of the observed galaxy. We have taken the spatial extension of the galaxies calculated from photometry, and compared it to the width of the slit, i.e. one arcsecond. This gives the aperture fraction of the galaxy, expressed in percent. Figure 11 (bottom) shows the distribution of the aperture fractions for the star-forming galaxies in our sample (this information was not available for the CDFS sample). The mean aperture fraction is 52%, and we see that the large majority of objects has an aperture fraction greater than 20%, which is the minimum aperture fraction given by Kewley et al. (2005) in order to minimize aperture effects on derived parameters like the metallicity or the star-formation rate.
![]() |
Figure 11:
Bottom: distribution of the aperture fractions (in percent) for the star-forming galaxies in our sample. The dashed histogram shows the distribution for the galaxies at low redshift (z<0.5) with a high metallicity (
|
| Open with DEXTER | |
In Fig. 11, we also observe the expected correlation between redshift and the aperture fraction, both increasing at the same time. The aperture fractions show an increase of 35% per unit-redshift. Since the aperture fractions are already high enough at low redshift not to affect the derived metallicities, and since they increase with redshift, this slope is likely to have a marginal effect on the derived evolution of metallicity as a function of redshift.
5 The luminosity-metallicity relation
![]() |
Figure 12: Rest-frame B-band luminosity-metallicity relation for the wide ( top) and deep ( bottom) samples, for three redshift ranges: from left to right 0.0<z<0.5, 0.5<z<0.7 and 0.7<z<0.9. The metallicities have been estimated using the empirical approach (see Sect. 4.1). The solid line shows the luminosity-metallicity relation at low redshift derived by Lamareille et al. (2004), and renormalized to the CL01 method. The short-dashed line shows the fit to the data points using the ols bisector method (see text). The long-dashed lines show the fit to the data points assuming a constant slope. |
| Open with DEXTER | |
Table 6: Evolution of the luminosity-metallicity relation for the wide and deep samples. The reference relation is the one obtained by Lamareille et al. (2004) with 2dFGRS data and renormalized to the CL01 method. In each redshift range, we give the results of the ols bisector fit (slope and zero-point) and of the constant-slope fit (mean shift, see Fig. 12), together with the mean redshift and magnitude, and the dispersion of the relation. The metallicity shift is given in three cases: a) using only star-forming galaxies; b) adding candidate star-forming galaxies; and c) also adding candidate AGNs.
5.1 Study of the derived fits
In this section we study the relation between the rest-frame B-band luminosity and gas-phase metallicity, for the star-forming galaxies of our wide and deep samples. Here we use the metallicities estimated with the empirical approach, and renormalized to the CL01 method (see Sect. 4.1). Figure 12 shows the luminosity-metallicity relation of the wide and deep samples in three redshift ranges: 0.0<z<0.5, 0.5<z<0.7 and 0.7<z<0.9. The results are compared to the luminosity-metallicity relation in the local universe derived by Lamareille et al. (2004) with 2dFGRS data, and renormalized to the CL01 method. In order to do this comparison, we have performed a linear fit to the data points.
As shown before, the luminosity-metallicity relation is characterized
by an non-negligible dispersion of the order of
0.25 dex
(higher than that of the mass-metallicity relation). Therefore, the
method used to perform the fit has a huge impact on the results, and
it is mandatory to use the same method before doing comparisons between
two studies. Thus, we have used the same method than Lamareille et al. (2004),
i.e. the ols bisector fit (Isobe et al. 1990), starting
from the 50% k-correction completeness level (see Sect. 3.4).
The results are shown in Fig. 12 and in Table 6.
The slope is by
steeper than the one of the reference
relation in the local universe, this slope being similar in all redshift
ranges (
), except 0.5<z<0.7 in the deep sample.
As already shown by Lamareille et al. (2004) who have
compared the slopes of the luminosity-metallicity relation for low
and high metallicity objects, this slope is steeper for high metallicity
objects. This effect has been confirmed by Lee et al. (2006)
who extended the mass-metallicity relation of Tremonti et al. (2004)
to lower masses and metallicities and found a flatter slope. We emphasize
that we are not discussing here the saturation at
as observed by Tremonti et al. (2004), and which might
be confused with a flatter slope at very high metallicity.
Thus, given that we expect a steeper slope at high metallicity, we
analyze our results as a lack of data points in the low metallicity
region: the wide sample does not go deep enough to detect low-metallicity
and low-luminosity objects above the completeness limit. Moreover, in the 0.0<z<0.5 redshift range of wide and deep samples, the S/N>4cut on emission lines introduces a bias towards high metallicity objects:
the faint and blended [NII]
6584 line, used to compute
metallicities in this redshift range, becomes rapidly undetectable
at low metallicities.
The apparently high number of galaxies with low redshift, low luminosity
and high metallicity seen in Fig. 12 (left) may be explained
by two effects. First, as said in the previous paragraph, the [NII]
6584
line is more likely to be observed for high metallicity objects. There
is consequently a lack of objects with low luminosity and low metallicity
which makes the distribution appear to be wrong (as compared to previous
studies). Second, these objects at low redshift may have lower aperture
fractions, which may introduce a bias towards higher metallicities given that we preferentially observe their central part. Indeed, we have plotted the distribution of the aperture fractions for objects with a low redshift and a high metallicity in Fig. 11 (bottom,
dashed histogram): they are clearly lower, with a mean of 40%.
We recognize that the results obtained by performing a direct linear fit to data points suffer from a drawback: the correlations between metallicity and luminosity shown in Fig. 12 are weak. This weakness is characterized by the non-negligible error bars for the slopes and the zero-points of the relations provided in Table 6, and also by low Spearman correlation rank coefficients: of the order of -0.3 for the bottom-center panel, and -0.1 for the other panels.
5.2 Global metallicity evolution
Despite the weakness of the correlations found in our data, we know from previous studies that the luminosity-metallicity relation exists. Thus we can use the existence of this relation as an assumption and find new results.
In order to quantify the evolution of the luminosity-relation, we can also derive the mean evolution of metallicity. This is done with the additional assumption that the slope of the luminosity-metallicity relation remains constant at zero-order. The results are shown in Fig. 12 and in Table 6. As expected, the evolution is barely significant in the 0.0<z<0.5 redshift range. In the 0.5<z<0.7 and 0.7<z<0.9 redshift ranges, the evolution is stronger. It is similar in the wide sample to what has been found by Lamareille et al. (2006a). In the 0.5<z<0.7 redshift range of the deep sample, the results are similar with both methods, which confirms the hypothesis that a steeper slope is found only when low-metallicity points are not included in the fit.
Finally, the comparison of the wide and deep samples show a stronger evolution of the metallicity with redshift in the wide sample. This result tells us that the slope does not actually remain constant, and that the evolution of the metallicity is stronger in more luminous objects. At
,
galaxies with an absolute B-band magnitude of
have -0.32 dex lower metallicities than galaxies of similar luminosities in the local universe, while galaxies with an absolute B-band magnitude of
have -0.65 dex lower metallicities.
We have checked that the results are stable when breaking the O/H
degeneracy at high redshift with a different reference relation (e.g.
lower metallicity). As stated before by Lamareille et al. (2006a),
the use of a lower reference relation to break the degeneracy only
changes the metallicities of the galaxies in the intermediate region
(
), thus non-significantly changing
the whole luminosity-metallicity relation.
Table 7: Evolution of the mass-metallicity relation for the wide and deep samples. The reference relation is the one obtained by Tremonti et al. (2004) with SDSS data and the CL01 method, renormalized in mass. In each redshift range, we give the mean redshift, stellar mass, and metallicity shift (assuming that the shape of the relation remains constant, see Fig. 13), and the dispersion of the relation. The metallicity shift is given in three cases: a) using only star-forming galaxies, b) adding candidate star-forming galaxies; and c) adding also candidate AGNs.
We have also checked the effect of not including the candidate star-forming galaxies in the fit. As stated in Sect. 2.2, the contamination of candidate star-forming galaxies by AGNs is less than 1%, and is thus not expected to significantly affect the luminosity-metallicity relation. Therefore, the results of not including the candidate star-forming galaxies are only given as information in Table 6. We have also checked the effect of including candidate AGNs. In both cases, the effect on the luminosity-metallicity relation is very small.
We need to disentangle the two effects which make these objects more luminous, i.e. a higher mass or a lower mass-to-light ratio, to determine which one is responsible of the stronger evolution of the metallicity. We now study the mass-metallicity relation in the next section.
6 The mass-metallicity relation
6.1 Global metallicity evolution
We now derive the mass-metallicity relation for the star-forming galaxies of the wide and deep samples, using the empirical approach for computing the metallicities, and in three redshift ranges: 0.0<z<0.5, 0.5<z<0.7and 0.7<z<0.9. The results are shown in Fig. 13 and Table 7, and are compared to the reference mass-metallicity relation in the local universe, derived by Tremonti et al. (2004) with SDSS data. The reference relation has been shifted in mass, in order to take into account the effect of using different models (see Sect. 3.2).
![]() |
Figure 13: The mass-metallicity relation of star-forming galaxies for the wide ( top) and deep ( bottom) samples, for three redshift ranges: from left to right 0.0<z<0.5, 0.5<z<0.7 and 0.7<z<0.9. The metallicities have been estimated using the empirical approach (see Sect. 4.1). The solid curve shows the mass-metallicity relation at low redshift derived by Tremonti et al. (2004). The long-dashed curves shows the fit to the data points assuming that the SDSS curve is only shifted down in metallicity. |
| Open with DEXTER | |
As in Fig. 12, the data points shown in Fig. 13 do not show strong Spearman rank correlation coefficients. We thus skip the step of doing a fit to these data points. We directly probe the global evolution in metallicity of star-forming galaxies compared to the reference relation, making the likely assumption that the mass-metallicity relation exists also at high redshift. To do so, we calculate the mean shift in metallicity by fitting to the data points the same curve as Eq. (3) of Tremonti et al. (2004), allowing only a different zero-point. The zero-order assumption is that the shape of the mass-metallicity relation does not vary with redshift. The results are shown in Fig. 13 and in Table 7. The fit is performed above the 50% mass-to-light completeness level.
There are some caveats in the interpretation of the mass and metallicity
evolution of the deep sample, because of selection and statistical
effects. The mean observed stellar mass seam to decrease with redshift,
which is in contradiction to what one would expect from the Malmquist
bias. First, we find higher stellar masses than expected
in the lowest redshift bin. The sample is actually not complete down
to the limiting mass: lower mass galaxies would have lower metallicities,
and low metallicities are indeed difficult to measure because of the
blending of [NII]
6584 and H
lines. Conversely,
the highest redshift bin has a lower mean mass than expected, which
is more probably due to a statistical effect because of the small
solid angle of the deep sample. This effect also explains why the
metallicity evolution seems smaller in the highest redshift bin.
As observed in the luminosity-metallicity relation in previous section,
we clearly see a stronger metallicity evolution in the wide sample than in the deep sample. The wide and deep samples span different ranges in masses, but are otherwise identical. This effect thus shows that the most massive galaxies have experienced the most significant evolution in metallicity. At
,
galaxies at 109.4 solar masses have -0.18 dex lower metallicities than galaxies of similar masses in the local universe, while galaxies at 1010.2 solar masses have -0.28 dex lower metallicities. We therefore conclude that the shape of the mass-metallicity relation varies with redshift, so that it was flatter in an earlier universe.
As seen for the luminosity-metallicity relation, the potential influence of candidate AGNs or candidate star-forming galaxies is negligible (see Table 7).
6.2 Evolution of the shape of the mass-metallicity relation
We now evaluate the evolution of the shape of the mass-metallicity relation as a function of redshift, by co-adding a number of data points in bins of mass, thus increasing the signal-to-noise ratio. Figure 14 shows the results in three redshift ranges: 0.2<z<0.5, 0.5<z<0.6 and 0.6<z<0.8. The mean redshifts are respectively
,
and
.
The mean masses are respectively 109.75, 109.54 and 109.70 solar masses. For this study we joined the wide and deep samples: only the deep sample is used from its 50% completeness limit to the 50% completeness of the wide sample, above which both samples are used.
The mean masses and metallicities have been estimated in respectively
3, 4, and 4 stellar mass bins. This approach is similar to the one
used at low redshift by Tremonti et al. (2004). The bins are not equally spaced in mass, but always contain a similar number of data points, i.e.
45 in our case. We have set two consecutive mass bins to have 25% of their data points in common. We evaluate the errors on the means and the dispersions of the data points, which are both shown in Fig. 14. The errors on the means are very low thanks to the number of available data points. The dispersion in metallicity stays almost constant and equal to
0.22 dex. All results are calculated as the median of 1000 bootstrap estimates.
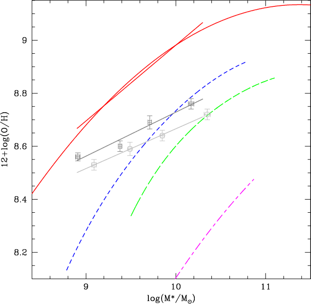
Figure 15 shows the evolution of the slope in the two
last redshift bins. We confirm that the mass-metallicity relation tends to become flatter at higher redshifts: the slope is
dex/decade at
and
dex/decade at
,
which has to be compared to the slope 0.29 dex/decade of the Tremonti et al. (2004) curve linearized in the same mass range. The slope evolves by -0.25 dex/decade by unit of redshift in the range 0<z<0.7. These results
also confirm the assumption, used in previous section, that the mass-metallicity
relation exists at high redshift.
6.3 Comparison with previous works
![]() |
Figure 14: The mass-metallicity relation of star-forming galaxies for three redshift ranges: from left to right 0.2<z<0.5, 0.5<z<0.6 and 0.6<z<0.8. The metallicities have been estimated using the empirical approach (see Sect. 4.1). The solid curve shows the mass-metallicity relation at low redshift derived by Tremonti et al. (2004). We show the mean metallicities by bins of stellar masses. The blue error bars represent the uncertainty on the mean, while the green error bars represent the dispersion of the data points. The 50% mass-to-light completeness levels for the deep and wide samples (see Table 4) are shown as vertical dotted lines. |
| Open with DEXTER | |
Figure 15 also shows the comparison between our results and other studies performed at high redshifts (Erb et al. 2006; Savaglio et al. 2005; Maiolino et al. 2008). All curves have been renormalized in stellar mass using the shifts summarized in Table. 8. Metallicities derived by Savaglio et al. (2005), Erb et al. (2006) and Maiolino et al. (2008) have been converted respectively from Kobulnicky & Kewley (2004), Pettini & Pagel (2004) N2 , and Kewley & Dopita (2002) methods to the CL01 method.
![]() |
Figure 15:
The mass-metallicity relation of star-forming galaxies for two redshift
ranges: 0.5<z<0.6 (dark grey) and 0.6<z<0.8 (light grey). The
metallicities have been estimated using the empirical approach (see
Sect. 4.1). The solid curve shows the mass-metallicity
relation at low redshift derived by Tremonti et al. (2004).
This relation has also been linearized in the range
|
| Open with DEXTER | |
Table 8: Different setups for different mass-metallicity relations found in the literature, and associated shifts to be applied to their stellar masses in order for them to be comparable with our results. This table shows the type of data, the models, the presence or not of secondary bursts, and the IMF used to compute the stellar masses. The last column gives the global shift that has to be applied to the logarithm of the stellar mass.
The mass-metallicity relation at redshift
is given by Eq. (8) of Savaglio et al. (2005), shifted by 0.47 dex in stellar mass. The mass-metallicity relation at redshift
is given by Eq. (3) of Tremonti et al. (2004), shifted
by -0.56 dex in metallicity, as found by Erb et al. (2006).
The mass-metallicity relation at redshift
is given by
Eq. (2) of Maiolino et al. (2008), with the parameters
given in their Table 5.
Contrary to Savaglio et al. (2005), we find a flatter
slope of the mass-metallicity relation at
.
Nevertheless,
the comparison of data points shows that their results and ours are
in good agreement for the highest mass bins. The larger difference
comes from the lowest mass bins, in which they are probably not complete.
We know indeed that lower mass-to-light ratio galaxies are preferentially
observed in the lowest incomplete mass bins, and that such galaxies
show lower mean metallicities (Ellison et al. 2008).
The comparison with the data of Erb et al. (2006),
which are taken at
,
is less straightforward: there is a
fairly good agreement in metallicity with our high-mass end data,
but actually at a rather different redshift. This could mean that
there has been very little metallicity evolution from
to
,
but this would be hard to understand when also looking
at the other results. The metallicity indeed evolves strongly from
(Maiolino et al. 2008), and between
and the local universe (our data and Savaglio et al. 2005).
Nevertheless this discrepancy with the Erb et al. (2006)
results may be understood according to the downsizing scenario; the
evolution of the most massive galaxies plotted here should be smaller
between z=2 and z=1 than between z=1 and z=0. Among others,
Pérez-González et al. (2008) have quantified that galaxies
below
have formed half of their
stars at z<1.The main reason for a possible overestimate
of the Erb et al. (2006) metallicities is probably
statistical variation effects. They have indeed based their results
on stacked spectra of very few galaxies. The effect of the selection
function is therefore difficult to analyze.
The type of galaxies observed by Erb et al. (2006)
at
,
which are actively forming stars, may also have later
evolved to ``red and dead'' passive galaxies, and developed higher
metallicities than the ones actually observed by us or by Tremonti et al. (2004)
at lower redshifts. Such dead galaxies would unfortunately no longer
satisfy the selection function of any work based on emission-line
measurements, and would not be observed.
6.4 Evolution of the mass-to-light ratio
The metallicity evolution of the wide sample is very similar to what has been found by Lamareille et al. (2006a) in the luminosity-metallicity relation, after having applied a correction for luminosity evolution (Ilbert et al. 2005). This tells us that the stronger evolution of the luminosity-metallicity relation, compared to the mass-metallicity relation, is due to additional luminosity evolution. This luminosity evolution has to be understood for galaxies with similar masses, which means we can measure the evolution of the mass-to-light ratio in galaxies using metallicity as a common variable.
![]() |
Figure 16: This plot shows, for galaxies with similar stellar masses, their evolution when redshift increases: for metallicity in the mass-metallicity plane ( top-left), for metallicity in the luminosity-metallicity plane ( top-right), and for luminosity in the mass-luminosity plane ( bottom-right). |
| Open with DEXTER | |
Table 9: Evolution of the mass-to-light ratio for the wide and deep samples. This evolution is computed as an absolute rest-frame B-band magnitude evolution at constant stellar mass, from the comparison of the luminosity-metallicity (see Fig. 12 and Table 6) and mass-metallicity (see Fig. 13 and Table 7) relations.
Figure 16 schematically shows the global evolution of metallicity in the luminosity-metallicity plane (top-right). When there is both an evolution of the metallicity in the mass-metallicity plane (top-left), and an evolution of the luminosity in the mass-luminosity plane (bottom-right), galaxies will be more luminous at a given mass; the result is a stronger evolution of the metallicity in the luminosity-metallicity plane.
The luminosity evolution at constant mass of our galaxies can be calculated
using the following formula:
where a is the slope of the luminosity-metallicity relation, i.e. -0.31 dex/mag. The results are given in Table 9. The positive evolution for the lowest redshift bin in the deep sample is due to the incompleteness of the N2 calibration: at a given metallicity, our sample is biased towards higher luminosity. In the other redshift ranges and the whole wide sample, we see that galaxies at higher redshifts have lower mass-to-light ratios than today, and that this evolution is more significant for massive galaxies (i.e. the wide sample compared to the deep). These two results are in good agreement with the general scenario of downsizing (Cowie et al. 1996) for the evolution of the star formation rates in galaxies. Less massive galaxies show less evolution in their star formation rate at z<1since they are still actively forming stars.
This will be further analyzed in a subsequent paper of this series.
6.5 Derived star formation rates
We now discuss the evolution of metallicity at constant stellar mass, in terms of star formation rates.
Assuming constant star formation rates (SFR) and the closed-box model,
one can calculate a stellar mass evolution and relate it to metallicity
evolution using the following equations:
where
We know the mass-metallicity relation at redshift z=0 (Tremonti et al. 2004), and the Table 7 gives the metallicity evolution for various stellar masses and redshifts. Thus, we can revert to Eq. (7), (8) and (9) to derive the star formation rate that explains the observed values. The results are quoted in Table 10 (case a). They are calculated for a given cosmology, and for a true yield y=0.0104 (Tremonti et al. 2004).
A better modeling can be performed by taking into account the time
evolution of the star formation rates in galaxies. We may for example
assume an exponentially decreasing star formation rate, i.e.
,
where
gives the characteristic e-folding time of the
galaxy. The exponentially decreasing law is a good choice when analyzing
a population of galaxies with respect to the global cosmic evolution of star formation rate. Equation (7) is then replaced by:
Table 10 (case b) gives the results obtained when assuming the relation given by Eq. (12) of Savaglio et al. (2005) between the e-folding time and the total baryonic mass of the galaxy. Comparing cases a and b, we see that the results are not dramatically affected by the assumption of a decreasing SFR. The star formations activities in case b are systematically higher than in case a, which is expected as with a decreasing SFR a higher initial value is needed to explain the same metallicity evolution, as compared to a constant SFR.
Table 10:
Derived star formation activities needed to explain the observed values
quoted in Table 7, assuming the closed-box model, and h=0.7,
and
cosmology. The values are given in the wide and deep samples, and for two different assumptions: a) constant star formation rate, b) exponentially
declining star formation rate (see text). In case b, each value is the instantaneous star formation rate at the specified redshift (see Eq. (10)).
We also note that the derived star formation activities in the wide and deep samples are very close, despite their different ranges in stellar masses. In case a, star formation activities in the deep sample are nevertheless higher than in the wide sample, which is expected as the wide sample spans higher stellar masses. Conversely, in case b, we find higher star formation activities for more massive objects. This comes from the assumption, made by Savaglio et al. (2005) and used in our equations, that less massive galaxies have longer e-folding times. Consequently the less massive galaxies of the deep sample, which are assigned long e-folding times and thus can be approximated as having a constant SFR, do not vary much from case a to case b while the more massive galaxies of the wide sample, which are assigned short e-folding times, are more affected by the decreasing SFR hypothesis.
Preliminary results on the evolution of star formation activities
of VVDS galaxies, which will be presented in a subsequent paper (see also Walcher et al. 2008), give at redshift
(our best sampled redshift bin):
yr-1 for galaxies at
solar masses (mean mass
of the deep sample), and
yr-1 for galaxies
at
solar masses (mean mass of the wide sample).
Assuming the closed-box hypothesis, our results in the wide sample
are in fairly good agreement with the observed star formation activities
at similar masses, this agreement being better in case b. But in the deep sample, the inferred star formation activities which
explain our observed metallicity evolution seem significantly underestimated,
by a factor
5. Although the varying e-folding times
hypothesis is in agreement with the slower evolution of the mass-to-light
ratio found in the deep sample in the previous section, it fails to
provide a good agreement between our inferred star formation activities
in the deep sample and observed values at similar masses. Moreover
this hypothesis has more massive galaxies forming stars more actively,
which is in contradiction to observations.
We therefore conclude that the closed-box hypothesis is not valid to explain our observed metallicity evolutions (assuming that the preliminary results mentioned above are confirmed).
7 Conclusion
We have calculated rest-frame luminosities, stellar masses and gas-phase
oxygen abundances of a statistically significant sample of star-forming
galaxies, selected from the VIMOS VLT Deep Survey. This has allowed
us to derive luminosity-metallicity and mass-metallicity relations
in various redshift ranges up to
.
These relations also
have been derived in two sub-samples: the deep sample which extends
to lower observed luminosities thanks to a deeper magnitude selection,
and the wide sample which extends to higher luminosities thanks to
a larger solid angle. The selection functions have been taken into
account in order to define volume- and mass-limited samples.
For both the wide and the deep samples, we have studied as a function of redshift the evolution in metallicity at constant luminosity, the evolution in metallicity at constant stellar mass, the associated evolution in luminosity at constant stellar mass, and the evolution of the slope of the mass-metallicity relation.
Additionally, we:
- Measured the fraction of star-forming galaxies and AGNs as a function of redshift.
- Calculated the difference in terms of stellar masses between the old BC03 and new CB07 stellar population models.
- Studied the effect on the computation of stellar mass of the use of spectral indices rather than only photometric points.
- Checked that gas-phase oxygen abundance measurements in low and high redshift ranges are comparable even if calculated with different methods.
- Studied the marginal effect of candidate star-forming galaxies and candidate AGNs on the derived luminosity-metallicity or mass-metallicity relations.
By using the assumption that the slope of the luminosity-metallicity
relation, or the shape of the mass-metallicity relation, remains constant
with redshift, we found different metallicity evolution for the wide
and deep samples. The wide and deep samples span different ranges
in mass, which shows that the assumption is wrong and that this slope
or shape actually evolves with redshift. We have found that the most
massive galaxies show the strongest metallicity evolution. At
,
galaxies at 109.4 solar masses have -0.18 dex lower metallicities
than galaxies of similar mass in the local universe, while galaxies
at 1010.2 solar masses have -0.28 dex lower metallicities.
We then studied the mass-metallicity relation on co-added data points in bins of stellar masses. The inferred slopes show an evolution towards a flatter mass-metallicity relation at
compared to the local universe, which confirms that higher mass galaxies show a stronger metallicity evolution during this period. The slope evolves by -0.25 dex/decade per unit of redshift in the range 0<z<0.7.
Moreover, we have inferred from our observations the star formation
activities that explain this evolution in metallicity. To do so, we
assumed the closed-box hypothesis. We found that the observed metallicity
evolution would be explained by similar star formation activities
at any mass, which is in contradiction with the well-known correlation
between stellar mass and star formation activity. Assuming preliminary
observations of the star formation activities in VVDS galaxies, we
conclude that our results are underestimated by a factor
5
in the deep sample, while they are in fair agreement in the wide sample.
These results provide strong evidence against the closed-box model. Indeed, we know from previous studies that the star formation activity of galaxies decreases while stellar mass increases. The only way to explain the lower metallicity evolution of the less massive galaxies is thus to replace in Eq. (9) the true yield by a smaller effective yield. Assuming a smaller effective yield allows galaxies to show less metallicity evolution, even with a stronger star formation activity.
The smaller effective yield of less massive galaxies can be understood in the ``open-closed'' model. In this model, galaxies with low stellar masses evolve like open-boxes: most of the metals produced during star formation are ejected in the intergalactic medium by stellar winds and supernovae feedback, the effective yield is thus very small. Conversely, galaxies with high stellar masses evolve in the open-closed model like closed-boxes: the metals are retained in the galaxy due to a high gravitational potential. The effective yield is thus close to the true yield.
The dependence of the effective yield on the gravitational potential of the galaxies, itself related to their total baryonic mass, has been shown by Tremonti et al. (2004). It is naturally explained in the hierarchical galaxy formation scenario: contrary to the closed-box model, the total baryonic mass does not remain constant and increases with time, together with the stellar mass, through galaxy merging and accretion. This relation between the stellar mass and the total baryonic mass is at the origin of the mass-metallicity relation in the open-closed model, and is clearly supported by our data.
In the open-closed model, the lower metallicity evolution of less massive galaxies is naturally explained despite their stronger star formation activities.
We emphasize that Eq. (7), (8) and (10) are no longer valid in the open-closed model. It is not enough to replace the true yield by the effective yield in Eq. (9) in order to infer the correct star formation rates that explain the observed metallicity evolution. These equations must be modified also to take the difference between the true and the effective yield into account. The way to modify these equations depends on the model used to explain lower effective yields (e.g. gas loss). Replacement equations can be found in other studies (e.g. Erb et al. 2006; Finlator & Davé 2008; Erb 2008; Dalcanton 2007). We also refer the reader to subsequent papers of this series, for a more detailed discussion of the relation between the present results and the evolution of the star formation rates of galaxies, and for comparisons with simulations (e.g. De Lucia et al. 2004).
Acknowledgements
We thank C. Tremonti for having made the original platefit code available to the VVDS collaboration. F. Lamareille thanks the Osservatorio di Bologna for the receipt of a post-doctoral fellowship.
This work has been partially supported by the CNRS-INSU and its Programme Nationaux de Galaxies et de Cosmologie (France), and by Italian Ministry (MIUR) grants COFIN2000 (MM02037133) and COFIN2003 (num.2003020150) and by INAF grants (PRIN-INAF 2005).
The VLT-VIMOS observations have been carried out on guaranteed time (GTO) allocated by the European Southern Observatory (ESO) to the VIRMOS consortium, under a contractual agreement between the Centre National de la Recherche Scientifique of France, heading a consortium of French and Italian institutes, and ESO, to design, manufacture and test the VIMOS instrument.
This work is based in part on data products produced at TERAPIX and the Canadian Astronomy Data Centre as part of the Canada-France-Hawaii Telescope Legacy Survey, a collaborative project of NRC and CNRS.
References
- Arnouts, S., Vandame, B., Benoist, C., et al. 2001, A&A, 379, 740 [NASA ADS] [CrossRef] [EDP Sciences] (In the text)
- Baldry, I. K., & Glazebrook, K. 2003, ApJ, 593, 258 [NASA ADS] [CrossRef]
- Baldwin, J. A., Phillips, M. M., & Terlevich, R. 1981, PASP, 93, 5 [NASA ADS] [CrossRef]
- Bongiorno, A., Mignoli, M., Zamorani, G., & The Zcosmos Team. 2008, in Proceedings of the 8th National Conference on AGN, held in Torino, Italy, May 19, ed. L. Lanteri, C. M. Raiteri, A. Capetti, & P. Rossi. Available online at agn8.oato.inaf.it. (In the text)
- Brinchmann, J., Charlot, S., White, S. D. M., et al. 2004, MNRAS, 351, 1151 [NASA ADS] [CrossRef]
- Brodie, J. P., & Huchra, J. P. 1991, ApJ, 379, 157 [NASA ADS] [CrossRef]
- Brooks, A. M., Governato, F., Booth, C. M., et al. 2007, ApJ, 655, L17 [NASA ADS] [CrossRef] (In the text)
- Bruzual, G., & Charlot, S. 2003, MNRAS, 344, 1000 [NASA ADS] [CrossRef] (In the text)
- Chabrier, G. 2003, PASP, 115, 763 [NASA ADS] [CrossRef] (In the text)
- Charlot, S., & Fall, S. M. 2000, ApJ, 539, 718 [NASA ADS] [CrossRef] (In the text)
- Charlot, S., & Longhetti, M. 2001, MNRAS, 323, 887 [NASA ADS] [CrossRef] (In the text)
- Cowie, L. L., & Barger, A. J. 2008, ApJ, 686, 72 [NASA ADS] [CrossRef] (In the text)
- Cowie, L. L., Songaila, A., Hu, E. M., & Cohen, J. G. 1996, AJ, 112, 839 [NASA ADS] [CrossRef] (In the text)
- Dalcanton, J. J. 2007, ApJ, 658, 941 [NASA ADS] [CrossRef]
- Davé, R., & Oppenheimer, B. D. 2007, MNRAS, 374, 427 [NASA ADS] [CrossRef]
- De Lucia, G., Kauffmann, G., & White, S. D. M. 2004, MNRAS, 349, 1101 [NASA ADS] [CrossRef]
- de Rossi, M. E., Tissera, P. B., & Scannapieco, C. 2007, MNRAS, 374, 323 [NASA ADS] [CrossRef]
- Denicoló, G., Terlevich, R., & Terlevich, E. 2002, MNRAS, 330, 69 [NASA ADS] [CrossRef]
- Ellison, S. L., Patton, D. R., Simard, L., & McConnachie, A. W. 2008, ApJ, 672, L107 [NASA ADS] [CrossRef] (In the text)
- Eminian, C., Kauffmann, G., Charlot, S., et al. 2008, MNRAS, 384, 930 [NASA ADS] [CrossRef] (In the text)
- Erb, D. K. 2008, ApJ, 674, 151 [NASA ADS] [CrossRef]
- Erb, D. K., Shapley, A. E., Pettini, M., et al. 2006, ApJ, 644, 813 [NASA ADS] [CrossRef] (In the text)
- Ferland, G. J. 2001, PASP, 113, 41 [NASA ADS] [CrossRef] (In the text)
- Finlator, K., & Davé, R. 2008, MNRAS, 385, 2181 [NASA ADS] [CrossRef] (In the text)
- Gallazzi, A., Charlot, S., Brinchmann, J., White, S. D. M., & Tremonti, C. A. 2005, MNRAS, 362, 41 [NASA ADS] [CrossRef]
- Garilli, B., Le Fèvre, O., Guzzo, L., et al. 2008, A&A, 486, 683 [NASA ADS] [CrossRef] [EDP Sciences] (In the text)
- Garnett, D. R., Shields, G. A., Skillman, E. D., Sagan, S. P., & Dufour, R. J. 1997, ApJ, 489, 63 [NASA ADS] [CrossRef]
- Gavignaud, I., Bongiorno, A., Paltani, S., et al. 2006, A&A, 457, 79 [NASA ADS] [CrossRef] [EDP Sciences] (In the text)
- Giavalisco, M., Ferguson, H. C., Koekemoer, A. M., et al. 2004, ApJ, 600, L93 [NASA ADS] [CrossRef] (In the text)
- Hammer, F., Flores, H., Elbaz, D., et al. 2005, A&A, 430, 115 [NASA ADS] [CrossRef] [EDP Sciences]
- Ilbert, O., Tresse, L., Zucca, E., et al. 2005, A&A, 439, 863 [NASA ADS] [CrossRef] [EDP Sciences] (In the text)
- Iovino, A., McCracken, H. J., Garilli, B., et al. 2005, A&A, 442, 423 [NASA ADS] [CrossRef] [EDP Sciences]
- Isobe, T., Feigelson, E. D., Akritas, M. G., & Babu, G. J. 1990, ApJ, 364, 104 [NASA ADS] [CrossRef] (In the text)
- Kauffmann, G., Heckman, T. M., Tremonti, C., et al. 2003a, MNRAS, 346, 1055 [NASA ADS] [CrossRef] (In the text)
- Kauffmann, G., Heckman, T. M., White, S. D. M., et al. 2003b, MNRAS, 341, 33 [NASA ADS] [CrossRef]
- Kewley, L. J., & Dopita, M. A. 2002, ApJS, 142, 35 [NASA ADS] [CrossRef] (In the text)
- Kewley, L. J., & Ellison, S. L. 2008, ApJ, 681, 1183 [NASA ADS] [CrossRef] (In the text)
- Kewley, L. J., Heisler, C. A., Dopita, M. A., & Lumsden, S. 2001, ApJS, 132, 37 [NASA ADS] [CrossRef] (In the text)
- Kewley, L. J., Jansen, R. A., & Geller, M. J. 2005, PASP, 117, 227 [NASA ADS] [CrossRef] (In the text)
- Kobulnicky, H. A., & Kewley, L. J. 2004, ApJ, 617, 240 [NASA ADS] [CrossRef] (In the text)
- Kobulnicky, H. A., & Phillips, A. C. 2003, ApJ, 599, 1031 [NASA ADS] [CrossRef] (In the text)
- Kobulnicky, H. A., Willmer, C. N. A., Phillips, A. C., et al. 2003, ApJ, 599, 1006 [NASA ADS] [CrossRef]
- Köppen, J., Weidner, C., & Kroupa, P. 2007, MNRAS, 375, 673 [NASA ADS] [CrossRef] (In the text)
- Kroupa, P. 2001, MNRAS, 322, 231 [NASA ADS] [CrossRef] (In the text)
- Lamareille, F. 2006, Ph.D. Thesis, http://tel.archives-ouvertes.fr/tel-00090655/fr/ (In the text)
- Lamareille, F., Contini, T., Brinchmann, J., et al. 2006a, A&A, 448, 907 [NASA ADS] [CrossRef] [EDP Sciences] (In the text)
- Lamareille, F., Contini, T., Le Borgne, J.-F., et al. 2006b, A&A, 448, 893 [NASA ADS] [CrossRef] [EDP Sciences] (In the text)
- Lamareille, F., Mouhcine, M., Contini, T., Lewis, I., & Maddox, S. 2004, MNRAS, 350, 396 [NASA ADS] [CrossRef] (In the text)
- Le Fèvre, O., Mellier, Y., McCracken, H. J., et al. 2004a, A&A, 417, 839 [NASA ADS] [CrossRef] [EDP Sciences]
- Le Fèvre, O., Vettolani, G., Paltani, S., et al. 2004b, A&A, 428, 1043 [NASA ADS] [CrossRef] [EDP Sciences] (In the text)
- Le Fèvre, O., Vettolani, G., Garilli, B., et al. 2005, A&A, 439, 845 [NASA ADS] [CrossRef] [EDP Sciences] (In the text)
- Lee, H., Skillman, E. D., Cannon, J. M., et al. 2006, ApJ, 647, 970 [NASA ADS] [CrossRef] (In the text)
- Lequeux, J., Peimbert, M., Rayo, J. F., Serrano, A., & Torres-Peimbert, S. 1979, A&A, 80, 155 [NASA ADS] (In the text)
- Liang, Y. C., Hammer, F., Flores, H., et al. 2004, A&A, 423, 867 [NASA ADS] [CrossRef] [EDP Sciences]
- Liang, Y. C., Hammer, F., & Yin, S. Y. 2007, A&A, 474, 807 [NASA ADS] [CrossRef] [EDP Sciences] (In the text)
- Lilly, S. J., Le Fèvre, O., Renzini, A., et al. 2007, ApJS, 172, 70 [NASA ADS] [CrossRef] (In the text)
- Liu, X., Shapley, A. E., Coil, A. L., Brinchmann, J., & Ma, C.-P. 2008, ApJ, 678, 758 [NASA ADS] [CrossRef] (In the text)
- Maier, C., Lilly, S. J., Carollo, C. M., Stockton, A., & Brodwin, M. 2005, ApJ, 634, 849 [NASA ADS] [CrossRef]
- Maier, C., Meisenheimer, K., & Hippelein, H. 2004, A&A, 418, 475 [NASA ADS] [CrossRef] [EDP Sciences]
- Maiolino, R., Nagao, T., Grazian, A., et al. 2008, A&A, 488, 463 [NASA ADS] [CrossRef] [EDP Sciences] (In the text)
- Maraston, C. 2005, MNRAS, 362, 799 [NASA ADS] [CrossRef]
- Maraston, C., Daddi, E., Renzini, A., et al. 2006, ApJ, 652, 85 [NASA ADS] [CrossRef]
- Marigo, P., & Girardi, L. 2007, A&A, 469, 239 [NASA ADS] [CrossRef] [EDP Sciences] (In the text)
- McCracken, H. J., Radovich, M., Bertin, E., et al. 2003, A&A, 410, 17 [NASA ADS] [CrossRef] [EDP Sciences]
- McGaugh, S. S. 1991, ApJ, 380, 140 [NASA ADS] [CrossRef] (In the text)
- Meneux, B., Guzzo, L., Garilli, B., et al. 2008, A&A, 478, 299 [NASA ADS] [CrossRef] [EDP Sciences] (In the text)
- Pérez-González, P. G., Trujillo, I., Barro, G., et al. 2008, ApJ, 687, 50 [NASA ADS] [CrossRef] (In the text)
- Perez-Montero, E., Contini, T., Lamareille, F., et al. 2009, A&A, 495, 73 [CrossRef] [EDP Sciences] (In the text)
- Pettini, M., & Pagel, B. E. J. 2004, MNRAS, 348, L59 [NASA ADS] [CrossRef] (In the text)
- Pilyugin, L. S., & Ferrini, F. 2000, A&A, 358, 72 [NASA ADS]
- Pozzetti, L., Bolzonella, M., Lamareille, F., et al. 2007, A&A, 474, 443 [NASA ADS] [CrossRef] [EDP Sciences] (In the text)
- Radovich, M., Arnaboldi, M., Ripepi, V., et al. 2004, A&A, 417, 51 [NASA ADS] [CrossRef] [EDP Sciences] (In the text)
- Richer, M. G., & McCall, M. L. 1995, ApJ, 445, 642 [NASA ADS] [CrossRef]
- Salim, S., Charlot, S., Rich, R. M., et al. 2005, ApJ, 619, L39 [NASA ADS] [CrossRef]
- Salpeter, E. E. 1955, ApJ, 121, 161 [NASA ADS] [CrossRef]
- Savaglio, S., Glazebrook, K., Le Borgne, D., et al. 2005, ApJ, 635, 260 [NASA ADS] [CrossRef] (In the text)
- Schlegel, D. J., Finkbeiner, D. P., & Davis, M. 1998, ApJ, 500, 525 [NASA ADS] [CrossRef] (In the text)
- Scodeggio, M., Franzetti, P., Garilli, B., et al. 2005, PASP, 117, 1284 [NASA ADS] [CrossRef] (In the text)
- Shapley, A. E., Coil, A. L., Ma, C.-P., & Bundy, K. 2005, ApJ, 635, 1006 [NASA ADS] [CrossRef] (In the text)
- Skillman, E. D., Kennicutt, R. C., & Hodge, P. W. 1989, ApJ, 347, 875 [NASA ADS] [CrossRef]
- Spergel, D. N., Verde, L., Peiris, H. V., et al. 2003, ApJS, 148, 175 [NASA ADS] [CrossRef] (In the text)
- Stasinska, G., Cid Fernandes, R., Mateus, A., Sodré, L., & Asari, N. V. 2006, MNRAS, 371, 972 [NASA ADS] [CrossRef] (In the text)
- Temporin, S., Iovino, A., Bolzonella, M., et al. 2008, A&A, 482, 81 [NASA ADS] [CrossRef] [EDP Sciences]
- Tremonti, C. A., Heckman, T. M., Kauffmann, G., et al. 2004, ApJ, 613, 898 [NASA ADS] [CrossRef] (In the text)
- van Zee, L., Salzer, J. J., Haynes, M. P., O'Donoghue, A. A., & Balonek, T. J. 1998, AJ, 116, 2805 [NASA ADS] [CrossRef]
- Veilleux, S., & Osterbrock, D. E. 1987, ApJS, 63, 295 [NASA ADS] [CrossRef]
- Walcher, C. J., Lamareille, F., Vergani, D., et al. 2008, A&A, 491, 713 [NASA ADS] [CrossRef] [EDP Sciences] (In the text)
- Warren, S. J., Hambly, N. C., Dye, S., et al. 2007, MNRAS, 375, 213 [NASA ADS] [CrossRef] (In the text)
- Zaritsky, D., Kennicutt, R. C., & Huchra, J. P. 1994, ApJ, 420, 87 [NASA ADS] [CrossRef]
Footnotes
- ... 0.9
- Based on data obtained with the European Southern Observatory Very Large Telescope, Paranal, Chile, program 070.A-9007(A), and on data obtained at the Canada-France-Hawaii Telescope, operated by the CNRS in France, CNRC in Canada and the University of Hawaii.
- ...
- Data used in this paper are available in electronic form at the CDS via anonymous ftp to cdsarc.u-strasbg.fr (130.79.128.5) or via http://cdsweb.u-strasbg.fr/cgi-bin/qcat?J/A+A/495/53
All Tables
Table 1:
Definition of the H
index.
Table 2: Sets of emission lines required to have S/N>4 in various redshift ranges associated with the various diagnostics used in this study.
Table 3: Statistics of star-forming galaxies and narrow-line AGNs among emission-line galaxies for various diagnostics depending on which emission lines are observed (see text for details). The results are presented for the two wide and deep samples used in this paper, and for their union (some objects are in common). We also mention for each sample the total number of objects which includes emission-line, faint and early-type galaxies.
Table 4: Limiting masses (in logarithm of solar masses) of our various samples in order to define volume-limited samples, as a function of the redshift ranges and for various mass-to-light completeness levels.
Table 5: Limiting B-band absolute magnitudes (AB system) of our wide and deep samples of star-forming galaxies, in order to define volume-limited samples, as a function of the redshift ranges and for various k-correction completeness levels.
Table 6: Evolution of the luminosity-metallicity relation for the wide and deep samples. The reference relation is the one obtained by Lamareille et al. (2004) with 2dFGRS data and renormalized to the CL01 method. In each redshift range, we give the results of the ols bisector fit (slope and zero-point) and of the constant-slope fit (mean shift, see Fig. 12), together with the mean redshift and magnitude, and the dispersion of the relation. The metallicity shift is given in three cases: a) using only star-forming galaxies; b) adding candidate star-forming galaxies; and c) also adding candidate AGNs.
Table 7: Evolution of the mass-metallicity relation for the wide and deep samples. The reference relation is the one obtained by Tremonti et al. (2004) with SDSS data and the CL01 method, renormalized in mass. In each redshift range, we give the mean redshift, stellar mass, and metallicity shift (assuming that the shape of the relation remains constant, see Fig. 13), and the dispersion of the relation. The metallicity shift is given in three cases: a) using only star-forming galaxies, b) adding candidate star-forming galaxies; and c) adding also candidate AGNs.
Table 8: Different setups for different mass-metallicity relations found in the literature, and associated shifts to be applied to their stellar masses in order for them to be comparable with our results. This table shows the type of data, the models, the presence or not of secondary bursts, and the IMF used to compute the stellar masses. The last column gives the global shift that has to be applied to the logarithm of the stellar mass.
Table 9: Evolution of the mass-to-light ratio for the wide and deep samples. This evolution is computed as an absolute rest-frame B-band magnitude evolution at constant stellar mass, from the comparison of the luminosity-metallicity (see Fig. 12 and Table 6) and mass-metallicity (see Fig. 13 and Table 7) relations.
Table 10:
Derived star formation activities needed to explain the observed values
quoted in Table 7, assuming the closed-box model, and h=0.7,
and
cosmology. The values are given in the wide and deep samples, and for two different assumptions: a) constant star formation rate, b) exponentially
declining star formation rate (see text). In case b, each value is the instantaneous star formation rate at the specified redshift (see Eq. (10)).
All Figures
![]() |
Figure 1: Redshift distributions of our wide and deep samples of star-forming galaxies, and of their union (see text for details). |
| Open with DEXTER | |
| In the text | |
![]() |
Figure 2:
Comparison between the standard Lick H
|
| Open with DEXTER | |
| In the text | |
![]() |
Figure 3:
Red spectral classification of 412 narrow emission-line galaxies
in the redshift bin 0.2<z<0.4. The emission-line ratios - i.e.
[OIII] |
| Open with DEXTER | |
| In the text | |
![]() |
Figure 4:
Blue spectral classification of 1060 narrow emission-line galaxies
in the redshift bin 0.5<z<0.9. The emission-line ratios - i.e.
[OIII] |
| Open with DEXTER | |
| In the text | |
![]() |
Figure 5:
Intermediate spectral classifications of 1479 a) and 43; b)
narrow emission-line galaxies. The two plots show the intermediate
diagnostic diagrams, used in the redshift bins 0.4<z<0.5 a) and
0.0<z<0.2 b), or in other redshifts bins for galaxies with insufficient
number of detected emission lines (therefore not classified with the
red or blue diagnostic). The emission-line ratios - i.e. [OIII] |
| Open with DEXTER | |
| In the text | |
![]() |
Figure 6: Comparison of the stellar masses of star-forming galaxies in our sample, obtained with BC03 and CB07 models, using both photometry and spectroscopy. The latter provides a better treatment of the TP-AGB stars in the near-infrared. The top panel shows the difference between the two masses, the bottom panels show the associated histogram ( left) and the histogram of the differences between the two error estimates ( right). The slope of the difference (s) is shown in the plot. The mean value (m) and the rms (r) of the two histograms are given in the plots. |
| Open with DEXTER | |
| In the text | |
![]() |
Figure 7: Same legend as in Fig. 6, except that we now compare the stellar masses that we obtain with CB07 models with photometry and spectroscopy (final) to the ones obtained: a) using only photometry; b) using only spectroscopy. Only objects with a sufficient number of photometric bands and spectral indices (i.e. more than two of each) are used in these plots. |
| Open with DEXTER | |
| In the text | |
![]() |
Figure 8: Stellar mass estimates (in logarithm of solar masses), as a function of redshift, of the galaxies in our samples: left: the wide sample, right: the deep sample, top: all galaxies (except broad-line AGNs), bottom: only star-forming galaxies (see Sect. 2.2). The red, green and blue curves illustrate respectively the 50%, 80% and 95% mass-to-light completeness levels (see text for details). |
| Open with DEXTER | |
| In the text | |
![]() |
Figure 9: Absolute magnitudes estimates in the rest-frame B-band (AB system), as a function of redshift, of the star-forming galaxies of the wide ( left) and deep ( right) samples. The red, green and blue lines illustrate respectively the 50%, 80% and 95% k-correction completeness levels (see text for details). |
| Open with DEXTER | |
| In the text | |
![]() |
Figure 10: Comparison between empirically-calibrated (x-axis), and CL01 metallicities (y-axis) for our whole sample of star-forming galaxies. The red solid line shows the y=x relation, while the blue dashed line is a least-square fit to the data points. The parameters of the fit are given in the two plots (a: slope, b: zero-point). |
| Open with DEXTER | |
| In the text | |
![]() |
Figure 11:
Bottom: distribution of the aperture fractions (in percent) for the star-forming galaxies in our sample. The dashed histogram shows the distribution for the galaxies at low redshift (z<0.5) with a high metallicity (
|
| Open with DEXTER | |
| In the text | |
![]() |
Figure 12: Rest-frame B-band luminosity-metallicity relation for the wide ( top) and deep ( bottom) samples, for three redshift ranges: from left to right 0.0<z<0.5, 0.5<z<0.7 and 0.7<z<0.9. The metallicities have been estimated using the empirical approach (see Sect. 4.1). The solid line shows the luminosity-metallicity relation at low redshift derived by Lamareille et al. (2004), and renormalized to the CL01 method. The short-dashed line shows the fit to the data points using the ols bisector method (see text). The long-dashed lines show the fit to the data points assuming a constant slope. |
| Open with DEXTER | |
| In the text | |
![]() |
Figure 13: The mass-metallicity relation of star-forming galaxies for the wide ( top) and deep ( bottom) samples, for three redshift ranges: from left to right 0.0<z<0.5, 0.5<z<0.7 and 0.7<z<0.9. The metallicities have been estimated using the empirical approach (see Sect. 4.1). The solid curve shows the mass-metallicity relation at low redshift derived by Tremonti et al. (2004). The long-dashed curves shows the fit to the data points assuming that the SDSS curve is only shifted down in metallicity. |
| Open with DEXTER | |
| In the text | |
![]() |
Figure 14: The mass-metallicity relation of star-forming galaxies for three redshift ranges: from left to right 0.2<z<0.5, 0.5<z<0.6 and 0.6<z<0.8. The metallicities have been estimated using the empirical approach (see Sect. 4.1). The solid curve shows the mass-metallicity relation at low redshift derived by Tremonti et al. (2004). We show the mean metallicities by bins of stellar masses. The blue error bars represent the uncertainty on the mean, while the green error bars represent the dispersion of the data points. The 50% mass-to-light completeness levels for the deep and wide samples (see Table 4) are shown as vertical dotted lines. |
| Open with DEXTER | |
| In the text | |
![]() |
Figure 15:
The mass-metallicity relation of star-forming galaxies for two redshift
ranges: 0.5<z<0.6 (dark grey) and 0.6<z<0.8 (light grey). The
metallicities have been estimated using the empirical approach (see
Sect. 4.1). The solid curve shows the mass-metallicity
relation at low redshift derived by Tremonti et al. (2004).
This relation has also been linearized in the range
|
| Open with DEXTER | |
| In the text | |
![]() |
Figure 16: This plot shows, for galaxies with similar stellar masses, their evolution when redshift increases: for metallicity in the mass-metallicity plane ( top-left), for metallicity in the luminosity-metallicity plane ( top-right), and for luminosity in the mass-luminosity plane ( bottom-right). |
| Open with DEXTER | |
| In the text | |
Copyright ESO 2009
Current usage metrics show cumulative count of Article Views (full-text article views including HTML views, PDF and ePub downloads, according to the available data) and Abstracts Views on Vision4Press platform.
Data correspond to usage on the plateform after 2015. The current usage metrics is available 48-96 hours after online publication and is updated daily on week days.
Initial download of the metrics may take a while.
![\begin{figure}
\par\includegraphics[width=9cm]{397fig1}
\end{figure}](/articles/aa/full_html/2009/07/aa10397-08/Timg34.gif)
![\begin{figure}
\par\includegraphics[width=9cm,keepaspectratio]{397fig2}
\end{figure}](/articles/aa/full_html/2009/07/aa10397-08/Timg39.gif)
![\begin{figure}
\par\mbox{\subfigure[]{\includegraphics[width=8.5cm,keepaspectrat...
...figure[]{\includegraphics[width=8.5cm,keepaspectratio]{397fig4} }}\end{figure}](/articles/aa/full_html/2009/07/aa10397-08/Timg40.gif)

![\begin{figure}
\par\includegraphics[width=8.8cm,keepaspectratio]{397fig5}
\end{figure}](/articles/aa/full_html/2009/07/aa10397-08/Timg49.gif)
![\begin{displaymath}\begin{array}{l}
\log({\rm [N}\mathsc{ii}{\rm ]}\lambda6584/{...
...\rm H}\alpha){\rm\quad otherwise.}\end{array}\right.\end{array}\end{displaymath}](/articles/aa/full_html/2009/07/aa10397-08/img50.gif)
![\begin{figure}
\par\mbox{\subfigure[]{\includegraphics[width=8.5cm,keepaspectrat...
...figure[]{\includegraphics[width=8.5cm,keepaspectratio]{397fig7} }}\end{figure}](/articles/aa/full_html/2009/07/aa10397-08/Timg51.gif)


![\begin{figure}
\par\includegraphics[width=9cm]{397fig8}
\end{figure}](/articles/aa/full_html/2009/07/aa10397-08/Timg65.gif)
![\begin{figure}
\par\mbox{\subfigure[]{\includegraphics[width=9cm]{397fig9} }\hspace*{2mm} \subfigure[]{\includegraphics[width=9cm]{397fig10} }}\end{figure}](/articles/aa/full_html/2009/07/aa10397-08/Timg66.gif)
![\begin{figure}
\par\includegraphics[width=8.5cm,keepaspectratio]{397fig11}\hspac...
...space*{2mm}
\includegraphics[width=8.5cm,keepaspectratio]{397fig14}
\end{figure}](/articles/aa/full_html/2009/07/aa10397-08/Timg67.gif)

![\begin{figure}
\par\mbox{\includegraphics[width=9cm]{397fig15}\includegraphics[width=9cm]{397fig16} }\end{figure}](/articles/aa/full_html/2009/07/aa10397-08/Timg71.gif)
![\begin{figure}
\par\mbox{\subfigure[$z<0.4$ ]{\includegraphics[width=8.5cm,clip]...
...ubfigure[$z>0.4$ ]{\includegraphics[width=8.5cm,clip]{397fig18} }}\end{figure}](/articles/aa/full_html/2009/07/aa10397-08/Timg73.gif)
![\begin{figure}
\par\includegraphics[width=8.8cm]{397fig19}
\end{figure}](/articles/aa/full_html/2009/07/aa10397-08/Timg78.gif)
![\begin{figure}
\par\mbox{\includegraphics[width=5.2cm]{397fig20}\includegraphics...
...cs[width=5.2cm]{397fig24}\includegraphics[width=5.2cm]{397fig25} }\end{figure}](/articles/aa/full_html/2009/07/aa10397-08/Timg79.gif)
![\begin{figure}
\par\mbox{\includegraphics[width=5.2cm]{397fig26}\includegraphics...
...cs[width=5.2cm]{397fig30}\includegraphics[width=5.2cm]{397fig31} }\end{figure}](/articles/aa/full_html/2009/07/aa10397-08/Timg123.gif)
![\begin{figure}
\par\mbox{\includegraphics[width=5.2cm]{397fig32}\includegraphics[width=5.2cm]{397fig33}\includegraphics[width=5.2cm]{397fig34} }\end{figure}](/articles/aa/full_html/2009/07/aa10397-08/Timg129.gif)
![\begin{figure}
\par\includegraphics[width=9cm]{397fig35}
\end{figure}](/articles/aa/full_html/2009/07/aa10397-08/Timg131.gif)
![\begin{figure}
\par\includegraphics[width=8.8cm]{397fig36}
\end{figure}](/articles/aa/full_html/2009/07/aa10397-08/Timg134.gif)



