| Issue |
A&A
Volume 495, Number 1, February III 2009
|
|
|---|---|---|
| Page(s) | 9 - 13 | |
| Section | Astrophysical processes | |
| DOI | https://doi.org/10.1051/0004-6361:200810845 | |
| Published online | 14 January 2009 | |
A&A 495, 9-13 (2009)
Gamma-ray spectrum of RX J1713.7-3946 in the Fermi era and future detection of neutrinos
R. Yamazaki1 - K. Kohri2 - H. Katagiri1
1 - Department of Physical Science, Hiroshima University,
Higashi-Hiroshima, Hiroshima 739-8526, Japan
2 -
Physics Department, Lancaster University, LA1 4YB, UK
Received 22 August 2008 / Accepted 5 December 2008
Abstract
The recently launched satellite,
Fermi Gamma-ray Space Telescope,
is expected to
find out if cosmic-ray (CR) protons are generated
from supernova remnants (SNRs),
especially RX J1713.7-3946, by observing the GeV-to-TeV
-rays.
The GeV emission is thought to be
bright if the TeV emission is hadronic, i.e., of proton origin,
while dim if leptonic.
We reexamine the above view
using a simple theoretical model of nonlinear acceleration of particles
to calculate the gamma-ray spectrum of Galactic young SNRs.
If the nonlinear effects of CR acceleration are
considered, it may be impossible to distinguish the evidence of
proton acceleration from leptonic in the
-ray spectrum
of Galactic young SNRs like RX J1713.7-3946.
On the other hand, future km3-class neutrino observations will
likely find a clear evidence of the proton acceleration
there.
Key words: acceleration of particles - ISM: supernova remnants - gamma rays: theory
1 Introduction
Recently,
Fermi Gamma-ray Space Telescope (Fermi)
,
observing GeV
-ray photons, has been launched.
The GeV
-ray observations with Fermi
are expected to identify the accelerators of Galactic
cosmic-ray (CR) protons whose energy extends up to the
``knee'' energy (
1015.5 eV).
At present, the most probable candidate for the
CR accelerator is a young supernova remnant (SNR).
Since the detections of
synchrotron X-rays in some SNRs show
evidence of electron acceleration (Koyama et al. 1995),
the current unsolved issue is whether the SNRs produce
high-energy protons or not.
TeV
-ray observations are important to address this problem.
So far, TeV
-rays have been detected from several young SNRs
(Enomoto et al. 2002; Katagiri et al. 2005; Aharonian et al. 2005,2004).
They arise from either
leptonic (CMB photons up-scattered by high energy electrons)
or hadronic (
-decay photons generated via accelerated
protons) processes, and it is generally difficult to separate
these processes using only the TeV energy band;
the study of wide-band, GeV-to-TeV spectra is necessary.
RX J1713.7-3946 (hereafter RXJ1713)
is a representative SNR from which
bright TeV
-rays have been detected.
The HESS experiment measured
the TeV spectrum and claimed that
its shape was better explained by
the hadronic model (Aharonian et al. 2006,2007).
So far, compared with other young SNRs, the TeV
-ray
spectrum of RXJ1713 is the most precisely measured and the
energy coverage is wide, from 0.3 to 100 TeV, so that we can
obtain the best constraints on theoretical models.
Recently, time variation of synchrotron X-rays
was discovered in RXJ1713 (Uchiyama et al. 2007).
If the variation timescale is determined from the
synchrotron cooling of X-ray emitting electrons,
the magnetic field is estimated to be
mG.
If so, the leptonic, one-zone emission model
(e.g., Aharonian & Atoyan 1999) cannot
explain the TeV-to-X-ray flux ratio, supporting
the hadronic origin of TeV
-rays.
It should be noted that
the amplified magnetic field is theoretically expected
(e.g., Giacalone & Jokipii 2007; Lucek & Bell 2000).
In this case, according to the standard diffusive shock
acceleration theory,
the maximum energy of accelerated protons
is estimated as (Aharonian & Atoyan 1999)
![]() |
(1) |
which can be comparable to the knee energy. Here,
However, at present, there are several issues to be addressed,
as the above picture on RXJ1713 is not yet proved.
First, if
and TeV emission is hadronic, then in
order to explain the measured flux of radio synchrotron emitted by
primary electrons, the electron-to-proton ratio at the SNR should be
anomalously small,
(Uchiyama et al. 2003; Butt 2008), which
is far below the observed value at the earth and estimated values in
the nearby galaxy (Katz & Waxman 2008).
This might be resolved if the electrons are accelerated in the
later stages of SNR evolution, when the value of
is different from the present value (Tanaka et al. 2008),
although further discussions are necessary.
Second, the
hadronic scenario may be inconsistent with the
molecular cloud (MC) observations (Fukui et al. 2003).
RXJ1713 is surrounded by MCs, which might suggest
collision with them and high target number density.
If the TeV
-rays are hadronic,
such a region should be brighter than observed (Plaga 2008).
In addition,
if the measured width of the synchrotron X-ray filaments at
the shock front of SNRs is determined by the synchrotron cooling
effect (Bamba et al. 2005b; Uchiyama et al. 2003; Bamba et al. 2005a,2003; Vink & Laming 2003), the
magnetic field is independently
estimated as
mG (Parizot et al. 2006), which is an order of
magnitude smaller than that estimated by Uchiyama et al. (2007).
Also, the cutoff energy of TeV
-ray spectrum is low,
so that in the one-zone hadronic scenario
is estimated as 30-100 TeV (Villante & Vissani 2007),
which is approximately two orders of
magnitude lower than the knee energy.
If
TeV and
mG, then
Eq. (1) tells us
,
implying far from
the ``Bohm limit'' (
)
which is
inferred from the X-ray observation (Yamazaki et al. 2004; Parizot et al. 2006)
or expected theoretically (Giacalone & Jokipii 2007; Lucek & Bell 2000).
This statement is recast if we involve
recent results of X-ray observations.
The precise X-ray spectrum of RXJ1713 is revealed, which gives
cm s-1 (Tanaka et al. 2008).
Then, Eq. (1) can be rewritten as
TeV.
Hence, in order to obtain
TeV,
we need
G in the context of the
hadronic scenario of TeV
-rays.
One might think that the volume filling factor of the
region with
mG is small and that the average
field strength is smaller, e.g.,
mG.
However, even in this case,
is more than
100 TeV, which contradicts the observed
-ray spectrum
beyond 10 TeV.
In these circumstances,
Fermi will give us important information on
the
-ray emission mechanism.
So far, the GeV emission has been thought to be
bright if the TeV emission is hadronic, while dim if leptonic.
However, this argument is not so straightforward
if the nonlinear model of CR acceleration is considered.
In the next section, we calculate the photon spectrum
using a simple semi-analytic model taking into account
nonlinear effects.
Indeed, we show that in a certain case, the
hadronic emission spectrum in the GeV-to-TeV band
is similar to the leptonic one.
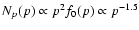
2 Hadronic gamma-rays in the efficient acceleration case
If a large amount of protons are accelerated, their momentum flux is
large, so that the back-reaction of them is significant and the
background shock structure is modified
(Blandford & Eichler 1987; Malkov & Drury 2001; Drury 1983).
Compared
with the test-particle (inefficient acceleration) case in which the
back-reaction effects are neglected, the background plasma is more
compressed at the shock due to the additional CR pressure,
which leads to a harder CR spectrum.
Hence the hadronic emission becomes harder
.
At present, there is no reliable theory to determine the
acceleration efficiency, and it is not clear whether
this nonlinear model is correct or not.
Thus, the observations to determine the acceleration efficiency
and the CR spectrum at the acceleration site are important.
It is widely expected that RXJ1713 with precise studies in
the
-ray and X-ray bands is one of the best laboratories
to investigate theories of nonlinear acceleration.
There are several models of nonlinear CR acceleration
(Berezhko et al. 1994; Malkov 1997; Kang et al. 2001; Amato & Blasi 2005; Blasi 2002; Blasi et al. 2005; Ellison et al. 1996).
Here, we adopt the one-dimensional, semi-analytic model
(Blasi 2002; Blasi et al. 2005). In the following,
we briefly summarize the formalism.
The accelerated CR protons are described by the
distribution function, f(x,p), where x is the
spatial coordinate and p is the momentum of the accelerated
proton.
We derive stationary solutions to
the set of an equation for f(x,p) that describes the diffusive transport
equation of accelerated protons,
and equations for
the background thermal plasma that is treated as a fluid.
The velocity, density, and thermodynamic properties of the fluid
can be determined by the mass and momentum conservation
equations, with the inclusion of the CR pressure calculated as
![]() |
(2) |
The injection of accelerated particles is assumed to occur at the shock front (x=0), and mono-energetic injection with the injection momentum
Note that recent nonlinear models of CR acceleration
have been developed taking into account the magnetic
field amplification (Vladimirov et al. 2006) and
its influence on turbulent heating (Vladimirov et al. 2008),
fluid compression (Caprioli et al. 2008a,b; Terasawa et al. 2007),
and Alfvénic drift (Zirakashvili & Ptuskin 2008), which are
neglected in the model considered in this paper.
These effects lead to less spectral hardening of
accelerated particles and smaller compression ratios,
and might be important in order to calculate the
-ray
spectrum (Morlino et al. 2009).
However, at present,
it is not certain whether or not the magnetic field
is strongly amplified in the acceleration region;
although streaming instabilities between accelerated
protons and background plasma may occur, the nonlinear
evolution of the instability and the saturation level
are highly uncertain.
Although
the magnetic field amplification is potentially
coupled to the high injection rate of protons,
they should, in principle, be treated separately.
In this sense, our model is the
extreme limit of the nonlinear acceleration theory,
which predicts the hardest spectrum of accelerated particles.
In this paper, we adopt M0=100,
,
cm s-1, and
.
Then, we obtain
,
,
,
and
.
While the total number of CR protons is much smaller
than that of the background plasma (
),
the CR pressure is dominant (Amato & Blasi 2005).
We find that the CR energy spectrum is asymptotically
,
which is
harder than in the case of inefficient acceleration.
This result on the asymptotic form has been analytically
derived, which does not depend on the shock parameters
such as M0 and u0 in the large-M0 limit
(Malkov 1999,1997).
Using the derived distribution function of CR protons,
we calculate the
-ray spectrum
produced by
-decay process.
We used the PYTHIA Monte-Carlo event
generator (Sjostrand et al. 2006), which fits existing experimental
data well, to calculate the pp scattering processes and detailed
distributions of the daughter particles such as
and
.
We have also obtained the distribution functions of
emitted photons and neutrinos which are produced by subsequent decays
of those mesons and muons in the same code (Yamazaki et al. 2006).
The result is shown in Fig. 1.
![]() |
Figure 1:
|
| Open with DEXTER | |
So far, we have considered the hadronic
-ray spectrum in the
context of the efficient acceleration scenario.
For comparison, we show, in Fig. 1, the spectrum of
leptonic inverse-Compton (IC) radiation via accelerated electrons
in the case of inefficient acceleration, where back reaction effects of
accelerated protons are neglected.
Throughout the paper, we take into account the Klein-Nishina
effect in calculating the IC spectrum.
The assumed form of the electron distribution is
,
and we adopt
and
TeV.
This case can be realized if the magnetic field is weak enough
for the synchrotron cooling effect to be insufficient,
whose condition is written as
,
where
yr is the age of the SNR.
Solving this equation with
TeV, we derive
G.
If the magnetic field is strong (
G),
the spectral deformation
occurs, which will be discussed in Sect. 4.
One can find from Fig. 1 that the
-decay
-ray emission
in the efficient acceleration model coincides with
the leptonic IC model in the inefficient case.
The reason is simple.
Let si be the index of the energy spectrum of accelerated
particles i (
or
), so that
.
Then, the radiation spectrum of
-decay
-rays
is in the form
,
while the
spectrum of IC radiation is given by
.
Hence, hadronic emission with
and IC emission
with
give the same spectral slope.
This is summarized in Table 1.
Below several hundreds of MeV,
hadronic
-ray emission is dimmer than leptonic
IC emission because
creation reaction does not occur
for low-energy (<70 MeV in the center-of-mass frame)
protons.
Unfortunately, Fermi sensitivity is not high enough to
recognize this decline below
GeV.
One can find that both models slightly deviate from the observed spectrum in the sub-TeV energy range. The significance of this is sometimes strengthened, because the leptonic one-zone IC model is unlikely (Aharonian et al. 2007). However, as will be seen in the next section, it is not serious if the two-zone models are considered.
Table 1:
Spectral index of
spectrum of gamma-rays
(
)
for various cases.
Hadronic emission model in the case of efficient acceleration (Ia)
predicts similar
-ray spectral slope with the leptonic,
inefficient acceleration model with weak magnetic field (IIIb).
On the other hand, hadronic inefficient acceleration models
(IIa and IIIa) predict similar
-ray spectral slope
with the leptonic, moderate magnetic field model (IIb).
3 Two-zone models
Here, we consider simple two-zone models to better explain the observed TeV spectrum (Aharonian & Atoyan 1999). RXJ1713 is interacting with MCs, so that the environment around the shock producing high-energy particles may be inhomogeneous. In this case, the one-zone approximation is too simplified, which motivates us to investigate the two-zone model as the next-order approximation.
3.1 Hadronic two-zone model
In this model, two independent regions,
j (j=1,2), are considered.
For each component,
we independently calculate the proton spectrum again using
the semi-analytic model of nonlinear CR
acceleration considered in the previous section.
The region j has parameters
M0(j),
,
u0(j), and
.
Then, we derive the hadronic
-ray spectrum
produced by
-decay process.
The total emission spectrum from the SNR
is simply given by the sum of
the emissions from two regions.
Figure 2 shows the result where we adopt
and
.
The rest of the parameters are the same as those of the
previous section:
M0(1)=M0(2)=100,
cm s-1,
and
.
The normalization of the
-decay emission
is proportional to the product of the amount of the
accelerated protons,
which is represented by
,
and the target number density, nt.
Here, we adjust
in order to explain the observed
-ray spectrum.
Then, one can see that the fit becomes better compared with
the one-zone hadronic model.
![]() |
Figure 2:
|
| Open with DEXTER | |
3.2 Leptonic two-zone model
The observed correlation between TeV
-ray and synchrotron
X-rays (Aharonian et al. 2006) may suggest that they have the same origin.
Then, since synchrotron X-rays arise from accelerated electrons,
one may expect that the leptonic model is likely
(Ogasawara et al. 2007; Lazendic et al. 2004; Porter et al. 2006).
Similar to the hadronic two-zone model,
two independent regions are considered.
The region j (j=1,2) has a magnetic field B(j)and the electron spectrum
,
where A(j) is the normalization constant.
Here, the electron spectra are given by a single power-law form,
because the inefficient acceleration is adopted.
We consider synchrotron emission and IC emission in which
the target photon is the CMB.
The total emission spectrum from the SNR
is given by the sum of
the emissions from two regions.
Figures 3 and 4 show the result
where we adopt
G,
G,
,
TeV,
TeV, and
A(1)/A(2)=2.74.
The observed spectrum, including radio and X-ray bands,
can be explained by this model.
Note that
in the leptonic model,
the magnetic field strength must be much less than the
observationally inferred values (Uchiyama et al. 2007; Parizot et al. 2006)
in order to fit the radio and X-ray synchrotron spectrum
-
if the magnetic field were larger than 10
G,
the predicted synchrotron radiation would be
much brighter than observed (Aharonian & Atoyan 1999).
Hence, other explanations for
the observations of rapid time variability
and thin width of synchrotron filaments
may be necessary (Katz & Waxman 2008; Pohl et al. 2005; Butt 2008).
![]() |
Figure 3:
|
| Open with DEXTER | |
![]() |
Figure 4:
The same as in Fig. 3, but in the
wide-band energy range from radio to TeV |
| Open with DEXTER | |
Comparing Fig. 2 with Fig. 3, we find that the predicted spectrum of the hadronic two-zone model in the efficient acceleration case is similar to that of the leptonic two-zone model in the case of inefficient acceleration. This conclusion is the same as that for one-zone models in Sect. 2.
4 Conclusion
Some models predict relatively bright GeV
-rays
compared with those considered above.
If the CR back-reaction effect on the particle spectrum
is small (inefficient-acceleration case),
then the energy spectral index of protons is
,
and
the
-decay
-ray emission
shows a roughly flat
-spectrum,
,
in the GeV-TeV band
(model IIa/IIIa in Table 1).
The predicted flux is marginally consistent with the EGRET upper limit,
erg s-1cm-2
at 1-10 GeV (Hartman et al. 1999; Aharonian et al. 2006).
On the other hand,
if the magnetic field is moderately strong,
the synchrotron cooling effect causes
steepening of the electron spectrum over a wide energy range
- typically
(e.g., see Sect. 19.3, Eq. (19.16) of Longair 1994).
In this case, leptonic IC emission in the
GeV-TeV band again shows a nearly flat
-spectrum
(model IIb in Table 1).
Therefore, these
-ray
emission models (IIa/IIIa and IIb) cannot
be distinguished.
This has been discussed in Ellison et al. (2007),
where
G.
In summary, it may be difficult to differentiate
between hadronic and leptonic emission
by the spectral shape of the GeV-to-TeV
-ray
emission of Galactic young SNRs like RXJ1713
(Table 1).
As shown in this paper,
when the GeV
-ray flux is relatively low
(e.g.,
),
both an efficient acceleration model with hadronic
-ray
emission (model Ia) and a leptonic, weak magnetic-field model
with inefficient acceleration (model IIIb) may give
similar spectral shapes.
On the other hand, as already pointed out in Ellison et al. (2007),
when the GeV emission is relatively bright
(e.g.,
),
one may not be able to distinguish
the hadronic model in the inefficient case (models IIa/IIIa)
from the leptonic one with a moderately strong magnetic
field (model IIb).
This conclusion may, at least qualitatively, be applicable to
other young SNRs emitting TeV gamma-rays, such as
RX J0852.0-4622 (Aharonian et al. 2005; Katagiri et al. 2005).
Fermi will likely provide us with
rich information on the emission mechanism of RXJ1713 and other
young SNRs.
However, one should only draw conclusions with great care,
even in the Fermi era.
Probably, neutrino observation with km3-class detectors such as
IceCube (Achterberg et al. 2007) or KM3NeT (Kappes & Consortium 2007)
will finally resolve the problem
(Crocker et al. 2002; Kistler & Beacom 2006; Alvarez-Muñiz & Halzen 2002; Huang & Pohl 2008; Halzen et al. 2008; Vissani & Villante 2008).
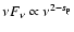
As shown in Fig. 5, if the observed TeV
-ray
emission is hadronic, then the expected neutrino spectrum at the
source is above the atmospheric neutrino background at around 5-10 TeV, which may become the smoking gun of proton acceleration
in Galactic young SNRs.
![]() |
Figure 5:
|
| Open with DEXTER | |
Acknowledgements
We are grateful to the referee for useful comments. This work was supported in part by a Grant-in-aid from the Ministry of Education, Culture, Sports, Science, and Technology (MEXT) of Japan, No. 18740153, No. 19047004 (R.Y.) and No. 19740143 (H.K.), and in part by PPARC grant, PP/D000394/1, EU grant MRTN-CT-2006-035863, the European Union through the Marie Curie Research and Training Network ``UniverseNet'', MRTN-CT-2006-035863 (K.K.)
References
- Achterberg, A., Ackermann, M., Adams, J., et al. 2007, PRD, 76, 042008 [NASA ADS] [CrossRef] [Erratum: PRD, 77, 089904 (2008)] (In the text)
- Aharonian, F. A., & Atoyan, A. M. 1996, A&A, 309,917
- Aharonian, F. A., & Atoyan, A. M. 1999, A&A, 351, 330 (In the text)
- Aharonian, F. A., Akhperjanian, A. G., Aye, K.-M., et al., 2004, Nature, 432, 75 [NASA ADS] [CrossRef]
- Aharonian, F., Akhperjanian, A. G., Bazer-Bachi, A. R., et al., 2005, A&A, 437, L7 [NASA ADS] [CrossRef] [EDP Sciences]
- Aharonian, F., Akhperjanian, A. G., Bazer-Bachi, A. R., et al., 2006, A&A, 449, 223 [NASA ADS] [CrossRef] [EDP Sciences]
- Aharonian, F., Akhperjanian, A. G., Bazer-Bachi, A. R, et al. 2007, A&A, 464, 235 [NASA ADS] [CrossRef] [EDP Sciences]
- Alvarez-Muñiz, J., & Halzen, F. 2002, ApJ, 576, L33 [NASA ADS] [CrossRef]
- Amato, E., & Blasi, P. 2005, MNRAS, 364, L76 [NASA ADS]
- Bamba, A., Yamazaki, R., Ueno, M., & Koyama, K., 2003, ApJ, 589, 827 [NASA ADS] [CrossRef]
- Bamba, A., Yamazaki, R., Yoshida, T., Terasawa, T., & Koyama, K. 2005a, ApJ, 621, 793 [NASA ADS] [CrossRef]
- Bamba, A., Yamazaki, R., & Hiraga, J. S. 2005b, ApJ, 632, 294 [NASA ADS] [CrossRef]
- Berezhko, E. G., et al. 1994, Astropart. Phys., 2, 215 [NASA ADS] [CrossRef]
- Blandford, R. D., & Eichler, D. 1987, Phys. Rep., 154, 1 [NASA ADS] [CrossRef]
- Blasi, P. 2002, Astropart. Phys., 16, 429 [NASA ADS] [CrossRef]
- Blasi, P., Gabici, S., & Vannoni, G. 2005, MNRAS, 361, 907 [NASA ADS] [CrossRef]
- Butt, Y. 2008, MNRAS, 386, L20 [NASA ADS]
- Caprioli, D., Blasi, P., Amato, E., & Vietri, M. 2008a, ApJ, 679, L139 [NASA ADS] [CrossRef]
- Caprioli, D., et al. 2008b, [arXiv:0807.4261]
- Crocker, R. M., Melia, F., & Volkas, Raymond R. 2002, ApJS, 141, 147 [NASA ADS] [CrossRef]
- Drury, L.O'C. 1983, Rep. Prog. Phys, 46, 973 [NASA ADS] [CrossRef]
- Ellison, D. C., Baring, M. G., & Jones, F. C. 1996, ApJ, 473, 1029 [NASA ADS] [CrossRef]
- Ellison, D. C., Patnaude, D. J., Slane, P., Blasi, P., & Gabici, S. 2007, ApJ, 661, 879 [NASA ADS] [CrossRef] (In the text)
- Enomoto, R., Tanimori, T., Naito, T., et al. 2002, Nature, 416, 823 [NASA ADS] [CrossRef]
- Fukui, Y., Moriguchi, Y., Tamura, K., et al. 2003, PASJ, 55, L61 [NASA ADS] (In the text)
- Gabici, S., Aharonian, F. A., & Blasi, P. 2007, Ap&SS, 309, 365 [NASA ADS] [CrossRef]
- Giacalone, J., & Jokipii, J. A. 2007, ApJ, 663, L41 [NASA ADS] [CrossRef]
- Halzen, F., et al. 2008, PRD, 78, 063004 [NASA ADS] [CrossRef]
- Hartman, R. C., Bertsch, D. L., Bloom, S. D., et al. 1999, ApJS, 123, 79 [CrossRef]
- Higashi, Y., Kubo, H., Yoshida, T., et al. 2008, ApJ, 683, 957 [NASA ADS] [CrossRef] (In the text)
- Huang, C.-Y., & Pohl, M. 2008, Astropart. Phys., 29, 282 [NASA ADS] [CrossRef]
- Kang, H., Jones, T. W., LeVeque, R. J., & Shyue, K. M. 2001, ApJ, 550, 737 [NASA ADS] [CrossRef]
- Kappes, A., Hinton, J., Stegmann, C., & Aharonian, F. A. 2007, ApJ, 656, 870 [NASA ADS] [CrossRef]
- Kappes, A. 2007, [arXiv:0711.0563] (In the text)
- Katagiri, H., Enomoto, R., Ksenofontov, L. T., et al. 2005, ApJ, 619, L163 [NASA ADS] [CrossRef]
- Katz, B., & Waxman, E. 2008, JCAP, 01, 018 [NASA ADS] (In the text)
- Kistler, M. D., & Beacom, J. F. 2006, PRD, 74, 063007 [NASA ADS] [CrossRef]
- Koyama, K., Petre, R., Gotthelf, E. V., et al. 1995, Nature, 378, 255 [NASA ADS] [CrossRef] (In the text)
- Lazendic, J. S., Slane, P. O., Gaensler, B. M., et al. 2004, ApJ, 602, 271 [NASA ADS] [CrossRef]
- Longair, M. S. 1994, High Energy Astrophysics, 2, Stars, the Galaxy and the interstellar medium (Cambridge: Cambridge University Press) (In the text)
- Lucek, S. G., & Bell, A. R. 2000, MNRAS, 314, 65 [NASA ADS] [CrossRef]
- Malkov, M. A. 1997, ApJ, 485, 638 [NASA ADS] [CrossRef]
- Malkov, M. A. 1999, ApJ, 511, L53 [CrossRef]
- Malkov, E., & Drury, L.O'C. 2001, Rep. Prog. Phys., 64, 429 [NASA ADS] [CrossRef]
- Morlino, G., Amato, E., & Blasi, P. 2009, MNRAS, 392, 240 [NASA ADS] [CrossRef] (In the text)
- Ogasawara, T., Yoshida, T., Yanagita, S., & Kifune, T. 2007, Ap&SS, 309, 401 [NASA ADS] [CrossRef]
- Parizot, E., Yoshida, T., Yanagita, S., & Kifune, T. 2006, A&A, 453, 387 [NASA ADS] [CrossRef] [EDP Sciences] (In the text)
- Plaga, R. 2008, New Astron., 13, 73 [NASA ADS] [CrossRef] (In the text)
- Pohl, M., et al. 2005, ApJ, 626, L101 [NASA ADS] [CrossRef]
- Porter, T. A., Moskalenko, I. V., & Strong, A. W. 2006, ApJ, 648, L29 [NASA ADS] [CrossRef]
- Sjostrand, T., Mrenna, S., & Skands, P. 2006, JHEP, 0605, 026 [NASA ADS] (In the text)
- Takahashi, T., Tanaka, T., Uchiyama, Y., et al. 2008, PASJ, 60, S131 (In the text)
- Tanaka, T., Uchiyama, Y., Aharonian, F. A., et al. 2008, ApJ, 685, 988 [NASA ADS] [CrossRef] (In the text)
- Terasawa, T., Hada, T., Matsukiyo, S., et al. 2007, Prog. Theor. Phys. Suppl., 169, 146 [NASA ADS] [CrossRef]
- Uchiyama, Y., Aharonian, F. A., & Takahashi, T. 2003, A&A, 400, 567 [NASA ADS] [CrossRef] [EDP Sciences]
- Uchiyama, Y., Aharonian, F. A., Tanaka, T., Takahashi, T., & Maeda, Y. 2007, Nature, 449, 576 [NASA ADS] [CrossRef] (In the text)
- Villante, F. L., & Vissani, F. 2007, PRD, 76, 125019 [NASA ADS] [CrossRef] (In the text)
- Vink, J., & Laming, J. M. 2003, ApJ, 584, 758 [NASA ADS] [CrossRef]
- Vissani, F., & Villante, F. L. 2008, Nucl. Inst. Meth. Phys. Res. A, 588, 123 [NASA ADS] [CrossRef]
- Vladimirov, A., Ellison, D. C., & Bykov, A., et al. 2006, ApJ, 652, 1246 [NASA ADS] [CrossRef] (In the text)
- Vladimirov, A., Bykov, A. M., & Ellison, D. C. 2008, ApJ, 688, 1084 [NASA ADS] [CrossRef] (In the text)
- Yamazaki, R., et al. 2004, A&A, 416, 595 [NASA ADS] [CrossRef] [EDP Sciences]
- Yamazaki, R., Kohri, K., Bamba, A., et al. 2006, MNRAS, 371, 1975 [NASA ADS] [CrossRef] (In the text)
- Zirakashvili, V. N., & Ptuskin, V. S. 2008, [arXiv:0807.2754] (In the text)
Footnotes
- ... (Fermi)
- http://fermi.gsfc.nasa.gov/
- ... harder
-
Another kind of formation of a hard
-ray
spectrum from accelerated protons is the SNR-MC interaction
system with appropriate separation
(e.g., Aharonian & Atoyan 1996; Gabici et al. 2007).
The slower propagation of the low-energy protons
toward the cloud makes the
-ray spectrum hard.
All Tables
Table 1:
Spectral index of
spectrum of gamma-rays
(
)
for various cases.
Hadronic emission model in the case of efficient acceleration (Ia)
predicts similar
-ray spectral slope with the leptonic,
inefficient acceleration model with weak magnetic field (IIIb).
On the other hand, hadronic inefficient acceleration models
(IIa and IIIa) predict similar
-ray spectral slope
with the leptonic, moderate magnetic field model (IIb).
All Figures
![]() |
Figure 1:
|
| Open with DEXTER | |
| In the text | |
![]() |
Figure 2:
|
| Open with DEXTER | |
| In the text | |
![]() |
Figure 3:
|
| Open with DEXTER | |
| In the text | |
![]() |
Figure 4:
The same as in Fig. 3, but in the
wide-band energy range from radio to TeV |
| Open with DEXTER | |
| In the text | |
![]() |
Figure 5:
|
| Open with DEXTER | |
| In the text | |
Copyright ESO 2009
Current usage metrics show cumulative count of Article Views (full-text article views including HTML views, PDF and ePub downloads, according to the available data) and Abstracts Views on Vision4Press platform.
Data correspond to usage on the plateform after 2015. The current usage metrics is available 48-96 hours after online publication and is updated daily on week days.
Initial download of the metrics may take a while.


![\begin{figure}
\par\includegraphics[width=20pc]{0845fig1.eps}
\end{figure}](/articles/aa/full_html/2009/07/aa10845-08/Timg46.gif)
![\begin{figure}
\par\includegraphics[width=20pc]{0845fig2.eps}
\end{figure}](/articles/aa/full_html/2009/07/aa10845-08/Timg79.gif)
![\begin{figure}
\par\includegraphics[width=20pc]{0845fig3.eps}
\end{figure}](/articles/aa/full_html/2009/07/aa10845-08/Timg86.gif)
![\begin{figure}
\par\includegraphics[width=20pc]{0845fig4.eps}
\end{figure}](/articles/aa/full_html/2009/07/aa10845-08/Timg87.gif)
![\begin{figure}
\par\includegraphics[width=20pc]{0845fig5.eps}\end{figure}](/articles/aa/full_html/2009/07/aa10845-08/Timg92.gif)