| Issue |
A&A
Volume 495, Number 1, February III 2009
|
|
|---|---|---|
| Page(s) | 287 - 295 | |
| Section | Stellar structure and evolution | |
| DOI | https://doi.org/10.1051/0004-6361:200810985 | |
| Published online | 14 January 2009 | |
Long-term chromospheric activity of non-eclipsing RS CVn-type stars
A. P. Buccino - P. J. D. Mauas
Instituto de Astronomía y Física del Espacio (CONICET), C.C. 67 Sucursal 28, 1428-Buenos Aires, Argentina
Received 18 September 2008 / Accepted 19 December 2008
Abstract
Context. The IUE database provides several UV high and low-resolution spectra of RS CVn-type stars from 1978 to 1996. In particular, many of these stars were monitored continuously during several seasons by IUE.
Aims. Our main purpose is to study the short and long-term chromospheric activity of the RS CVn systems most observed by IUE: HD 22 468 (V711 Tau, HR 1099, K1IV+G5V), HD 21 242 (UX Ari, K0IV+G5V), and HD 224 085 (II Peg, K2IV).
Methods. We first obtained the Mount Wilson index S from the IUE high and low-resolution spectra. Secondly, we used the Lomb-Scargle periodogram to analyse the mean annual index
and the amplitude of the rotational modulation of the index S.
Results. For HD 22 468 (V711 Tau, HR 1099), we find a possible chromospheric cycle with a period of
18 years and a shorter cycle with a period of
3 years, which could be associated to a chromospheric ``flip-flop'' cycle. The data of HD 224 085 (II Peg) also suggest a chromospheric cycle of
21 years and a flip-flop cycle of
9 years. Finally, we obtained a possible chromospheric cycle of
7 years for HD 21 242 (UX Ari).
Key words: stars: activity - stars binaries: spectroscopic - ultraviolet: stars
1 Introduction
One of the principal diagnostics for solar and stellar chromospheric activity is the emission in the Ca II H and K resonance lines (at 3968 and 3934 Å). In particular, the largest dataset of activity measurements available at present, comprising observations of over 2000 stars, is the one obtained with the Mount Wilson HK spectrophotometers, which have been used since 1966 to measure high-precision Ca II H+K fluxes. As an indicator of stellar activity, an index S has been defined as the ratio between the line-core fluxes and the flux in the continuum nearby.
Since the Mg II h and k lines (at 2803 and 2796 Å) are formed in a similar way to the Ca II lines, they are also good indicators of the thermal structure of stellar atmospheres, especially from the high photosphere to the upper part of the chromospheric plateau.
The International Ultraviolet Explorer (IUE) provides a large database of low and high-resolution UV spectra in the band 1150-3350 Å, from 1978 to 1996, which can be used to study long-term stellar activity through the Mg II lines.
In a previous work (Buccino & Mauas 2008, hereafter Paper I)
we obtained a colour dependent relation between the Mount Wilson
index S and Mg II line-core surface fluxes derived from IUE
high-resolution spectra for F5 to K3 main sequence stars. As an
application of this calibration, we computed the Mount Wilson
index for all the dF to dK stars which have
high-resolution IUE spectra. In that paper we also
combined IUE observations with those obtained by
Henry et al. (1996), and by our group (see
Cincunegui & Mauas 2004;
Cincunegui et al. 2007a). For some of the most frequently
observed main sequence stars, we combined the Mount Wilson
index S from the IUE spectra, together with the ones derived from
visible spectra, covering the period between 1978 and 2005.
Analysing the data with the Lomb-Scargle periodogram, we
were able to confirm the chromospheric activity cycle of
Eri (HD 22 049) and
Hydri (HD 2151) with periods
of
5 and
12 years respectively, and we found a
magnetic cycle in
Cen B (HD 128 621) of
8 years.
Similarly, the purpose of the present study is to calibrate IUE low-resolution observations of Mg II h+k lines with the Mount Wilson index S, as a complement of the work presented in Paper I, and to apply this calibration to study the activity in RS CVn stars.
RS CVn-type stars are well known due to their strong chromospheric plages, coronal X-ray, and microwave emissions, as well as strong flares in the optical, UV, radio, and X-ray. These stars belong to a class of close detached binaries where the more massive primary component is a G-K giant or subgiant and the secondary is a subgiant or dwarf of spectral classes G to M. The magnetic activity signatures are generally dominated by the primary star of the system. Since these stars are fast rotators enforced by tidal synchronization, they are, in general, more active than single stars of similar mass and age.
The remarkable activity and high luminosity of these stars make them favourite targets for light curve modeling (Rodonò et al. 1986; Donati et al. 1995; Berdyugina et al. 1999; Berdyugina & Henry 2007), Doppler imaging (Donati et al. 1992; Donati 1999; Kitchatinov et al. 2000; Donati et al. 1997) and spectral line analysis (Walter et al. 1987; Dempsey et al. 1996; Pagano et al. 2001; Montes et al. 2000). In general, most long-term stellar activity studies of RS CVn-type stars are based on easily detected optical photometric variations produced by their long-lived large spots. Recently, Messina (2008) presented the results of a long-term photometric monitoring project, where he carefully studied the magnetic activity of 14 late-type active components of close binary systems and its evolution on different time scales. Lanza et al. (2006,1998) and Berdyugina & Henry (2007) presented similar long-term studies for individual RS CVn stars.
In general, these studies concluded that the mean activity level of
RS CVn-type stars presents cyclic variations similar to the 11-year solar
cycle. Moreover, they found that large starspots tend to
appear always at particular longitudes, called ``active longitudes''
(ALs), which are generally separated by 180
on average
and differ in their level of activity. Berdyugina & Tuominen (1998)
found that the dominant activity switches periodically from one active
longitude to the other in most RS CVn stars. This type of stellar
activity cycle, known as ``flip-flop cycle'', is mainly related to the
non-axisymmetric redistribution of the spotted area.
The IUE database provides a large number of UV high and low-resolution spectra of RS CVn-type stars. Furthermore, IUE monitored these stars continuously during several seasons. In most cases, the observations were aimed at uniform coverage with respect to orbital phase over more than one rotation period in each season (e.g. Dempsey et al. 1996; Busà et al. 1999). In this work we analyse the short and long-term chromospheric activity of the non-eclipsing RS CVn stars most observed by IUE and we compare the chromospheric and photospheric patterns of variability.
In particular, in Sect. 2, we derive a relation to determine the Mount Wilson index from the Mg II line-core fluxes measured on IUE low-resolution spectra. As an application of this calibration, in Sect. 3 we study the Mount Wilson indices we derived from both IUE high and low-resolution spectra of the RS CVn stars HD 22468 (V711 Tau, HR 1099), HD 21 242 (UX Ari) and HD 224 085 (II Peg).
2 Mg II lines and Mount Wilson index
In Paper I we inter-calibrated the index S and Mg II fluxes using quasi-simultaneous IUE high-resolution observations for a set of dwarf stars with spectral types F to K. Since in the present work we intend to use this calibration to study the activity of RS CVn systems, which have sub-giants as their primary star, we check the accuracy of applying this calibration to cool sub-giants. To do so, we obtained the IUE Mg II fluxes for those cool sub-giant stars also observed at Mount Wilson Observatory. In Fig. 1 we show the calibration of Paper I, and we include these sub-giants. It can be seen that these stars follow this calibration within the statistical errors.
| |
Figure 1:
S vs.
|
| Open with DEXTER | |
Since the IUE database also provides a large number of low-resolution spectra of late-type stars, in particular RS CVn stars, it is important to incorporate these spectra to the systematic studies of magnetic activity. To this end, in what follows we analyse the relation between the Mg II line-core fluxes derived from IUE low-resolution spectra and the Mount Wilson index.
2.1 Observations
In Fig. 2 we present some examples of IUE low-resolution spectra of three F, G and K main sequence stars. These spectra present a resolution of R=400 at 2700 Å, they are available from the IUE public library (at http://sdc.laeff.esa.es/cgi-ines/IUEdbsMY), and have been calibrated using the NEWSIPS (New Spectral Image Processing System) algorithm (Garhart et al. 1997). The internal accuracy of the low-resolution flux calibration is 10-15% (Massa & Fitzpatrick 2000).
![]() |
Figure 2: IUE low-resolution spectra of three representative stars: HD 22 049 (K2V), HD 1835 (G3V) and HD 1581 (F9V). Surface flux is obtained according to Eq. (1). The windows used to integrate the line-core emission (2790-2810 Å) are marked on each spectrum. |
| Open with DEXTER | |
The
observed flux f in the IUE spectra was transformed to the surface
flux F using Schrijver et al.'s
(1992) relation:
where mV is the visual apparent magnitude (from the Hipparcos and Thycho Catalogue Perryman et al. 1997; Hoeg et al. 1997), BC is the bolometric correction (from Flower 1996) and
In Fig. 2 we also show the windows used to integrate the Mg II line-core fluxes, which are 10 Å-wide and are centred at 2795 Å. The position and the width of these windows were chosen to guarantee that the contribution of the integrated flux is predominantly chromospheric, beyond the basal contribution. However, it can be seen in the figure that the Mg II line-core emission can only be detected in stars of late spectral type, in which the level of phostospheric continuum is low. Therefore, the Mg II line-core fluxes derived from IUE low-resolution spectra could be only considered as an activity indicator in stars cooler than G3.
On the other hand, the ``IUE Newly Extracted Spectra'' (INES) system provides a rebinned spectrum for each high-resolution image, which is obtained by re-sampling the high-resolution spectrum into the low-resolution wavelength domain. The re-sampling has been performed so that the total flux is conserved. However, the rebinned spectra have not been convolved with the low-resolution Point Spread Function (PSF) and, in consequence, have a better spectral resolution than low-dispersion spectra (González-Riestra et al. 2000).
![]() |
Figure 3: IUE low-dispersion (dashed line) and rebinned (solid line) spectra of HD 22 049, both observed on January, 14 th 1984 with a time difference of 1 h. |
| Open with DEXTER | |
In Fig. 3 we plot two quasi-simultaneous rebinned and low-dispersion spectra of the star HD 22 049 (K2V). We can see that both spectra are similar but not equal. However, the Mg II line-core fluxes integrated between 2790 and 2810 Å (dotted rectangle) on both spectra only differ by 1-2%. Therefore, in order to calculate the Mount Wilson index from the IUE spectra, we can consider the low-resolution and the rebinned spectra indistinguishable.
2.2 Calibration of S vs. F
To intercalibrate the Mount Wilson index S and the Mg II line-core
surface fluxes derived from the IUE low-resolution spectra, we used
the same set of quasi-simultaneous observations used in Paper I (see
Fig. 1). In particular, we measured the
Mg II fluxes on the IUE rebinned spectra (
)
corresponding to the high-resolution spectra used in our previous
work.
Table 1: Stars used in the Mg II - and the index S calibration.
As mentioned before, the Mg II line-core fluxes can be considered as an activity indicator only in late-type stars, where the line-core emission is remarkably larger than the contribution of the continuum nearby. Therefore, we reduced our set of calibration stars to those with B-V>0.65, listed in Table 1.
We proposed a calibration for S vs.
analogous to the
one obtained in Paper I for the Mg II fluxes derived from IUE high-resolution spectra:
with
| |
Figure 4:
S vs.
|
| Open with DEXTER | |
Table 2: Long and short term variability records of the RS CVn-type stars most observed by IUE.
The uncertainties in the determination of the effective temperature
and the bolometric correction of the star may introduce a
10%
error in the Mg II surface fluxes obtained with
Eq. (1) (Schrijver et al. 1992). On the other
hand, the dispersion in
,
due to the fact that there is
a single value of S for IUE spectra differing in less than
36 h, has a standard deviation that can be up to 5%. The standard
deviations of the Mount Wilson indices S obtained from
Duncan et al. (1991) do not exceed 10% of its mean
value. Therefore, we varied the error of
and S near
the maximum standard deviation (15% for
and 10%
for S) in order to minimize the
-statistic.
Considering errors in both coordinates and
minimizing the expression:
where
In Fig. 4 we plot the Mount Wilson index Svs. the Mg II line-core surface fluxes for dwarf stars and the best linear fit given by Eq. (2). As in Fig. 1, we also included the index S and the Mg II fluxes for cool sub-giant stars with B-V>0.65. We can see that these sub-giants follow the calibration obtained in Eq. (2) within the statistical errors.
3 RS CVn stars
The IUE database provides a large number of UV high and low-resolution spectra of RS CVn-type stars. In this section, we analyse the long and short-term chromospheric activity of three RS CVn stars observed many times by IUE. In particular, we analysed the activity signatures, which mainly correspond to the primary star, of the system: HD 22 468 (V711 Tau, HR 1099), HD 21 242 (UX Ari, HD 21 242) and HD 224 085 (II Peg).
Most observations were performed at high-resolution. To add to these observations the low-resolution ones, we transform the Mg II fluxes to S, following the calibrations obtained here and in Paper I. We note that the values obtained from low-resolution observations have larger uncertainties since they include an extra activity component related to the continuum nearby, whose variation could be up to 30% for very active stars (see Sect. 2 in Paper I). We also note that, for a given star, the error in the transformation to surface fluxes (Eq. (1)) is common to all the observations and, therefore, does not affect our results regarding stellar variability, although it might affect the mean level of activity.
In this way, our observations cover the period between 1978 and 1996. Even if, in several cases, the density of measurements along the years is low, we can infer the average level of activity and its variability for the whole period and during a few short intervals of time.
For the stars mentioned above, we list in Table 2 the average, maximum and minimum level of activity reached along decades (Cols. 4 and 5) and the variations recorded in particular years (Col. 6).
In what follows we plot the index S vs. time and we analyse the stellar magnetic behaviour of each system in detail.
3.1 HD 22 468 - V711 Tau - HR 1099
HD 22 468 is one of the most active RS CVn non-eclipsing spectroscopic binary systems, consisting of a K1 subgiant primary and a G5 dwarf secondary in a 2.837-day orbit.In RS CVn stars the activity contribution of the secondary star is another source of error for determining the Mg II line-core emission of the primary star. To estimate this contribution, we fitted the Mg II h and k lines with two Gaussian functions to approximate the line-core emission of the primary and the secondary star in each line, using the IRAF task splot (see Fig. 5).
![]() |
Figure 5: HD 22 468-V711 Tau-HR 1099. Mg II k line fitted with two Gaussian functions, the dashed and solid curves represent the contribution of the primary and secondary star of the system respectively. |
| Open with DEXTER | |
For all the IUE high-resolution spectra of HD 22 468, we integrated the fluxes under these curves and we found that the Mg II h+k line-core fluxes emitted by the G star do not exceed 10% of the total flux, which is within the standard deviation we assumed for the measured flux. Therefore, the Mg II h+k line-core fluxes derived from the IUE high and low-resolution spectra of HD 22 468 can be considered as an activity indicator of the K star of the system.
In Fig. 6 we plot the indices S for this star, for
which we obtained a mean Mount Wilson index
from 1978 to 1995.
| |
Figure 6:
HD 22 468 - V711 Tau - HR 1099. We indicate the Mount Wilson index Sobtained from the IUE high and low-resolution spectra with triangles
( |
| Open with DEXTER | |
Cerruti-Sola et al. (1992) reported that HD 22 468
had fluxes comparable to those of the brightest solar regions and even
approaching those observed in solar flares. In fact, several flares
were observed with IUE, and can be noticed in Fig. 6. In
particular, Linsky et al. (1989) reported a flare on 1981,
October 3
rd, which released a total
energy of
1032 erg. Using our calibration, we obtain
that S increased 21% in a few hours during that event.
Brown et al. (1994) reported another flare on 1994, August
24
th. During that date, the Mount Wilson index presented
a 60% variation in six hours. In December 1992,
Neff (1995) also reported a flare observed by IUE,
during which S increased by 50% in half an hour. In
Fig. 7 we plot the values of S obtained from the
IUE spectra during these three flares.
| |
Figure 7: HD 22 468 - V711 Tau - HR 1099. Three flares on 1981, Oct. 3rd; 1992, Dec. 14th and 1994, Aug. 24th. |
| Open with DEXTER | |
| |
Figure 8:
HD 22 468 - V711 Tau - HR 1099. Left: Lomb-Scargle periodogram of the mean annual
|
| Open with DEXTER | |
On the other hand, long-term time series of optical photometry were
extensively analysed for this star (Henry et al. 1995;
Lanza et al. 2006). Recently, Berdyugina & Henry (2007)
analysed photometric observations of HD 22 468 in the V-band for the
years 1975-2006 and they confirmed an activity
cycle with a period of 15-16 years, first found in this star by
Henry et al. (1995). Also from photometric observations
obtained between 1975 and 2001,
Lanza et al. (2006) found a long-term activity cycle with a
period of
years.
In order to search for long-term periodic chromospheric variations, we
obtained the mean annual
of the indices plotted in
Fig. 6, excluding those points related to the
flares mentioned above. The uncertainties of each point S were
obtained considering a 10% and a 25% error for the high and
low-resolution fluxes respectively.
We analysed the indices
as a function of time with the Lomb-Scargle periodogram
(Scargle 1982; Horne & Baliunas 1986), using
the algorithm given by Press et al. (1992). This periodogram is
shown in Fig. 8a, where it can be seen that there
is, indeed, a peak at 6589 days (
1170 days) with power
and a False Alarm Probability (FAP) of 11%. This FAP
was computed following Horne & Baliunas (1986), who assumed a
strictly periodic signal with Gaussian noise. This condition, however, is not actually
met in this case.
Therefore, we also computed the FAP of this period with a
Monte Carlo simulation, with an algorithm similar to the one used by
Herbst et al. (2002). We built 10 000 random series from our
dataset and we computed the Lomb-Scargle periodogram for each random
series. Only in 110 of these periodograms a period was ``detected''
with a power
.
Therefore, in this way we obtained a
FAP = 1.1% for the peak of 6589 days in Fig. 8a. In
this figure we also show the 10, 50 and 90% FAP levels computed with
this method.
This period of
years is in concordance, within the
statistical error, with the ones found by the authors cited above.
In Fig. 8b, we plot the mean annual
phased with
the period obtained and we found that a harmonic function
fits these points with a reduced
,
which corroborates the
period found.
Berdyugina & Henry (2007) also found a 5-year flip-flop cycle, derived from the cyclic pattern of the peak-to-peak V magnitude which reflects the non-axisymmetric redistribution of the spotted area. The photometric observations analysed by Lanza et al. (2006) also reflected this short-term oscillation with a period of 3-5 years superposed on the long-term spot activity cycle.
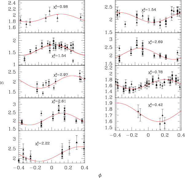
To search for a chromospheric flip-flop cycle, we analysed the
peak-to-peak Mount Wilson index for several seasons of measurements,
since these variations are proportional to the difference of the area
of plages between opposite hemispheres of HD 22 468. To do this, we
built individual light curves for the sets of data indicated with
arrows in Fig. 6, which are shown in
Fig. 9. We excluded from these datasets those
points associated with flares. Following Díaz et al. (2007),
we phased each light-curve with the 2.837-day rotation period and we
fitted the data of each light-curve with a harmonic function expressed
as:
where the amplitude A of the curve and its error
where
![]() |
Figure 9:
Variability on HD 22 468 - V711 Tau - HR 1099. Light curves S vs. |
| Open with DEXTER | |
We analysed the variation of the amplitude against time, using the
Lomb-Scargle periodogram, and we obtained that the variability of Spresents a cyclic behaviour with a period of
days
(
3.3 years) with a 5% Monte Carlo FAP, which is
consistent with the period obtained by Lanza et al. (2006).
3.2 HD 21 242 - UX Ari
HD 21 242 is a RS CVn-type system composed of a K0IV star and a G5V companion in a 6.483-day orbit (Duemmler & Aarum 2001). There is also a third component, probably in a longer-period orbit around the central binary system (Vogt & Hatzes 1991), which is weakly present in the spectrum (Duemmler & Aarum 2001).By separating the Ca II K line-core contributions due to each component of the HD 21 242 system, Aarum Ulvås & Engvold (2003) concluded that the secondary star does show signatures of chromospheric activity, but this activity does not influence the average photospheric line-depth. To corroborate if this conclusion is also valid for chromospheric UV lines, we estimated the Mg II line-core contributions of the primary and secondary stars to the total flux by fitting each line with two Gaussian functions, as we did for HD 22 468 (Fig. 5). In this case, however, we found that the contribution of the G star is larger and can be up to 20%. Since we could not separate the contribution of both stars in all spectra, we included the total flux in the analysis of this system.
In Fig. 10 we plot the index S obtained from all the
IUE rebinned and low-resolution spectra between 1978 and 1996 for both
primary and secondary stars. The mean annual Mount Wilson index is
during this period.
| |
Figure 10: HD 21 242 - UX Ari. Symbols as in Fig. 6. |
| Open with DEXTER | |
We also observe in this figure appreciable short-scale (
months)
variations from 15% to 80%. In particular, during the large flare of
1979, January 1
st (Simon et al. 1980) the
S-index reached a value
300% greater than the mean. From our data,
we also obtained that the index S increased
60% during the
flares of 1987, January 6
th (Lang & Willson 1988) and
1991, September 14
th (Sanz-Forcada et al. 2002).
In order to search for a long-term periodic chromospheric pattern, we
first obtained the mean annual
of the indices
plotted in Fig. 10, excluding those points related to
the flares mentioned above. We analysed the indices
as a function of time with the Lomb-Scargle periodogram, which is
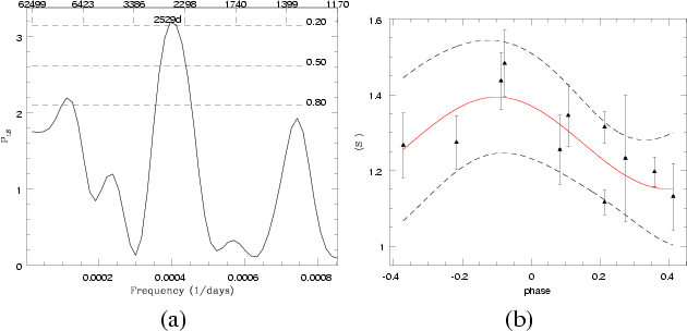
shown in Fig. 11a. It can be seen that there is a
peak at 2529 days (
7 years) with a FAP of 18%, computed with the Monte Carlo method explained in the previous section.
To our knowledge, this period has not been reported in the literature
before. However, Aarum Ulvås & Henry (2003) analysed several series of
photometric observations obtained between 1987 and 2002 by different
authors and found that the mean magnitude presents a cyclic behaviour
with a period of 25 years and a significance of 99%. Note
that a peak at 25 years is also observed in
Fig. 11a, although with a FAP > 70%. Conversely, in
Fig. 2 of Aarum Ulvås & Henry's paper it can be found a
peak at
5.5 years consistent with our
result with a significance close to 90%. On the other hand, the activity cycle we obtained present a
minimum between 1980 and 1982 and a maximum between 1993 and 1995 in
agreement with Aarum Ulvås & Henry's photometric
observations.
![]() |
Figure 11:
HD 21 242 - UX Ari. Left: Lomb-Scargle periodogram of the mean annual
|
| Open with DEXTER | |
Given the discrepancy between both periods, we analysed whether the IUE observations cover an interval too short and/or too sparse to detect a cycle 25 years long. To do it, taking into account that stellar cycles are not perfect harmonic functions, we assumed that the star has a quasi-periodic cycle similar in shape to the solar one, with a period of 25 years.
Following Cincunegui et al. (2007b), we used the sunspot
number
from the National Geophysical Data Center between 1900
and 2000 and rescaled the series in time to the period P=25 years.
To consider data with the same signal-to-noise as ours, we also
rescaled the
values to obtain a time series of the same mean
value and standard deviation as our data in
Fig. 11b. Then, we took a sample of the rescaled
solar data with the same phase intervals as in the IUE observations,
and we computed the Lomb-Scargle periodogram. We repeated this
procedure 1000 times with random starting dates.
![]() |
Figure 12: Histogram of the detected periods (with maximum significance) for sample of 1000 different sets the sunspot number re-scaled to 25 years. |
| Open with DEXTER | |
For each periodogram, we considered the period with the maximum
significance as the detected period. In Fig. 12
we plot the histogram of the 1000 detected periods. In this
figure it can be seen that in 556 cases the ``correct'' period between 20 and 27 years has been detected. Of the 444 cases where a
``false'' period is detected, 125 cases correspond to the period
18 years (
10%), which is the time length of the dataset. In
89 cases we detected a period between 4 and 8 years. Therefore, this
test seems to suggest that our data in Fig. 12 are not
compatible with a 25-year period with a significance >90%.
Unfortunately, we are not able to detect a flip-flop cycle from the data plotted in Fig. 10, which are insufficient to obtain a significant period in this case.
3.3 II Peg - HD 224 085
HD 224 085 (II Peg) is a single-lined RS CVn-binary system composed by a K2IV star and an unseen companion of an estimated spectral class M0-M3V (Berdyugina et al. 1998).
In Fig. 13 we plot the Mount Wilson index S derived
from the IUE high and low-resolution spectra obtained between 1979
and 1995. From these data, we obtained a mean level of activity given by
during this period with
a 35% annual variation.
| |
Figure 13: HD 224 085 - II Peg. Symbols as in Fig. 6. |
| Open with DEXTER | |
On the other hand, HD 224 085 is a well-known source of flares. These type of events are evident in Fig. 13 as appreciable short-scale variations of the index S. In particular, during the flare of 1981 October (Byrne et al. 1987), the index S increased 40% in 18 h. During the large flares of 1983, February 2 nd (Andrews et al. 1988) and 1992, September 5 th (Byrne et al. 1998), the index S reached a value 105% and 94% larger than the mean respectively.
By analysing 34 years of photometric observations,
Rodonò et al. (2000) concluded that the spot pattern of
HD 224 085 could be subdivided in two components, which present
different cyclic behaviours. They found that one component is
uniformly distributed in longitude and seems to be possibly
modulated by a
13.5-year activity cycle; the other component
is unevenly distributed and mainly concentrated in three active
longitudes. One of these longitudes is characterised by persistent
spot activity, but the other two active longitudes are not
continuously active, and the spot activity switches cyclically
back and forth between them. The duration of the phase when only
one longitude is predominantly active is on average
4.7
years. This result is consistent with the 9.30-year flip-flop cycle
previously reported by Berdyugina & Tuominen (1998) for this star.
| |
Figure 14:
HD 224 085 - II Peg. Left: Lomb-Scargle periodogram of the mean annual
|
| Open with DEXTER | |
To search for cyclic chromospheric patterns, we first studied the mean
annual index
of the data plotted in
Fig. 13 as a function of time with the Lomb-Scargle
periodogram. In Fig. 14a we observe that the
periodogram has a maximum at 7740 days (
21 years) with a Monte Carlo FAP
of 10%. In Fig. 14b we show the mean annual indices
phased with this period. Although the 7740-day
peak is not sharp, only two points (with
and
)
apart more
than 1
from the harmonic curve in
Fig. 14b. Therefore, we can only affirm that the
data of HD 224 085 suggest a chromospheric cycle of near 21 years. As
far as we know, this period has not been reported in the literature
before, but an activity cycle was previously detected in this star (Rodonò et al. 2000; Henry et al. 1995).
![]() |
Figure 15: Histogram of the detected periods for a sample of 1000 different sets of sunspots number re-sampled with a period of 12 years. |
| Open with DEXTER | |
To check if these periods reported in the literature are
compatible with the IUE observations, we repeated the analysis done in the
previous section. We first rescaled the sunspot number to obtain
series with the same mean value and the same standard deviation as
our data, and with a period
P=12 years, which is the mean period reported in the
literature. Then,
we calculated the Lomb-Scargle periodogram for 1000 subsets of
with the same phase intervals as our data plotted in
Fig. 14(b).
In Fig. 15 we plot the histogram of
the 1000 periods detected and we found that in 602 cases the period
detected is 12 years (
15%). In the histogram there is also a
peak for the period
15 years, which is the time length of the
dataset. Only in 89 of the cases a
years (
10%) is
detected, which is the range that include the period we obtained in
Fig. 14a. Therefore, this test suggests that the data
of HD 224 085 in Fig. 14b are not compatible with a
period P=12 years, with a confidence level >90%.
![]() |
Figure 16:
Variability on HD 224 085- II Peg. Light curves S vs. |
| Open with DEXTER | |
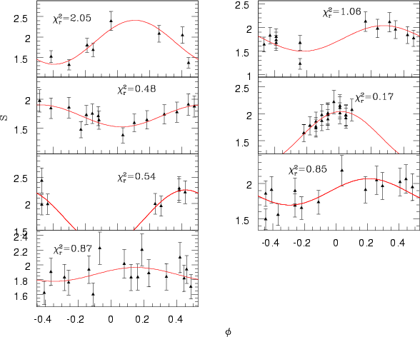
To search for cyclic patterns of shorter periods, we finally analysed
the rotational modulation of the index S during the seasons
indicated with arrows in Fig. 13. Similarly to the
analysis done for HD 22 468, we phased each season's light-curve Svs. time with the 6.724-day rotation period and we fitted each set of
data with the harmonic function given in Eq. (4). We
analysed the amplitude A (see Eq. (5)) against time
with the Lomb-Scargle periodogram and we obtained a period of
days (
years) with a Monte Carlo FAP
of 7%. This cyclic behaviour seems to be well correlated with the
flip-flop cycle of period 9.30 years obtained by
Berdyugina & Tuominen (1998) for the spot activity.
4 Conclusions
The main purpose of this paper is to study the short and long-term chromospheric activity of the RS CVn-type stars most observed by IUE.
In the first part of this work we calibrate the Mg II fluxes observed in low-resolution spectroscopic observations available in the IUE archives with the Mount Wilson index S, which allows us to use these observations for systematic studies of magnetic activity in late-type stars. In particular, we found that the Mg II line-core fluxes derived from IUE low-resolution spectra could be only considered as an activity indicator in stars cooler than G3.
To complement the calibration between the Mount Wilson index S and the IUE high-resolution Mg II line-core fluxes we obtained in Paper I, we analysed a set of 96 nearly simultaneous observations, which belong to 11 G3 to K3 main sequence stars, of the index S and the Mg II fluxes derived from IUE high-resolution spectra re-sampled into the low-resolution wavelength domain. We obtained a B-V colour dependent relation between the index S and the IUE low-resolution Mg II line-core fluxes.
In the second part of this work, we studied the long and short-term
chromospheric activity of the non-eclipsing RS CVn stars most observed
by IUE: HD 22 468 (V711 Tau, HR 1099, K1IV+G5V), HD 21 242 (UX Ari,
K0IV+G5V) and HD 224 085 (II Peg, K2IV). To do so, we analysed with
the Lomb-Scargle periodogram the mean annual index
and the amplitude of the rotational modulation of S of each star.
We obtained a possible chromospheric activity cycle in HD 22 468 with a
period of
18 years and a chromospheric flip-flop cycle of period
3 years. We also found a flip-flop like cycle with a period of
9 years in the HD 224 085 data. These results are in agreement with the
ones reported in the literature. On the other hand, we also detected a cyclic
chromospheric pattern in the mean annual index of HD 224 085 and
HD 21 242 with periods of
21 and
7 years
respectively.
Acknowledgements
We thank the referee Dr. Sergio Messina, for his useful comments and observations.
References
- Aarum Ulvås, V., & Engvold, O. 2003, A&A, 402, 1043 [NASA ADS] [CrossRef] [EDP Sciences] (In the text)
- Aarum Ulvås, V., & Henry, G. W. 2003, A&A, 402, 1033 [NASA ADS] [CrossRef] [EDP Sciences] (In the text)
- Andrews, A. D., Rodonò, M., Linsky, J. L., et al. 1988, A&A, 204, 177 [NASA ADS] (In the text)
- Berdyugina, S. V., & Henry, G. W. 2007, ApJ, 659, L157 [NASA ADS] [CrossRef]
- Berdyugina, S. V., & Tuominen, I. 1998, A&A, 336, L25 [NASA ADS] (In the text)
- Berdyugina, S. V., Jankov, S., Ilyin, I., Tuominen, I., & Fekel, F. C. 1998, A&A, 334, 863 [NASA ADS] (In the text)
- Berdyugina, S. V., Berdyugin, A. V., Ilyin, I., & Tuominen, I. 1999, A&A, 350, 626
- Boehm-Vitense, E. 1981, ARA&A, 19, 295 [NASA ADS] [CrossRef] (In the text)
- Brown, A., Skinner, S., Stewart, R., Drake, S., & Deeney, B. 1994, BAAS, 26, 1463 [NASA ADS] (In the text)
- Buccino, A. P., & Mauas, P. J. D. 2008, A&A, 483, 903 [NASA ADS] [CrossRef] [EDP Sciences] (In the text)
- Busà, I., Pagano, I., Rodonò, M., Neff, J. E., & Lanzafame, A. C. 1999, A&A, 350, 571 (In the text)
- Byrne, P. B., Doyle, J. G., Brown, A., Linsky, J. L., & Rodonò, M. 1987, A&A, 180, 172 [NASA ADS] (In the text)
- Byrne, P. B., Abdul Aziz, H., Amado, P. J., et al. 1998, A&AS, 127, 505 [NASA ADS] [CrossRef] [EDP Sciences] (In the text)
- Cerruti-Sola, M., Cheng, C.-C., & Pallavicini, R. 1992, A&A, 256, 185 [NASA ADS] (In the text)
- Cincunegui, C., & Mauas, P. J. D. 2004, A&A, 414, 699 [NASA ADS] [CrossRef] [EDP Sciences] (In the text)
- Cincunegui, C., Díaz, R. F., & Mauas, P. J. D. 2007a, A&A, 469, 309 [NASA ADS] [CrossRef] [EDP Sciences] (In the text)
- Cincunegui, C. C., Diaz, R., & Mauas, P. 2007b, A&A, 461, 1107 [NASA ADS] [CrossRef] [EDP Sciences] (In the text)
- Dempsey, R. C., Neff, J. E., Thorpe, M. J., et al. 1996, ApJ, 470, 1172 [NASA ADS] [CrossRef]
- Díaz, R. F., González, J. F., Cincunegui, C., & Mauas, P. J. D. 2007, A&A, 474, 345 [NASA ADS] [CrossRef] [EDP Sciences] (In the text)
- Donati, J. F. 1999, MNRAS, 302, 457 [NASA ADS] [CrossRef]
- Donati, J.-F., Brown, S. F., Semel, M., et al. 1992, A&A, 265, 682 [NASA ADS]
- Donati, J.-F., Henry, G. W., & Hall, D. S. 1995, A&A, 293, 107 [NASA ADS]
- Donati, J.-F., Semel, M., Carter, B. D., Rees, D. E., & Collier Cameron, A. 1997, MNRAS, 291, 658 [NASA ADS]
- Duemmler, R., & Aarum, V. 2001, A&A, 370, 974 [NASA ADS] [CrossRef] [EDP Sciences] (In the text)
- Duncan, D. K., Vaughan, A. H., Wilson, O. C., et al. 1991, ApJS, 76, 383 [NASA ADS] [CrossRef] (In the text)
- Fekel, Jr., F. C. 1983, ApJ, 268, 274 [NASA ADS] [CrossRef]
- Flower, P. J. 1996, ApJ, 469, 355 [NASA ADS] [CrossRef] (In the text)
- Garhart, M. P., Smith, M. A., Turnrose, B. E., Levay, K. L., & Thompson, R. W. 1997, IUE NASA Newsletter, 57, 1 [NASA ADS] (In the text)
- González-Riestra, R., Cassatella, A., Solano, E., Altamore, A., & Wamsteker, W. 2000, A&AS, 141, 343 [NASA ADS] [CrossRef] [EDP Sciences] (In the text)
- Henry, G. W., Eaton, J. A., Hamer, J., & Hall, D. S. 1995, ApJS, 97, 513 [NASA ADS] [CrossRef] (In the text)
- Henry, T. J., Soderblom, D. R., Donahue, R. A., & Baliunas, S. L. 1996, AJ, 111, 439 [NASA ADS] [CrossRef] (In the text)
- Herbst, W., Bailer-Jones, C. A. L., Mundt, R., Meisenheimer, K., & Wackermann, R. 2002, A&A, 396, 513 [NASA ADS] [CrossRef] [EDP Sciences] (In the text)
- Hoeg, E., Bässgen, G., Bastian, U., et al. 1997, A&A, 323, L57 (In the text)
- Horne, J. H., & Baliunas, S. L. 1986, ApJ, 302, 757 [NASA ADS] [CrossRef] (In the text)
- Kitchatinov, L. L., Jardine, M., & Donati, J.-F. 2000, MNRAS, 318, 1171 [NASA ADS] [CrossRef]
- Lang, K. R., & Willson, R. F. 1988, ApJ, 328, 610 [NASA ADS] [CrossRef] (In the text)
- Lanza, A. F., Catalano, S., Cutispoto, G., Pagano, I., & Rodonò, M. 1998, A&A, 332, 541 [NASA ADS]
- Lanza, A. F., Piluso, N., Rodonò, M., Messina, S., & Cutispoto, G. 2006, A&A, 455, 595 [NASA ADS] [CrossRef] [EDP Sciences]
- Linsky, J. L., Neff, J. E., Brown, A., et al. 1989, A&A, 211, 173 [NASA ADS] (In the text)
- Massa, D., & Fitzpatrick, E. L. 2000, ApJS, 126, 517 [NASA ADS] [CrossRef] (In the text)
- Messina, S. 2008, A&A, 480, 495 [NASA ADS] [CrossRef] [EDP Sciences] (In the text)
- Montes, D., Fernández-Figueroa, M. J., De Castro, E., et al. 2000, A&AS, 146, 103 [NASA ADS] [CrossRef] [EDP Sciences]
- Neff, J. E. 1995, The Spatially-Resolved Structure of the V711 Tau Stellar Environment, Tech. rep. (In the text)
- Pagano, I., Rodonò, M., Linsky, J. L., et al. 2001, A&A, 365, 128 [NASA ADS] [CrossRef] [EDP Sciences]
- Perryman, M. A. C., Lindegren, L., Kovalevsky, J., et al. 1997, A&A, 323, L49 (In the text)
- Press, W. H., Teukolsky, S. A., Vetterling, W. T., & Flannery, B. P. 1992, Numerical recipes in FORTRAN, The art of scientific computing, 2nd edn. (Cambridge: University Press) (In the text)
- Rodonò, M., Cutispoto, G., Pazzani, V., et al. 1986, A&A, 165, 135 [NASA ADS]
- Rodonò, M., Messina, S., Lanza, A. F., Cutispoto, G., & Teriaca, L. 2000, A&A, 358, 624 [NASA ADS] (In the text)
- Sanz-Forcada, J., Brickhouse, N. S., & Dupree, A. K. 2002, ApJ, 570, 799 [NASA ADS] [CrossRef] (In the text)
- Scargle, J. D. 1982, ApJ, 263, 835 [NASA ADS] [CrossRef] (In the text)
- Schrijver, C. J., Dobson, A. K., & Radick, R. R. 1992, A&A, 258, 432 [NASA ADS] (In the text)
- Simon, T., Linsky, J. L., & Schiffer, III, F. H. 1980, ApJ, 239, 911 [NASA ADS] [CrossRef] (In the text)
- Strassmeier, K. G., Hall, D. S., Fekel, F. C., & Scheck, M. 1993, A&AS, 100, 173 [NASA ADS]
- Vogt, S. S., & Hatzes, A. P. 1991, in The Sun and Cool Stars. Activity, Magnetism, Dynamos, ed. I. Tuominen, D. Moss, & G. Rüdiger (Berlin: Springer Verlag), Lecture Notes in Physics, 380, IAU Colloq., 130, 297 (In the text)
- Walter, F. M., Neff, J. E., Gibson, D. M., et al. 1987, A&A, 186, 241 [NASA ADS]
All Tables
Table 1: Stars used in the Mg II - and the index S calibration.
Table 2: Long and short term variability records of the RS CVn-type stars most observed by IUE.
All Figures
| |
Figure 1:
S vs.
|
| Open with DEXTER | |
| In the text | |
![]() |
Figure 2: IUE low-resolution spectra of three representative stars: HD 22 049 (K2V), HD 1835 (G3V) and HD 1581 (F9V). Surface flux is obtained according to Eq. (1). The windows used to integrate the line-core emission (2790-2810 Å) are marked on each spectrum. |
| Open with DEXTER | |
| In the text | |
![]() |
Figure 3: IUE low-dispersion (dashed line) and rebinned (solid line) spectra of HD 22 049, both observed on January, 14 th 1984 with a time difference of 1 h. |
| Open with DEXTER | |
| In the text | |
| |
Figure 4:
S vs.
|
| Open with DEXTER | |
| In the text | |
![]() |
Figure 5: HD 22 468-V711 Tau-HR 1099. Mg II k line fitted with two Gaussian functions, the dashed and solid curves represent the contribution of the primary and secondary star of the system respectively. |
| Open with DEXTER | |
| In the text | |
| |
Figure 6:
HD 22 468 - V711 Tau - HR 1099. We indicate the Mount Wilson index Sobtained from the IUE high and low-resolution spectra with triangles
( |
| Open with DEXTER | |
| In the text | |
| |
Figure 7: HD 22 468 - V711 Tau - HR 1099. Three flares on 1981, Oct. 3rd; 1992, Dec. 14th and 1994, Aug. 24th. |
| Open with DEXTER | |
| In the text | |
| |
Figure 8:
HD 22 468 - V711 Tau - HR 1099. Left: Lomb-Scargle periodogram of the mean annual
|
| Open with DEXTER | |
| In the text | |
![]() |
Figure 9:
Variability on HD 22 468 - V711 Tau - HR 1099. Light curves S vs. |
| Open with DEXTER | |
| In the text | |
| |
Figure 10: HD 21 242 - UX Ari. Symbols as in Fig. 6. |
| Open with DEXTER | |
| In the text | |
![]() |
Figure 11:
HD 21 242 - UX Ari. Left: Lomb-Scargle periodogram of the mean annual
|
| Open with DEXTER | |
| In the text | |
![]() |
Figure 12: Histogram of the detected periods (with maximum significance) for sample of 1000 different sets the sunspot number re-scaled to 25 years. |
| Open with DEXTER | |
| In the text | |
| |
Figure 13: HD 224 085 - II Peg. Symbols as in Fig. 6. |
| Open with DEXTER | |
| In the text | |
| |
Figure 14:
HD 224 085 - II Peg. Left: Lomb-Scargle periodogram of the mean annual
|
| Open with DEXTER | |
| In the text | |
![]() |
Figure 15: Histogram of the detected periods for a sample of 1000 different sets of sunspots number re-sampled with a period of 12 years. |
| Open with DEXTER | |
| In the text | |
![]() |
Figure 16:
Variability on HD 224 085- II Peg. Light curves S vs. |
| Open with DEXTER | |
| In the text | |
Copyright ESO 2009
Current usage metrics show cumulative count of Article Views (full-text article views including HTML views, PDF and ePub downloads, according to the available data) and Abstracts Views on Vision4Press platform.
Data correspond to usage on the plateform after 2015. The current usage metrics is available 48-96 hours after online publication and is updated daily on week days.
Initial download of the metrics may take a while.
![\begin{figure}
\par\includegraphics[width=8.5cm]{0985fig2.eps}
\end{figure}](/articles/aa/full_html/2009/07/aa10985-08/Timg29.gif)
![\begin{figure}
\par\includegraphics[width=8cm]{0985fig3.eps}
\end{figure}](/articles/aa/full_html/2009/07/aa10985-08/Timg32.gif)


![\begin{figure}
\par\includegraphics[width=8.2cm]{0985fig5.eps}
\end{figure}](/articles/aa/full_html/2009/07/aa10985-08/Timg52.gif)
![\begin{figure}
\par\includegraphics[width=8.5cm]{0985fig12.eps}
\end{figure}](/articles/aa/full_html/2009/07/aa10985-08/Timg67.gif)
![\begin{figure}
\par\subfigure[]{\includegraphics[width=4.5cm]{0985fig14.eps} }\hfill
\subfigure[]{\includegraphics[width=4.3cm]{0985fig15.eps} }\end{figure}](/articles/aa/full_html/2009/07/aa10985-08/Timg71.gif)
![\begin{figure}
\par\includegraphics[width=8.3cm]{0985fig16.eps}
\end{figure}](/articles/aa/full_html/2009/07/aa10985-08/Timg73.gif)
![\begin{figure}
\par\includegraphics[width=8.3cm]{0985fig20.eps}
\end{figure}](/articles/aa/full_html/2009/07/aa10985-08/Timg79.gif)
![\begin{figure}
\par\includegraphics[width=8.3cm]{0985fig21.eps}\small { }
\end{figure}](/articles/aa/full_html/2009/07/aa10985-08/Timg81.gif)