| Issue |
A&A
Volume 495, Number 1, February III 2009
|
|
|---|---|---|
| Page(s) | 257 - 270 | |
| Section | Stellar structure and evolution | |
| DOI | https://doi.org/10.1051/0004-6361:200811014 | |
| Published online | 22 December 2008 | |
A&A 495, 257-270 (2009)
Properties of WNh stars in the Small Magellanic Cloud: evidence for homogeneous evolution![[*]](/icons/foot_motif.gif)
F. Martins1 - D. J. Hillier2 - J. C. Bouret3 - E. Depagne4 - C. Foellmi5 - S. Marchenko6 - A. F. Moffat7
1 - GRAAL - CNRS, Université Montpellier II - UMR 5024, Place Eugène Bataillon, 34095 Montpellier Cedex 05, France
2 -
Department of Physics and Astronomy, University of Pittsburgh, 3941 O'Hara street, Pittsburgh, PA 15260, USA
3 -
LAM - CNRS, Université de Provence - UMR 6110, 38 rue Frédéric Joliot-Curie, 13388 Marseille Cedex 13, France
4 -
Las Cumbres Observatory, 6740 Cortona Dr, suite 102, 93117 Goleta, CA, USA
5 -
LAOG - CNRS, Observatoire de Grenoble, Université Joseph Fourier - UMR 5571, BP 53, 38041, Grenoble Cedex 9, France
6 -
Department of Physics and Astronomy, Western Kentucky University, Bowling Green, KY, USA
7 -
Département de Physique, Université de Montréal, succursalle Centre-ville, Montréal, QC H3C 3J7, Canada
Received 22 September 2008 / Accepted 13 November 2008
Abstract
Aims. We aim to assess the nature of three WNh stars in the SMC, to constrain stellar evolution beyond the main sequence at low metallicity, and to investigate the metallicity dependence of the clumping properties of massive stars.
Methods. We compute atmosphere models to derive the stellar and wind properties of the three WNh targets. A FUV/UV/optical/near-infrared analysis gives access to temperatures, luminosities, mass loss rates, terminal velocities and stellar abundances.
Results. We find that all stars still have a large hydrogen mass fraction in their atmosphere, and show clear signs of CNO processing in their surface abundances. One of the targets can be accounted for by normal stellar evolution. It is a star with an initial mass around 40-50 M_
in, or close to, the core He burning phase. The other two objects likely follow a peculiar evolution, governed by fast rotation. In particular, one object is likely evolving homogeneously due to its position blue-ward of the main sequence and its high H mass fraction. The clumping factor of one star is found to be
.
This is comparable to values found for Galactic Wolf-Rayet stars, indicating that within the uncertainties, the clumping factor does not seem to depend on metallicity.
Key words: stars: Wolf-Rayet - stars: evolution - stars: atmospheres - stars: wind, outflows - Magellanic Clouds
1 Introduction
Massive stars have gained considerable interest in the last years in various fields of astrophysics. In addition to being well recognized actors in Galactic astronomy (HII regions, bubbles, ISM dynamics and winds, triggered star formation, chemical enrichment) their role in extragalactic physics has considerably grown. Massive stars are known to govern starburst events locally and at high redshift (e.g. Steidel et al. 1996), being responsible for outflows (Veilleux et al. 2005) and intense episodes of star formation in luminous infrared galaxies (Genzel et al. 1998). The association of some GRBs with core collapse supernovae (Galama et al. 1998; Hjorth et al. 2003) make fast rotating massive stars the likely progenitors of GRBs (Woosley 1993). However, the conditions under which a massive star will actually end up in such an event are still poorly known. Fast rotation is of course a key parameter, but the way the star loses angular momentum, and thus its mass loss history, is equally important. With mass loss decreasing at lower metallicity, GRBs are thought to occur in low Z environments. Observations of GRB hosts tend to confirm this expectation (Prochaska et al. 2004). However, the existence of an upper metallicity limit for the formation of GRBs is not established. Massive stars are also thought to be responsible for the re-ionization of the Universe at very high redshift (e.g. Schaerer et al. 2002, and references therein). Indeed, the first (population III) stars may have been very massive objects with very high effective temperatures due to their metal-free composition (Nakamura & Umemura 1999; Bromm et al. 1999).
In spite of this growing importance of massive stars, their evolution is not fully understood even in the local Universe. It is not clear at present what phases a star of a given initial mass will go through during its life. For example, the initial conditions for a star to enter the red supergiant or luminous blue variable stages are poorly known. Similarly, the evolutionary connections between various types of Wolf-Rayet stars are poorly constrained. These difficulties result from two facts. The first one is that massive star evolution is governed by mass loss, and our knowledge of mass loss rates through the upper part of the HR diagram is still patchy. The second problem is due to rotation: stars with similar initial masses but different rotational velocities will follow different paths in the HR diagram, and thus will evolve through different states (Meynet & Maeder 2000). These two ingredients (mass loss and rotation) are the keys to massive star evolution. An additional complication occurs because both of the above factors depend on metallicity: stars lose less mass at low metallicity (Puls et al. 2000), and at the same time they rotate faster (Martayan et al. 2007). Consequently, it is not only crucial to know the mass loss and rotation of all types of massive stars, but it is also important to constrain their metallicity dependence. Recent results indicate a
behavior for O stars (Mokiem et al. 2007b). Theoretical predictions and observational constraints also exist for various types of Wolf-Rayet stars (Gräfener & Hamann 2008; Vink & de Koter 2005; Crowther et al. 2002a). A rather clear picture of the relative strength of stellar winds at different metallicities is thus emerging. But the question of their absolute strength is not settled. The reason is clumping.
There is now no doubt that massive-star winds are not homogeneous. Evidence comes from both indirect and direct tracers. The former comprise electron scattering wings of emission lines (Hillier 1991), too-weak observed UV line profiles (Fullerton et al. 2006; Crowther et al. 2002b; Hillier et al. 2003; Massa et al. 2003; Bouret et al. 2005,2003), shapes of X-ray lines (Oskinova et al. 2004), submm excess in continuum emission (Blomme et al. 2002) and linear-polarization continuum variations (St.-Louis et al. 1993). Direct indications are the observations of global moving substructures in emission-line profiles (Eversberg et al. 1998; Lépine & Moffat 2008,1999). Clumping affects the mass-loss determination of massive stars because it changes the density, which in turn modifies the shape of wind lines. In practice, clumping is usually quantified by means of a filling factor f. For a given f, recombination lines will be fitted, to first order, with a mass loss rate approximately
times lower compared to a homogeneous atmosphere model. Knowledge of the clumping properties of massive-star winds is thus a key to the quantitative understanding of massive star evolution.
Studies of Galactic stars indicate f factors ranging from 0.01 to 0.2 (Hillier et al. 2001; Fullerton et al. 2006; Bouret et al. 2005; Hamann & Koesterke 1998). Such factors may not be constant throughout the wind of a massive star (Puls et al. 2006). In addition, if inhomogeneities are due to line driving instabilities (Runacres & Owocki 2002), a metallicity dependence can be expected. It is however not constrained at present. A first step in this direction was made by Marchenko et al. (2007, hereafter Paper I). In this study, the dynamical properties of clumps directly observed in emission lines of three SMC WR stars were found to be very similar to those of Galactic objects.
In the present study, we analyze the three stars observed in Paper I by means of atmosphere models. We constrain the stellar and wind properties, which help us understand their evolutionary status. Being located in the SMC, these stars give us a clearer picture of stellar evolution beyond the main sequence in a low metallicity environment. We find that evolution at very high rotational rates is most likely at work, as suspected for the formation of GRBs. In addition, one can pinpoint the value of the clumping factor f for one star, showing no systematic difference to values found for Galactic stars.
We briefly review the observational material in Sect. 2 before explaining the modelling technique in Sect. 3. We then present the results for each star in Sect. 4 and discuss them in Sect. 5. Section 6 summarizes our conclusions.
2 Spectroscopic data
The three stars analyzed here (SMC-WR1, SMC-WR2, SMC-WR4) were observed with the UV-Visual Echelle Spectrograph (UVES) on VLT/UT2 at ESO. Observations were conducted on August 27, 28th 2006. The region between 3930-6030 was targeted. A slit width of 1.5
was used and observations were conducted with an airmass varying between 1.5 and 2.7, and a seeing fluctuating between 0.8 and 2
.
The data were reduced using the ESO UVES pipeline. The reduction process
includes bias and inter-order background subtraction for both the objects
frames and the flat-fields calibration images, optimal extraction of the
objects (that includes removing skylines and cosmic ray rejection), division by
a flat-field extracted with the same weighed profile as the object,
wavelength calibration and merging of all overlapping orders after a
rebinning to a constant wavelength. No spectrophotometric standard was observed, so our spectra are not flux calibrated. The final spectra have a resolving power of
20 000 and a signal to noise ratio between 120 and 160. More details about the observations and data reduction can be found in Marchenko et al. (2007). The spectra we use in the following are the combination of all spectra obtained during the observing run.
We have also used the weighted mean spectra covering the H
region presented by Foellmi et al. (2003). They have a low resolution (
)
and result from observations with various telescopes and spectrographs (see details in Table 2 of Foellmi et al. 2003). These spectra are not flux calibrated.
In addition to the optical spectra, we used archival IUE data for stars SMC-WR2 and SMC-WR4 (spectra SWP7026 and a weighted mean - according to exposure time - of SWP06195 and SWP10727 respectively). They were taken in the low resolution mode (
)
of the instrument. Two high resolution spectra exist for SMC-WR4, but their S/N is low and they clearly suffer from reduction artifacts (e.g. oscillating continuum). For those two stars we also retrieved FUSE archival data (spectra G036101000 and G03900301000). They have a resolving power of about 20 000.
Finally, ESO-SOFI spectra of the sample stars covering the J and H band (also K-band for SMC-WR4) were used. The data on SMC-WR4 were presented by Crowther (2000). For SMC-WR1 and SMC-WR2, we used unpublished data kindly provided by Paul Crowther. They were obtained in November 2003 (only SMC-WR1) and November 2004 (SMC-WR1 and SMC-WR2) with a 0.6
slit. Their resolution is
500 and they are not flux calibrated. They were reduced following the same procedure as described in Crowther (2000).
3 Modelling
The stellar and wind properties of the stars analyzed here have been derived using non-LTE, line blanketed models including winds. The models have been computed with the code CMFGEN. A detailed description of the code is given in Hillier & Miller (1998). Here, we recall only a few points relevant for the understanding of the present study.
Line-blanketing: a super-level approximation is used to allow the inclusion of a large number of atomic levels from various elements. In our models, H, He, C, N, O, Ne, P, Si, S, Fe, Ni have been included. In total, the populations of
1150 levels and
3500 super-levels were calculated through the resolution of the statistical equilibrium equations. A constant microturbulent velocity (20 km s-1) was adopted for the calculation of the atmospheric structure. For the formal solution of the transfer equation leading to the emergent spectrum, a microturbulent velocity ranging from 10-50 km s-1 (depending on the star) to 0.1
from bottom to top of the atmosphere was chosen. Stellar abundances were chosen to be 1/5th solar (Grevesse & Sauval 1998).
Clumping: CMFGEN allows the inclusion of clumping with the following formalism. A volume filling factor f is assumed to vary monotonically with depth, starting from a value of 1 at the photosphere and reaching a maximum value
at the outer boundary of the atmosphere. In practice, f is parametrized as a function of the local wind velocity v
where
Density structure: until recently a major problem with the analysis of W-R stars was that the density structure had to be specified using an assumed velocity law. However work by Gräfener & Hamann (2008,2005) have allowed velocity laws (and mass loss rates) to be derived for some W-R stars using a formulation of radiation driving applicable to optically thick winds. A significant limitation of the work is that the volume filling factor f, and its variation with radius, must be assumed since as we have seen clumping properties are still poorly constrained.
Unfortunately, CMFGEN is not yet able to self-consistently compute the velocity law. It still assumes some analytical expression above (approximately) the sonic point: the so-called
velocity law is connected to the photospheric structure. Below the sonic point, a photospheric structure is either parametrized by a scale height formalism (Hillier & Miller 1998) or is taken from alternative atmosphere models, usually TLUSTY (Lanz & Hubeny 2003). In the present analysis, we have improved this formalism. We now require that hydrostatic equilibrium is satisfied below the sonic point. In practice, we proceeded as follows. We first started with a photospheric TLUSTY structure connected to a
velocity law. With this structure, we started to converge the models. After a few iterations (usually 10-15), the predicted level populations were used to compute the radiative acceleration. This acceleration was subsequently injected in the hydrostatic equilibrium equation from which an altered density structure was derived at depth, below the sonic point. This ensures a higher degree of consistency between the hydrodynamic and atmospheric structures. Above V(sonic)/2, we adopted the usual beta velocity law formulation (see below). With this revised structure, the models were converged for another 10-15 iterations before another modification of the photospheric structure was performed. We ran 3-4 of these structure iterations before converging the atmosphere models.
In practice, the main inconsistency in the final density structure (lack of radiative acceleration) was found around the sonic point. This reflects the fact that we are specifying the wind velocity law rather than deriving it, that the critical point is close to the sonic point, and that the disagreement depends on the clumping law adopted.
With these models, we have constrained the main stellar and wind parameters using the following procedure:
- Temperature. As usual for Wolf-Rayet stars, we have derived both an effective temperature representing the radiation flux at a Rosseland optical depth of 2/3, and a temperature T* at
.
Both values can be significantly different in the case of a very dense wind for which
/3 is reached in a region where the atmosphere is no longer static. In practice, the temperature of the model was adjusted to correctly reproduce the relative strength of N III
4635,4641, N III
4510,4515, N IV
4058, N V
4604,4620 and N V
4944 (when present). Infrared He lines - He I
1.08 m
m, He II
1.17 m
m - were also used and usually gave consistent results (see Sect. 4) . In addition for one star (SMC-WR4) we could use the classical He I/He II optical line ratio since the optical He I lines were strong enough. We estimate the uncertainty on the derived temperatures to be of the order of 3000 K for SMC-WR2 and SMC-WR4, 7000 K for SMC-WR1 (for which N III is not present and N IV is weak).
- Luminosity and extinction. For stars SMC-WR2 and SMC-WR4, the luminosity and local extinction was determined from the fit of the SED. The IUE (flux calibrated) spectra have been used in conjunction with optical photometry (our optical spectra are not flux calibrated) to adjust the stellar luminosity and extinction. Table 1 summarizes the photometric data for each star. FUSE data were not used since 1) the extinction laws in the far-UV are not well constrained and 2) the IUE and FUSE spectra did not show the same flux level in the region around 1200 Å (especially for SMC-WR2), pointing to an uncertainty in the flux calibration (either for FUSE or IUE data). Given point 1, we relied preferentially on IUE spectra. Infrared data were not used since the extinction law in the near-IR is not constrained for the SMC. The Galactic (SMC) extinctions laws of Seaton (1979) and Howarth (1983) (Bouchet et al. 1985) were used. The SMC extinction is stronger than the Galactic one in the UV (they are similar in the optical), so that using both IUE and optical data helped constrain the local, SMC extinction and the foreground, Galactic E(B-V). A distance modulus of 19.0 (corresponding to a distance of 63.2 kpc) was assumed. This value was reported by di Benedetto (1997) and is intermediate between low values (18.80) and high (19.20) values reported in the literature (Keller & Wood 2006; Groenewegen 2000; Cole 1998; Harries et al. 2003; Caputo et al. 1999; Hilditch et al. 2005). For star SMC-WR1, in the absence of (F)UV data, we only used the absolute V magnitude.
From the observed B-V and the theoretical value expected for hot massive stars (
(B-V)0=-0.28, see Martins & Plez 2006) we derive
E(B-V)=0.24 which, together with an assumed distance modulus of 19.0, implies
MV=-4.57. We adjusted the luminosity to reproduce this value.
Table 1: Photometry of the target stars from Massey & Duffy (2001) together with the derived extinction.
Table 2: Parameters of our best fit models. Uncertainties are: 3 kK (7 kK for SMC-WR1) on temperatures, 0.1 dex on luminosities (0.15 for SMC-WR1), 0.2 dex on
,
100 km s-1 on
,
0.05 on He/H, 30 to 50
on abundances. ![\begin{figure}
\par\includegraphics[width=8cm,clip]{11014f1a.eps}\hspace*{4mm}
\includegraphics[width=8cm,clip]{11014f1b.eps}
\end{figure}](/articles/aa/full_html/2009/07/aa11014-08/Timg41.gif)
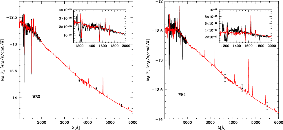
Figure 1: SED fitting for SMC-WR2 (left panel) and SMC-WR4 ( right panel). The IUE spectra are reported as well as the fluxes in the UBV bands. E(B-V)=0.03+0.08 (Galactic + SMC) and 0.04+0.10 are required for SMC-WR2 and SMC-WR4 respectively. A distance of 63.2 kpc is assumed (di Benedetto 1997). This SED fitting yields the luminosities:
for SMC-WR2,
for SMC-WR4.Open with DEXTER
- Abundances. The ratio of He to H was constrained from the relative strength of the optical He II lines (especially those at 4686 and 5412 Å) to the Balmer lines (mainly H
,
H
and H
). The carbon abundance was obtained from C IV
5801, 5812 and, to a lesser extent, from C IV
1548, 1551. The nitrogen content was derived from the same lines used to constrain the temperature. Note that the latter depends on the relative strength of those lines, while the N abundance affects the absolute strength of the lines. In addition, N IV
1486 and N IV
1720 were also use as a secondary indicator. O V
5597 and O V
5604 are used to provide upper limits on the oxygen content.
- Mass loss rate and terminal velocity.
was derived from the numerous emission and P-Cygni lines present throughout the (F)UV and optical spectrum. We used the blue-ward velocity edge of the absorption part of P-Cygni profiles to derive
.
- Velocity field. The slope of the velocity field (described by the so-called
parameter) was derived from the shape of the He II 4686 emission profile. This profile reacts to a combination of change of density due to a different velocity field and to the subsequent change of formation depth of the line implied by the modified atmospheric density structure. In practice, a narrower, more peaked profile results from a larger
.
This is somewhat different from the usual behavior encountered among O stars. The difference is due to the higher wind density affecting the line formation depth in WR stars, while for O stars it is not significantly changed.
- Clumping. The clumping factor
was constrained from the strength of the electron scattering wing of He II
4686. As shown by Hillier (1991), this part of the spectrum is especially sensitive to the degree of homogeneity in the star's atmosphere: more structured winds lead to weaker electron scattering wings. This method was already used by Crowther (2000) for the study of the star SMC-WR4.
4 Results
The results of our analysis in terms of derived parameters are summarized in Table 2. In the following, we briefly comment on the analysis of each individual star.
![]() |
Figure 2: He ( left) and CN ( right) abundance determination for SMC-WR4. The black solid line is the observed spectrum, the interrupted colored lines are models with different He/H (C/H, N/H) ratios. |
| Open with DEXTER | |
![]() |
Figure 3:
Determination of clumping parameter
|
| Open with DEXTER | |
4.1 SMC-WR4
The fit of the SED is shown in Fig. 1. The error bars on the optical data reflect the dispersion of measured V magnitudes found in the literature. A luminosity of
is derived. The best fit of the normalized spectra of SMC-WR4 is shown in Fig. A.1. The only major difficulty concerns the emission line red-ward of N V
4604, which is not reproduced. But overall, the fit is of excellent quality. An effective temperature of 42 000 K gives the best fit of the optical N lines. Slightly lower values (
41 000 K) are preferred for the near-IR He lines (especially He I
1.08 m
m), still consistent with the N line results within the uncertainties. This difference can be explained if the star's spectrum shows variability. Indeed, the near-IR and optical data have been obtained at different epochs. Since the star shows line profile variability (see Paper I), simultaneous optical/infrared observations are needed to investigate this discrepancy. The simplified approach to treat clumping might also affect the detailed line profiles. For the FUV interstellar absorption, we found that HI (resp. H2) column densities of 1022.0 cm-2 (resp. 1019.7) gave reasonable results. Individual abundances for He, C, N and O (upper limit) were derived from our analysis. Their determination is illustrated in Figs. 2. A medium degree of He enrichment is detected in SMC-WR4, together with a rather strong N overabundance and a carbon depletion. The typical uncertainties on these abundance determinations are of the order 30 to 50
,
as seen from Fig. 2
. Finally the mass loss rate determination gives a value of
M_
.
Strong optical emission lines would require slightly higher values of the order 10-5 M_
,
while near-IR H and He lines tend to indicate slightly lower values (
M_
).
.
The left panel of Fig. 3 shows various models with different clumping parameters (
ranging from 0.01 to 0.5). For each model, the mass-loss rate is scaled to properly account for the emission of He II
4686. One clearly sees that the strength of the red electron scattering wing of the line depends on the amount of structure in the wind. From this feature, we see that a model with
best represents the observed profile. For a more quantitative statement, we have estimated the goodness of the fit of this red wing by means of a
analysis of the region between 4702 and 4730 Å. The results are shown in Fig. 3, right panel. A value of
is preferred.
SMC-WR4 was studied by Crowther (2000) in the optical and near infrared, using CMFGEN. The parameters we obtain are very close to his. The only notable difference is the slightly larger luminosity we derive, although within the error bars the agreement is acceptable. The difference comes from the different distances to the SMC that were adopted: we use 63.2 kpc while Crowther (2000) assumes a distance of 60.2 kpc. Using his distance, we would derive a luminosity of
,
in good agreement with Crowther's result. We note that Crowther's fit also showed the problem reported for the mass loss rate determination: near-IR lines tend to indicate lower
than optical lines.
4.2 SMC-WR2
The fit of the SED of SMC-WR2 is shown in Fig. 1. The error bars on the optical data reflect the dispersion of measured V magnitudes. We derive a luminosity of
.
Figure A.2 shows our best fit of the normalized spectra. The overall quality of the fit is as good as for SMC-WR4. HI and H2 interstellar absorption lines have been added in the FUSE range with the following column densities: 1021.7 cm-2 for HI and 1019.3 cm-2 for H2. The optical N lines indicate an effective temperature of
42 500 K. We note that with this T_eff
the He I
1.08 m
m line is underpredicted. Obtaining a stronger emission requires a reduction of T_eff
by
5000 K. But in that case the optical spectrum is no longer reproduced: the N V lines vanish completely, N IV
4058 Å is strongly reduced and the N III lines become much too strong. The same explanation as for SMC-WR4 could be invoked. Clearly, coordinated multiwavelength observations (as will be soon possible with instruments such as VLT/X-Shooter) are necessary to solve this issue. One can also note that the S/N ratio of the near-IR data is lower than for the optical data, increasing the uncertainty on the temperature determination from NIR lines. Abundance determinations were performed as for SMC-WR4. Only a small He enrichment is required to fit the He and H lines of the spectrum. However, evidence for CNO processing comes from the existence of a C depletion and a N overabundance. We note that both optical and near-IR emission lines are well reproduced by a single value of the mass loss rate.
![]() |
Figure 4:
Determination of the He to H ratio for star SMC-WR1. The observed spectrum is the black solid line. The mass loss rates of the models with different He/H ratios were adjusted to give a correct fit of the He II |
| Open with DEXTER | |
Unlike in SMC-WR4, He II
4686 is a rather weak emission line. Consequently, its red wing is more sensitive to details of the data reduction and normalization. We have attempted to derive the clumping factor
as for SMC-WR4, but it turned out that no conclusions could be drawn due to these observational uncertainties. In particular, the exact position of the continuum is uncertain due to residuals of the flat field correction and to imperfect order merging. Other classical clumping indicators are found in the FUV-UV range. O V
1371 and N IV
1720 have been shown to depend on the degree of inhomogeneities (e.g. Bouret et al. 2005). However, the IUE spectra of SMC-WR2 have a too low spectral resolution and these lines cannot be used. In the FUSE range, P V
1118, 1128 are known to depend on the amount of clumping. Fullerton et al. (2006) showed that very low filling factors were necessary to account for the strength of this doublet, while Crowther et al. (2002a) and Hillier et al. (2003) obtained satisfactory fits with
.
Fullerton et al. (2006) highlighted the high sensitivity of this doublet to the ionization structure, which can be influenced by shocks and X-rays. This effect is probably reduced in dense WR star winds compared to O stars, but might still be present. Besides, Oskinova et al. (2007) revealed that depending on what type of clumping was present (micro vs. macro-clumping) the line profiles had different shapes. Finally, Crowther et al. (2002a) showed that the phosphorus abundance strongly influenced the shape of this unsaturated line. Given these multiple dependencies, we refrained from using P V
1118, 1128 as a clumping diagnostic in the present study. We simply adopted
for SMC-WR2.
4.3 SMC-WR1
Unfortunately, only optical and near-IR spectra are available for SMC-WR1. The analysis is thus more limited than for the two other stars. In particular, in the absence of UV P-Cygni lines, we adopted a terminal velocity of 1800 km s-1 which turned out to give an excellent fit of the optical emission lines. The uncertainty on T_eff
(and consequently on L) is greater for this star since only a limited number of lines from successive ionization states is available. In particular, although several N V lines are used, the only N IV line (at 4058 Å) is very weak. It can be used to place a lower limit on T_eff
.
The upper limit comes from the shape of the N V
4604,4620 lines which become narrower and weaker at too high effective temperature. In practice, the uncertainty on T_eff
is
7000 K. This translates into an uncertainty on LL_
of 0.15 dex. In spite of these increased uncertainties, we were able to derive a number of stellar and wind parameters. Figure A.3 shows our best fit. Overall, the quality is good: optical and near-IR lines can be reproduced with a single set of stellar and wind parameters. The He II lines of the Brackett series are slightly too deep and narrow. A change of
does not help since it degrades the fit of He II
4686. Similarly, increasing
broadens too much the other emission lines. He II
5412 is slightly underestimated. Improving its fit by increasing
,
T_eff
or He/H alters the fits of all other lines. Presumably, remaining uncertainties in the density structure are responsible for this discrepancy.
Like SMC-WR2 and SMC-WR4, SMC-WR1 is slightly He enriched and strongly N rich. Figure 4 illustrates our He/H determination. As we will see later, this quantity is especially important to understand the evolution of SMC-WR1. From the weakness of C IV and O V lines in the red optical spectrum, one can put upper limits on the C and O content (see Table 2), indicating depletion of these two elements. As for SMC-WR2, He II
4686 is not strong enough to allow a correct clumping factor determination. We adopted
.
5 Discussion
In the next sections, we first comment on our results on the clumping factor of SMC-WR4 in the context of a metallicity dependence of clumping properties. We then move to the interpretation of the evolutionary status of the three WNh stars analyzed in the present study.
5.1 Winds and clumping
![]() |
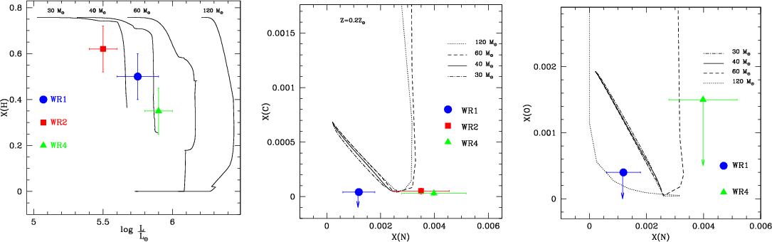
Figure 5: Evolutionary status from chemical composition. Left: hydrogen mass fraction as a function of Luminosity. Middle: carbon mass fraction as a function of nitrogen mass fraction for stars SMC-WR2 and SMC-WR4. Right: O mass fraction as a function of N mass fraction from evolutionary tracks (lines) and as derived for star SMC-WR1. The three stars are still rather H rich, but already show signs of CNO processing. Evolutionary tracks are from Meynet & Maeder (2005) and have an initial rotational velocity of 300 km s-1. |
| Open with DEXTER | |
Studies of Galactic WR stars were the first to reveal that clumping was present in massive-star winds (e.g. Moffat et al. 1988; St-Louis et al. 1989). Quantitative determinations of clumping factors were carried out by various groups using different atmosphere codes. Hamann & Koesterke (1998) analyzed three WN (one WN5, one WN6 and one WN8) stars and one WC star and found that a clumping filling-factor of 0.25 was best suited for WN stars, although 0.06 was still compatible within the uncertainties. The latter value was best for the WC star. Similarly, Schmutz (1997) found that
led to a good fit of the emission lines of the WN4 star HD50896. Hillier & Miller (1999) found that
was best suited to fit the UV-optical-IR spectrum of a Galactic WC5 star. Hillier et al. (2001) carried out an extensive study of the spectra of
Car and found that a clumping factor of
0.1 better fitted the electron scattering wings of both H and HeI lines compared to
0.2-0.3. Herald et al. (2001) analyzed two Galactic WN8 stars and concluded that
0.05 < f < 0.2 from the same diagnostics. Crowther et al. (2006,2002a) analyzed WC stars in the LMC and the Galaxy and found that
was preferred compared to 1.0 and 0.01. However, no other intermediate values were tested. Najarro et al. (2004) found
values between 0.08 and 0.15 for five WNLh stars in the Arches cluster. Hence, a value of 0.1-0.2 seems to be common among Galactic WR stars and related, post main sequence objects.
For SMC-WR4, we have shown that
was definitely between 0.10 and 0.20 (see Fig. 3). Keeping in mind that we are dealing with a single measurement for the SMC, it looks as if there is no difference between the low metallicity environment of the SMC and the Galaxy in terms of clumping factor. Or more accurately, if there is any variation, it is not larger than
0.1, which is the uncertainty of current determinations. This is consistent with the results of Paper I.
From a theoretical point of view, the hydrodynamical simulations of Owocki et al. (1988), Runacres & Owocki (2002) and Runacres & Owocki (2005) show that instabilities grow at a rate proportional to
,
the line radiative acceleration. The radiative acceleration
scales with
(see Eqs. (12) and (79) of Puls et al. 2000),
being the classical CAK parameter. But
also depends on
,
and since
(the density) is directly proportional to
,
which in turn scales roughly as
(Eq. (87) of Puls et al. 2000), all Z effects cancel out. In this context, no metallicity effects are expected if clumping is driven by radiative linear instabilities. Alternatively, Gayley & Owocki (1995) have shown that in the case of multiple scattering, line overlap leads to a reduction of the linear instability growth rate. Presumably, lowering the metallicity would reduce this overlap and produce an enhanced growth rate (Owocki, priv. comm.). In that case, clumping might be stronger at low Z. This is however still widely speculative, and future hydrodynamical simulations, including non linear effects, will certainly shed more light on this issue.
![]() |
Figure 6:
HR diagram with the three sample stars. Evolutionary tracks are from Meynet & Maeder (2005), the left panel being for Z=0.2 Z_ |
| Open with DEXTER | |
5.2 Evolutionary status
We have shown that the three WNh stars analyzed are slightly He rich, strongly N rich, and C (and O for SMC-WR1 and SMC-WR4) poor. This qualitatively indicates that they are massive stars in an early phase of their post-MS evolution. The large quantity of H still present in their atmosphere shows that they are still H-burning objects, or that they have entered the core He-burning phase very recently. This is confirmed by the position of the stars in a diagram showing the H mass fraction as a function of luminosity (Fig. 5, left): one sees that the three stars are located in the early parts of evolutionary tracks, still far away from classical H-free WR stars. In this diagram, all stars can in principle be accounted for by evolutionary tracks. This was not the case in the earlier study of SMC-WR4 by Crowther (2000): he found that SMC-WR4 was underluminous by roughly 50
compared to the closest track of Meynet et al. (1994). Crowther concluded that stellar evolutionary tracks were probably missing an important ingredient. This ingredient was stellar rotation, which is included in the evolutionary tracks of Meynet & Maeder (2005) used in Fig. 5 (the initial rotational velocity in these tracks is 300 km s-1). From this diagram, one can estimate the initial masses of our program stars by interpolating between existing tracks (at
). The results are given in the first column of Table 3: masses range from about 25 M_
(SMC-WR2) to about 40 M_
(SMC-WR4, SMC-WR1). The errors take into account the uncertainties on T_eff
and LL_
.
The middle panel of Fig. 5 shows the C versus N mass fraction together with the predictions of Meynet & Maeder (2005) for various initial masses. The errors on the carbon content are smaller than the symbols. SMC-WR4 and SMC-WR2 are in (or very close to) a phase where X(C) is minimum and X(N) is maximum. SMC-WR1 appears to have a carbon mass fraction consistent with CNO equilibrium, but its N content is a little too low. A similar conclusion is reached if one looks at the right panel of Fig. 5: it shows the O versus N mass fraction for stars SMC-WR1 and SMC-WR4. As for carbon, the oxygen content is reduced during the CNO cycle, so that an O underabundance can be expected from evolutionary tracks. The O mass fraction of SMC-WR1 is consistent with the expected minimum, as is the case for carbon. In this figure too the N mass fraction is not as large as expected for the O content. We will see later that the current tracks might not be appropriate for this star. The upper limit on the O content of SMC-WR4 is too high to draw any meaningful conclusion. This limit (not shown) is even higher for star SMC-WR2.
Let us now turn to the HR diagrams shown in Fig. 6. The position of the three target stars is indicated on top of the Meynet & Maeder (2005) evolutionary tracks at
(appropriate for the SMC, left panel) and
(right panel). We have highlighted in bold font the phase of the tracks in which the H mass fraction is larger than 20
.
Since SMC-WR1, SMC-WR2 and SMC-WR4 all have
X(H) > 0.3, any comparison between the position of the stars and evolutionary models should rely on the bold lines in either panel. Let us consider each star one by one:
- SMC-WR4: for this star, we find X(H
.
From the left panel of Fig. 6 (i.e. the one with evolutionary tracks at 0.2 Z_
), one might invoke two scenarios to explain the position of SMC-WR4. In the first one SMC-WR4 is a relatively unevolved star, still close to the main sequence and with an initial mass slightly above 60 M_
.
In that case the initial mass can be estimated from the uncertainties on T_eff
and LL_
,
as given in the second column of Table 3. The result is somewhat surprising, since it is much larger than the estimate based on the X(H)-L diagram, with no overlap within the errors (42.2
+6.9-7.8 vs. 64.7
+16.0-10.1). Besides, if SMC-WR4 were indeed at an early post-main sequence phase of its evolution, its mass loss rate would be around 10-5.7
yr-1 according to Vink et al. (2001). Instead, we find a value one order of magnitude larger (once corrected for clumping). Thus it appears unlikely that SMC-WR4 is just evolving off the main sequence.
Table 3: Initial mass estimate (in solar units) from evolutionary diagrams. The second and third column give estimates based respectively on the X(H)-L and HR diagram. The errors take into account uncertainties on T_ eff
Another possibility is that SMC-WR4 is a star with an initial mass of 40-50 M_
and LL_
.
Tracks with
from Meynet & Maeder (2005) are used.
and evolving blue-ward from a supergiant phase. Indeed, the
40 M_
track ends a little before reaching the position of SMC-WR4. However, the same track at Z=0.4 Z_
passes through the position of SMC-WR4 while still having X(H) >0.2 (see right panel of Fig. 6). Hence assuming a metal content slightly larger than 0.2 Z_
can explain the characteristics of SMC-WR4. In that case, the 40 M_
track would explain the position of SMC-WR4 in both the HR and the X(H)-L diagram (the initial mass derived from the latter diagram is very similar at 0.2 and 0.4 Z_
for SMC-WR4). Note that other effects such as a slightly different initial rotation rate compared to the values used in the evolutionary calculations of Meynet & Maeder (2003), or different mass loss rates (uncertainties being large due to clumping) could also modify the tracks at Z=0.2 Z_
and explain the position of SMC-WR4. Given this, we tentatively conclude that SMC-WR4 results from rather normal evolution.
- SMC-WR2: the hydrogen mass fraction is the largest of the three stars, reaching
.
The situation is different from SMC-WR4. There is only one possibility that explains both the effective temperature/luminosity and H content of SMC-WR2: it must be a star just evolving off the main sequence. Indeed, none of the evolutionary tracks coming back from the cool part of the HR diagram and with low enough luminosities can account for the large H mass fraction of SMC-WR2. The 30 M_
track at Z=0.4 Z_
has a too low H content when reaching the position of SMC-WR2 (see the tick on the track at X(H)=0.3). The star has to be in its early evolution. If we accept this, one can estimate the initial mass of the star by interpolation between the red-ward evolving tracks. The results (given in the third column of Fig. 3) indicate
M=47.3+7.0-10.6 M_
.
This is significantly higher than the estimate from the X(H)-L diagram (22.8
+5.8-5.4 M_
). Such a difference is surprising, since it is based on the same set of tracks. We will discuss possible solutions to this puzzle in Sect. 5.3.
- SMC-WR1: the situation is even more intriguing for star SMC-WR1. We find convincing evidence that SMC-WR1 is still H-rich, with X(H
.
But a look at Fig. 6 shows that SMC-WR1 is definitely located to the left of the H-burning main sequence, at a temperature of
65 000 K and LL_
of 5.75. The only evolutionary tracks reaching this part of the diagram have initial masses higher than
50 M_
.
But this is only at the very end of the star's evolution, when it is H and N free. The properties of SMC-WR1 are thus puzzling, classical stellar evolution being unable to explain them.
Before concluding this section, we briefly note that mass estimates are important clues to the nature of the sample stars. One can add another such estimate assuming that the stars have Eddington luminosities. In that case one obtains lower limits to the current masses of the three WNh stars. These values are respectively 9.8, 7.8 and 19.6 M_
for SMC-WR1, SMC-WR2 and SMC-WR4 (assuming the only source of opacity is electron scattering). In practice, our modelling indicate that the maximum Eddington factors in their atmospheres are of the order of 0.7 and that the total radiative acceleration is 1.2-1.5 times the acceleration due to electron scattering, implying current masses of the order of 10-35 M_
.
Of course, these values have to be taken as rough estimates since they depend on the exact hydrodynamical structure which still suffers from uncertainties (see Sect. 3).
5.3 Evidence for evolution with fast rotation.
The previous section has shown that classical stellar evolution was able to reproduce the observed properties of SMC-WR4 if its metallicity is a little higher than 0.2 Z_
.
However, it was shown that the current set of evolutionary tracks failed to explain SMC-WR1 and SMC-WR2.
Before considering SMC-WR1 and SMC-WR2, let us first reiterate our conclusions regarding SMC-WR4. We showed that both its position in the HR diagram and its surface abundances were compatible with a star of initial mass 40-50 M_
in or about to enter the core He burning phase. This is rather similar to the conclusion of Foellmi et al. (2003) who argued that SMC-WR4 most likely resulted from standard evolution of a 70-85 M_
star. We stress once more that according to this scenario, SMC-WR4 is coming back from the red part of the HR diagram. Consequently, it is not a core H burning object. This is important in the context of the understanding of the properties of H rich WN stars. Recently, Martins et al. (2008) analyzed 16 WN7-9h stars in the Arches cluster and showed that they were rather young and very massive stars still in the core H burning phase. The WN6h stars in the core of NGC 3603 are probably similar objects (Crowther & Dessart 1998). The initial mass estimates for these objects in the Arches and NGC 3603 cluster range between 60 and 130 M_
(see Schnurr et al. (2008) for a recent Keplerian mass estimate of NGC 3603/A1). Hence, it seems that H-rich WN stars come in different types. They can be very massive objects in an early phase of evolution, with ages not higher than 2-3 Myr; but they can also result from less massive objects and be more evolved. In the latter category, one should mention star WR3 in the outer part of the Galaxy. Marchenko et al. (2004) showed that it was an H-rich object resulting from the evolution of an initially 40-50 M_
object. Since lower metallicity is encountered in the outer regions of the Galaxy, star WR3 might be more similar to the SMC stars analyzed in the present study.
For SMC-WR1 and SMC-WR2, there are a few possibilities to explain the puzzling results of Sect. 5.2. The first one is binarity. Wellstein & Langer (1999) showed that mass transfer during binary evolution could dramatically change the evolutionary sequence of both components of the system. In particular, their Fig. 1 shows that the primary might evolve almost vertically just after the mass transfer. Consequently, if such a star was analyzed by means of classical single star tracks, its mass would be overestimated. This could explain the inconsistencies encountered for SMC-WR2: its mass derived from the HR diagram is higher than that derived from the X(H)-L diagram. Besides, mass transfer would affect the surface abundances, so that the derived H mass fraction might be different from that of single evolutionary sequences. Hence, mass estimates from the X(H)-L diagram would be affected too. Binarity might thus be an alternative to explain the properties of SMC-WR2. However, Foellmi et al. (2003) thoroughly studied the radial velocities and photometry of all the SMC stars and showed that SMC-WR2 was not varying. They concluded that it was most likely a single star, or maybe a long period binary. But in any case it was not a short period binary prone to experience the kind of evolution described above. The same conclusion was reached for SMC-WR1. Periodic changes of the shape of emission profiles may also reveal the close-binary nature of a massive star. The line-profile variability of SMC-WR1 and SMC-WR2 closely resembles the behavior of emission lines in the presumably single Galactic W-R stars (Paper I), where the stochastic, seemingly random variability is induced by numerous wind-embedded clumps. Hence, we conclude that practically all the variability patterns seen in SMC-WR1 and SMC-WR2 are caused by the stochastic appearance of small-scale overdensities in the winds of the SMC W-R stars.
Binarity thus appears unlikely to be the explanation for the properties of SMC-WR1 and SMC-WR2. Alternatively, there is growing evidence that homogeneous evolution might be at work in at least a fraction of massive stars in the Magellanic Clouds. Bouret et al. (2003) argued that star MPG 355 in NGC 346 could have the same age as the other cluster members if it was evolving homogeneously. Walborn et al. (2004) explained the position of highly N enriched Magellanic Cloud O2 stars in the HR diagram by large mixing leading to homogeneous evolution. Finally, Mokiem et al. (2007a) explained the correlation of large mass discrepancies
with He enrichment by the fact that He-rich stars might evolve homogeneously, so that using normal tracks would overestimate their evolutionary mass.
![]() |
Figure 7: Effect of rotation on the X(H)-L diagram ( left panel) and on the HR diagram ( right panel). The masses estimated using different rotational velocities will be different in both diagrams. Evolutionary tracks from Meynet & Maeder (2005). |
| Open with DEXTER | |
Nonetheless, various works have mentioned the existence of homogeneous evolution. Meynet & Maeder (2000) argue that stars initially more massive than 40 M_
and with
-
(
)
being the (critical) rotation rate - will evolve homogeneously. The 60 M_
evolutionary track of Meynet & Maeder (2005) with an initial
of 500 km s-1, as well as the fast rotating models of Meynet & Maeder (2007) (which include the effects of a magnetic field) confirm this trend. Yoon & Langer (2005) also produce blue-ward evolving stars in their fast rotating models at low metallicity. As mentioned above, a complete set of evolutionary tracks for various metallicities and rotational rates does not exist at present. Only a few tracks are available. In Fig. 7, we plot the evolutionary tracks of a 60 M_
star from Meynet & Maeder (2005) for both
= 300 km s-1 (solid line) and 500 km s-1 (dashed line). The latter corresponds to a borderline case where the evolution is almost homogeneous, the star evolving at almost constant T_eff
in the first phases. In the X(H)-L diagram, one sees that for fast rotating stars, the track is shifted to lower luminosities. In practice, this means that the mass one would derived from a set of tracks with
= 500 km s-1 would be higher than for the case where
= 300 km s-1. On the contrary, fast rotating stars are on average more luminous in the HR diagram (due to the effects summarized above). Hence, lower masses are derived for higher
tracks. This is interesting in the context of the mass problem reported for star SMC-WR2: the large difference between the masses derived from the X(H)-L and HR diagram can, at least qualitatively, be reduced if one uses faster rotating tracks. This strengthens the idea that SMC-WR2 might be a rapidly rotating star, close to homogeneous evolution. Using the two methods to estimate masses we have applied in this paper, one might have an indirect way of determining the initial rotational velocity of Wolf-Rayet stars: a set of rotating tracks should be able to give consistent mass estimates in the X(H)-L and HR diagram. If not, the initial rotational velocity is probably not correct.
The case of SMC-WR1 is more extreme: it is located on the left side of the main sequence, but still contains a significant fraction of hydrogen. Inspection of Fig. 1 of Meynet & Maeder (2007) reveals that homogeneous evolution can reproduce these features. In this figure, SMC-WR1 would lie close to to the anisotropic wind track (
)
- although slightly below due to the lower mass of the star compared to the model - where the core (and consequently the surface) still contains hydrogen. Qualitatively, SMC-WR1 is thus likely an example of a WR star proceeding from homogeneous evolution of a massive star. Star WR3 in the Galaxy is probably a twin of SMC-WR1. Marchenko et al. (2004) showed that it was H-rich and very similar spectroscopically to early WN stars in the SMC. Given our results, it is likely that WR3 also results from evolution with high rotation.
As stated above, no systematic study of the occurrence of homogeneous chemical evolution with metallicity, magnetic field and rotation velocity exists. However, a key ingredient is the high initial rotation rate. One might wonder if initial rotational velocities as high as 500 km s-1 can be reached in the SMC. Recent studies of the projected rotational velocities of B stars in the SMC were carried out by Martayan et al. (2007) and Hunter et al. (2008). Both works show that the
distribution is shifted towards larger values in the SMC compared to the Galaxy, with averages around 155-175 km s-1. According to Hunter et al. (2008), about 10
of the SMC stars have
higher than 300 km s-1. Considering that these values are lower limits on the true surface velocities (the inclinations being unknown), stars rotating at 500 km s-1 might exist in the SMC. We thus argue that SMC-WR1 is most likely the result of homogeneous evolution of a massive star.
![]() |
Figure 8:
Estimate of the current projected rotational velocity of stars SMC-WR1 and SMC-WR2. The black solid lines are the observed spectra of SMC-WR2 ( top panels) and SMC-WR1 ( bottom panel). Colored lines are synthetic spectra convolved with rotational profiles with different |
| Open with DEXTER | |
In the context of GRB formation, fast rotation is the key ingredient (see Woosley & Bloom 2006, for a review). The other important condition is that the star explodes when it has lost all its hydrogen envelope. Here, we have shown that SMC-WR1 has most likely evolved with a high rotation rate until recently. The fact that it still contains a large H mass fraction might argue against its potential explosion as a GRB. However, according to the model predictions of Meynet & Maeder (2007), a star following homogeneous evolution will end its life as an H-free WR star (of the class WC or WO). Hirschi et al. (2005) argue that GRBs can exist at SMC metallicities and that they should have WO stars as progenitors. Similarly, Yoon et al. (2006) predict a metallicity threshold of about Z=0.004 for the formation of long-soft GRBs (the exact value depending mainly on the adopted mass loss rates). In their scenario, stars ending their lives as GRBs follow quasi chemically homogeneous evolution. The properties of SMC-WR1 are very reminiscent of this scenario. However, the questions raised in the the previous paragraph prevent us from concluding firmly that SMC-WR1 is on its way to becoming a GRB progenitor.
6 Conclusion
We have conducted a detailed spectroscopic analysis of three WNh stars in the SMC. Using atmosphere models computed with the code CMFGEN, we have determined the stellar and wind parameters. The key results can be summarized as follows:
- The quantitative analysis confirms the spectral classification in the sense that all three stars still contain large amounts of hydrogen in their atmosphere. At the same time, they show clear signs of CNO processing, with C (and O for SMC-WR1) depletion, and N enrichment. SMC-WR1 is a hotter object than SMC-WR2 and SMC-WR4, as suggested by its earlier spectral type.
- SMC-WR4 can be explained by normal evolutionary tracks including rotation if its global metallicity is slightly above 1/5th solar. In that case, it is most likely a star with an initial mass of 40-50 M_
in or very close to the core He burning phase.
- SMC-WR2 and, more dramatically, SMC-WR1 cannot be accounted for by moderately rotating (i.e. 300 km s-1) evolutionary tracks. Their position in both the HR and X(H)-L diagrams can be reproduced only if the stars initially rotate very fast (>500 km s-1). In the case of SMC-WR1, only homogeneous evolution can account for the position of the star to the left of the main sequence and the high H mass fraction in its atmosphere.
- The clumping factor
of star SMC-WR4 is quantitatively constrained to be
.
Within this uncertainty, no difference is found to Galactic WR stars, confirming the dynamical results of Paper I.
A more systematic study of the clumping properties of SMC WNh stars is also required to confirm that clumping does not seem to depend on metallicity. This is crucial to understand the physics of inhomogeneity formation in massive-star winds and, more generally, the mechanisms of mass loss. Our future study will tackle these questions too.
Acknowledgements
We thank the referee, Paul Crowther, for useful comments which helped to improve the spectroscopic analysis and for sharing near-infrared spectra. We thank Stan Owocki for illuminating discussions about radiative instabilities. FM thanks the CINES for allocation of computing time. A.F.J.M. thanks NSERC (Canada) and FQRNT (Quebec) for financial aid. J.C.B. acknowledges support from the French National Research Agency (ANR) through program number ANR-06-BLAN-0105.
Appendix A: Best fits
In this section, we gather the figures showing the comparison of our best fit models with the observed spectra of our program stars.
![]() |
Figure A.1: Best fit (red solid line) of the observed spectrum (black solid line) of star SMC-WR4. The main stellar lines are indicated. |
| Open with DEXTER | |
![]() |
Figure A.2: Best fit (red solid line) of the observed spectrum (black solid line) of star SMC-WR2. The main stellar lines are indicated. |
| Open with DEXTER | |
![]() |
Figure A.3: Best fit (red solid line) of the observed spectrum (black solid line) of star SMC-WR1. The main stellar lines are indicated. |
| Open with DEXTER | |
References
- Blomme, R., Prinja, R. K., Runacres, M. C., & Colley, S. 2002, A&A, 382, 921 [NASA ADS] [CrossRef] [EDP Sciences] (In the text)
- Bouchet, P., Lequeux, J., Maurice, E., Prevot, L., & Prevot-Burnichon, M. L. 1985, A&A, 149, 330 (In the text)
- Bouret, J.-C., Lanz, T., Hillier, D. J., et al. 2003, ApJ, 595, 1182 [NASA ADS] [CrossRef]
- Bouret, J.-C., Lanz, T., & Hillier, D. J. 2005, A&A, 438, 301 [NASA ADS] [CrossRef] [EDP Sciences]
- Bromm, V., Coppi, P. S., & Larson, R. B. 1999, ApJ, 527, L5 [CrossRef]
- Caputo, F., Marconi, M., & Ripepi, V. 1999, ApJ, 525, 784 [CrossRef]
- Cole, A. A. 1998, ApJ, 500, L137 [NASA ADS] [CrossRef]
- Crowther, P. A. 2000, A&A, 356, 191 [NASA ADS] (In the text)
- Crowther, P. A., & Dessart, L. 1998, MNRAS, 296, 622 [CrossRef] (In the text)
- Crowther, P. A., Dessart, L., Hillier, D. J., Abbott, J. B., & Fullerton, A. W. 2002a, A&A, 392, 653 [NASA ADS] [CrossRef] [EDP Sciences]
- Crowther, P. A., Hillier, D. J., Evans, C. J., et al. 2002b, ApJ, 579, 774 [NASA ADS] [CrossRef]
- Crowther, P. A., Morris, P. W., & Smith, J. D. 2006, ApJ, 636, 1033 [NASA ADS] [CrossRef]
- di Benedetto, G. P. 1997, ApJ, 486, 60 [NASA ADS] [CrossRef] (In the text)
- Eversberg, T., Lepine, S., & Moffat, A. F. J. 1998, ApJ, 494, 799 [NASA ADS] [CrossRef]
- Foellmi, C., Moffat, A. F. J., & Guerrero, M. A. 2003, MNRAS, 338, 360 [NASA ADS] [CrossRef] (In the text)
- Fullerton, A. W., Massa, D. L., & Prinja, R. K. 2006, ApJ, 637, 1025 [NASA ADS] [CrossRef]
- Galama, T. J., Vreeswijk, P. M., van Paradijs, J., et al. 1998, Nature, 395, 670 [CrossRef]
- Gayley, K. G., & Owocki, S. P. 1995, ApJ, 446, 801 [NASA ADS] [CrossRef] (In the text)
- Genzel, R., Lutz, D., Sturm, E., et al. 1998, ApJ, 498, 579 [NASA ADS] [CrossRef] (In the text)
- Gräfener, G., & Hamann, W.-R. 2005, A&A, 432, 633 [NASA ADS] [CrossRef] [EDP Sciences]
- Gräfener, G., & Hamann, W.-R. 2008, A&A, 482, 945 [NASA ADS] [CrossRef] [EDP Sciences]
- Grevesse, N., & Sauval, A. J. 1998, Space Sci. Rev. 85, 161 [CrossRef] (In the text)
- Groenewegen, M. A. T. 2000, A&A, 363, 901 [NASA ADS]
- Hamann, W.-R., & Koesterke, L. 1998, A&A, 335, 1003 [NASA ADS]
- Harries, T. J., Hilditch, R. W., & Howarth, I. D. 2003, MNRAS, 339, 157 [NASA ADS] [CrossRef]
- Herald, J. E., Hillier, D. J., & Schulte-Ladbeck, R. E. 2001, ApJ, 548, 932 [NASA ADS] [CrossRef] (In the text)
- Herrero, A., Kudritzki, R. P., Vilchez, J. M., et al. 1992, A&A, 261, 209 [NASA ADS]
- Hilditch, R. W., Howarth, I. D., & Harries, T. J. 2005, MNRAS, 357, 304 [NASA ADS]
- Hillier, D. J. 1991, A&A, 247, 455 [NASA ADS] (In the text)
- Hillier, D. J., & Miller, D. L. 1998, ApJ, 496, 407 [NASA ADS] [CrossRef] (In the text)
- Hillier, D. J., & Miller, D. L. 1999, ApJ, 519, 354 [CrossRef] (In the text)
- Hillier, D. J., Davidson, K., Ishibashi, K., & Gull, T. 2001, ApJ, 553, 837 [NASA ADS] [CrossRef]
- Hillier, D. J., Lanz, T., Heap, S. R., et al. 2003, ApJ, 588, 1039 [NASA ADS] [CrossRef]
- Hirschi, R., Meynet, G., & Maeder, A. 2005, A&A, 443, 581 [NASA ADS] [CrossRef] [EDP Sciences] (In the text)
- Hjorth, J., Sollerman, J., Møller, P., et al. 2003, Nature, 423, 847 [NASA ADS] [CrossRef]
- Howarth, I. D. 1983, MNRAS, 203, 301 [NASA ADS] (In the text)
- Hunter, I., Lennon, D. J., Dufton, P. L., et al. 2008, A&A, 479, 541 [NASA ADS] [CrossRef] [EDP Sciences] (In the text)
- Keller, S. C., & Wood, P. R. 2006, ApJ, 642, 834 [NASA ADS] [CrossRef]
- Langer, N. 1992, A&A, 265, L17 [NASA ADS] (In the text)
- Lanz, T., & Hubeny, I. 2003, ApJS, 146, 417 [NASA ADS] [CrossRef] (In the text)
- Lépine, S., & Moffat, A. F. J. 1999, ApJ, 514, 909 [CrossRef]
- Lépine, S., & Moffat, A. F. J. 2008, ApJ, 514, 909
- Maeder, A. 1987, A&A, 178, 159 [NASA ADS] (In the text)
- Marchenko, S. V., Moffat, A. F. J., Crowther, P. A., et al. 2004, MNRAS, 353, 153 [NASA ADS] [CrossRef] (In the text)
- Marchenko, S. V., Foellmi, C., Moffat, A. F. J., et al. 2007, ApJ, 656, L77 [NASA ADS] [CrossRef] (In the text)
- Martayan, C., Frémat, Y., Hubert, A.-M., et al. 2007, A&A, 462, 683 [NASA ADS] [CrossRef] [EDP Sciences] (In the text)
- Martins, F., Hillier, D. J., Paumard, T., et al. 2008, A&A, 478, 219 [NASA ADS] [CrossRef] [EDP Sciences] (In the text)
- Martins, F., & Plez, B. 2006, A&A, 457, 637 [NASA ADS] [CrossRef] [EDP Sciences] (In the text)
- Massa, D., Fullerton, A. W., Sonneborn, G., & Hutchings, J. B. 2003, ApJ, 586, 996 [NASA ADS] [CrossRef]
- Massey, P., & Duffy, A. S. 2001, ApJ, 550, 713 [NASA ADS] [CrossRef] (In the text)
- Meynet, G., & Maeder, A. 2000, A&A, 361, 101 [NASA ADS] (In the text)
- Meynet, G., & Maeder, A. 2003, A&A, 404, 975 [NASA ADS] [CrossRef] [EDP Sciences] (In the text)
- Meynet, G., & Maeder, A. 2005, A&A, 429, 581 [NASA ADS] [CrossRef] [EDP Sciences] (In the text)
- Meynet, G., & Maeder, A. 2007, A&A, 464, L11 [NASA ADS] [CrossRef] [EDP Sciences] (In the text)
- Meynet, G., Maeder, A., Schaller, G., Schaerer, D., & Charbonnel, C. 1994, A&AS, 103, 97 [NASA ADS] (In the text)
- Moffat, A. F. J., Drissen, L., Lamontagne, R., & Robert, C. 1988, ApJ, 334, 1038 [NASA ADS] [CrossRef]
- Mokiem, M. R., de Koter, A., Evans, C. J., et al. 2007a, A&A, 465, 1003 [NASA ADS] [CrossRef] [EDP Sciences] (In the text)
- Mokiem, M. R., de Koter, A., Vink, J. S., et al. 2007b, A&A, 473, 603 [NASA ADS] [CrossRef] [EDP Sciences] (In the text)
- Najarro, F., Figer, D. F., Hillier, D. J., & Kudritzki, R. P. 2004, ApJ, 611, L105 [NASA ADS] [CrossRef] (In the text)
- Nakamura, F., & Umemura, M. 1999, ApJ, 515, 239 [CrossRef]
- Oskinova, L. M., Feldmeier, A., & Hamann, W.-R. 2004, A&A, 422, 675 [NASA ADS] [CrossRef] [EDP Sciences] (In the text)
- Oskinova, L. M., Hamann, W.-R., & Feldmeier, A. 2007, A&A, 476, 1331 [NASA ADS] [CrossRef] [EDP Sciences] (In the text)
- Owocki, S. P., Castor, J. I., & Rybicki, G. B. 1988, ApJ, 335, 914 [NASA ADS] [CrossRef] (In the text)
- Prochaska, J. X., Bloom, J. S., Chen, H.-W., et al. 2004, ApJ, 611, 200 [NASA ADS] [CrossRef] (In the text)
- Puls, J., Springmann, U., & Lennon, M. 2000, A&AS, 141, 23 [NASA ADS] [CrossRef] [EDP Sciences] (In the text)
- Puls, J., Markova, N., Scuderi, S., et al. 2006, A&A, 454, 625 [NASA ADS] [CrossRef] [EDP Sciences] (In the text)
- Runacres, M. C., & Owocki, S. P. 2002, A&A, 381, 1015 [NASA ADS] [CrossRef] [EDP Sciences] (In the text)
- Runacres, M. C., & Owocki, S. P. 2005, A&A, 429, 323 [NASA ADS] [CrossRef] [EDP Sciences] (In the text)
- Schmutz, W. 1997, A&A, 321, 268 (In the text)
- Schnurr, O., Moffat, A. F. J., St-Louis, N., Casoli, J., & Chené, A. 2008, ArXiv e-prints, 806 (In the text)
- Schwarzschild, M. 1958, Structure and evolution of the stars (Princeton: Princeton University Press) (In the text)
- Seaton, M. J. 1979, MNRAS, 187, 73P [NASA ADS] (In the text)
- St-Louis, N., Smith, L. J., Stevens, I. R., et al. 1989, A&A, 226, 249 [NASA ADS]
- St.-Louis, N., Moffat, A. F. J., Lapointe, L., et al. 1993, ApJ, 410, 342 [NASA ADS] [CrossRef] (In the text)
- Steidel, C. C., Giavalisco, M., Dickinson, M., & Adelberger, K. L. 1996, AJ, 112, 352 [NASA ADS] [CrossRef] (In the text)
- Veilleux, S., Cecil, G., & Bland-Hawthorn, J. 2005, ARA&A, 43, 769 [NASA ADS] [CrossRef] (In the text)
- Vink, J. S., & de Koter, A. 2005, A&A, 442, 587 [NASA ADS] [CrossRef] [EDP Sciences]
- Vink, J. S., de Koter, A., & Lamers, H. J. G. L. M. 2001, A&A, 369, 574 [NASA ADS] [CrossRef] [EDP Sciences] (In the text)
- Walborn, N. R., Morrell, N. I., Howarth, I. D., et al. 2004, ApJ, 608, 1028 [NASA ADS] [CrossRef] (In the text)
- Wellstein, S., & Langer, N. 1999, A&A, 350, 148 (In the text)
- Woosley, S. E. 1993, ApJ, 405, 273 [NASA ADS] [CrossRef] (In the text)
- Woosley, S. E., & Bloom, J. S. 2006, ARA&A, 44, 507 [NASA ADS] [CrossRef] (In the text)
- Yoon, S.-C., & Langer, N. 2005, A&A, 443, 643 [NASA ADS] [CrossRef] [EDP Sciences] (In the text)
- Yoon, S.-C., Langer, N., & Norman, C. 2006, A&A, 460, 199 [NASA ADS] [CrossRef] [EDP Sciences] (In the text)
Footnotes
- ... evolution
- Based on observations collected at the ESO Very Large Telescope (programs 077.D-0029, 071.D-0272, 074.D-0696).
- ...
- These errors do not include any systematics due to uncertainties in the atomic data.
- ...).
- Note that our best fit model in Fig. A.1 has a slightly lower mass loss rate (0.1 dex) than the best fit model of Fig. 2 in order to best match both optical/UV and near-infrared lines. In Fig. 2,
is scaled to fit He II
4686
- ... discrepancies
- The ``mass discrepancy'' problem refers to the larger evolutionary masses derived from HR diagrams compared to spectroscopic masses derived from gravities through atmosphere modelling (see Herrero et al. 1992).
All Tables
Table 1: Photometry of the target stars from Massey & Duffy (2001) together with the derived extinction.
Table 2:
Parameters of our best fit models. Uncertainties are: 3 kK (7 kK for SMC-WR1) on temperatures, 0.1 dex on luminosities (0.15 for SMC-WR1), 0.2 dex on
,
100 km s-1 on
,
0.05 on He/H, 30 to 50
on abundances.
Table 3:
Initial mass estimate (in solar units) from evolutionary diagrams. The second and third column give estimates based respectively on the X(H)-L and HR diagram. The errors take into account uncertainties on T_ eff
and LL_
.
Tracks with
from Meynet & Maeder (2005) are used.
All Figures
![]() |
Figure 1:
SED fitting for SMC-WR2 (left panel) and SMC-WR4 ( right panel). The IUE spectra are reported as well as the fluxes in the UBV bands.
E(B-V)=0.03+0.08 (Galactic + SMC) and 0.04+0.10 are required for SMC-WR2 and SMC-WR4 respectively. A distance of 63.2 kpc is assumed (di Benedetto 1997). This SED fitting yields the luminosities:
|
| Open with DEXTER | |
| In the text | |
![]() |
Figure 2: He ( left) and CN ( right) abundance determination for SMC-WR4. The black solid line is the observed spectrum, the interrupted colored lines are models with different He/H (C/H, N/H) ratios. |
| Open with DEXTER | |
| In the text | |
![]() |
Figure 3:
Determination of clumping parameter
|
| Open with DEXTER | |
| In the text | |
![]() |
Figure 4:
Determination of the He to H ratio for star SMC-WR1. The observed spectrum is the black solid line. The mass loss rates of the models with different He/H ratios were adjusted to give a correct fit of the He II |
| Open with DEXTER | |
| In the text | |
![]() |
Figure 5: Evolutionary status from chemical composition. Left: hydrogen mass fraction as a function of Luminosity. Middle: carbon mass fraction as a function of nitrogen mass fraction for stars SMC-WR2 and SMC-WR4. Right: O mass fraction as a function of N mass fraction from evolutionary tracks (lines) and as derived for star SMC-WR1. The three stars are still rather H rich, but already show signs of CNO processing. Evolutionary tracks are from Meynet & Maeder (2005) and have an initial rotational velocity of 300 km s-1. |
| Open with DEXTER | |
| In the text | |
![]() |
Figure 6:
HR diagram with the three sample stars. Evolutionary tracks are from Meynet & Maeder (2005), the left panel being for Z=0.2 Z_ |
| Open with DEXTER | |
| In the text | |
![]() |
Figure 7: Effect of rotation on the X(H)-L diagram ( left panel) and on the HR diagram ( right panel). The masses estimated using different rotational velocities will be different in both diagrams. Evolutionary tracks from Meynet & Maeder (2005). |
| Open with DEXTER | |
| In the text | |
![]() |
Figure 8:
Estimate of the current projected rotational velocity of stars SMC-WR1 and SMC-WR2. The black solid lines are the observed spectra of SMC-WR2 ( top panels) and SMC-WR1 ( bottom panel). Colored lines are synthetic spectra convolved with rotational profiles with different |
| Open with DEXTER | |
| In the text | |
![]() |
Figure A.1: Best fit (red solid line) of the observed spectrum (black solid line) of star SMC-WR4. The main stellar lines are indicated. |
| Open with DEXTER | |
| In the text | |
![]() |
Figure A.2: Best fit (red solid line) of the observed spectrum (black solid line) of star SMC-WR2. The main stellar lines are indicated. |
| Open with DEXTER | |
| In the text | |
![]() |
Figure A.3: Best fit (red solid line) of the observed spectrum (black solid line) of star SMC-WR1. The main stellar lines are indicated. |
| Open with DEXTER | |
| In the text | |
Copyright ESO 2009
Current usage metrics show cumulative count of Article Views (full-text article views including HTML views, PDF and ePub downloads, according to the available data) and Abstracts Views on Vision4Press platform.
Data correspond to usage on the plateform after 2015. The current usage metrics is available 48-96 hours after online publication and is updated daily on week days.
Initial download of the metrics may take a while.

![\begin{figure}
\par\mbox{\includegraphics[width=8cm,clip]{11014f2a.eps}\hspace*{4mm}
\includegraphics[width=8cm,clip]{11014f2b.eps} }\end{figure}](/articles/aa/full_html/2009/07/aa11014-08/Timg45.gif)
![\begin{figure}
\par\includegraphics[width=8cm,clip]{11014f3a.eps}\hspace*{4mm}
\includegraphics[width=7.9cm,clip]{11014f3b.eps}
\end{figure}](/articles/aa/full_html/2009/07/aa11014-08/Timg46.gif)
![\begin{figure}
\par\includegraphics[width=8.8cm,clip]{11014f4.eps}
\end{figure}](/articles/aa/full_html/2009/07/aa11014-08/Timg51.gif)
![\begin{figure}
\par\mbox{\includegraphics[width=5.7cm,clip]{11014f5a.eps}\hspace...
...ps}\hspace{4mm}
\includegraphics[width=5.9cm,clip]{11014f5c.eps} }\end{figure}](/articles/aa/full_html/2009/07/aa11014-08/Timg53.gif)
![\begin{figure}
\par\mbox{\includegraphics[width=8cm,clip]{11014f6a.eps}\hspace*{4mm}
\includegraphics[width=8cm,clip]{11014f6b.eps} }
\end{figure}](/articles/aa/full_html/2009/07/aa11014-08/Timg62.gif)
![\begin{figure}
\par\mbox{\includegraphics[width=8cm,clip]{11014f7a.eps}\hspace*{4mm}
\includegraphics[width=8cm,clip]{11014f7b.eps} }\end{figure}](/articles/aa/full_html/2009/07/aa11014-08/Timg73.gif)
![\begin{figure}
\par\includegraphics[width=8.8cm,clip]{11014f8.eps}
\end{figure}](/articles/aa/full_html/2009/07/aa11014-08/Timg79.gif)
![\begin{figure}
\par\includegraphics[width=11.6cm,clip]{11014fA1.eps}
\end{figure}](/articles/aa/full_html/2009/07/aa11014-08/Timg81.gif)
![\begin{figure}
\par\includegraphics[width=11.6cm,clip]{11014fA2.eps}
\end{figure}](/articles/aa/full_html/2009/07/aa11014-08/Timg82.gif)
![\begin{figure}
\includegraphics[width=11.6cm,clip]{11014fA3.eps}
\end{figure}](/articles/aa/full_html/2009/07/aa11014-08/Timg83.gif)