| Issue |
A&A
Volume 495, Number 2, February IV 2009
|
|
|---|---|---|
| Page(s) | 389 - 405 | |
| Section | Cosmology (including clusters of galaxies) | |
| DOI | https://doi.org/10.1051/0004-6361:200810757 | |
| Published online | 04 December 2008 | |
The simulated 21 cm signal during the epoch of reionization: full modeling of the Ly-
pumping
S. Baek1 - P. Di Matteo1,2 - B. Semelin1 - F. Combes1 - Y. Revaz1,3
1 -
LERMA, Observatoire de Paris, UPMC, CNRS, 61 Av. de l'Observatoire, 75014 Paris, France
2 -
GEPI, Observatoire de Paris, section de Meudon, CNRS, Place Jules Janssen, 92190 Meudon, France
3 -
Laboratoire d'Astrophysique, École Polytechnique Fédérale de Lausanne (EPFL), Switzerland
Received 6 August 2008 / Accepted 3 November 2008
Abstract
The
emission of neutral hydrogen is the most promising probe of the epoch of reionization (EoR). In
the next few years, the SKA pathfinders will provide statistical measurements of this signal, such as its power spectrum.
Within one decade, SKA should produce a full tomography of the signal. Numerical simulations predicting these observations
are necessary to optimize the design of the instruments and help in the interpretation of the data. Simulations are
reaching a reasonable level in terms of scale range, but still often rely on simplifications to compute the
strength of the signal. The main difficulty is the computation of the spin temperature of neutral hydrogen which
depends on the gas kinetic temperature and on the level of the local Lyman-
flux (The Wouthuysen-Field effect). A
assumption is usual. However, this assumption does not apply early in the reionization history, or even
later in the history as long as the sources of X-rays are too weak to heat the intergalactic medium significantly. This work presents the
first EoR numerical simulations including, beside dynamics and ionizing continuum radiative transfer, a self-consistent
treatment of the Ly-
radiative transfer. This allows us to compute the spin temperature more accurately. We use two
different box sizes,
and
,
and a star source model. Using the redshift
dependence of average quantities, maps, and power spectra, we quantify the effect of using different assumptions to
compute the spin temperature and the influence of the box size. The first effect comes from allowing
for a signal in absorption (i.e. not making the
approximation).
The magnitude of this effect depends on the amount of heating
by hydrodynamic shocks and X-rays in the intergalactic medium (IGM). With our source model we have little heating so regions seen in absorption
survive almost until the end of reionization.
The second effects comes from using the real, local, Lyman-
flux. This effect is important for an average ionization fraction of less than
:
it changes the overall amplitude of the
signal, and adds its own fluctuations to the power spectrum.
Key words: radiative transfer - methods: numerical - ISM: HII regions - ISM: bubbles - cosmology: early Universe
1 Introduction
The Epoch of Reionization (EoR) begins with the formation of the first sources of light resulting from the
non-linear growth of primordial density fluctuations. When this event occurs, which could be anytime
between
and
,
the intergalactic medium (IGM) is mostly cold, neutral and
optically thick at many wavelengths. Our main probe of baryonic
matter during this era is the
emission of neutral hydrogen, to which the IGM is
optically thin (Madau et al. 1997). To observe a
signal in
emission or absorption against the cosmic microwave background (CMB), however, we need either
a sufficient local flux of Ly-
photons (Wouthuysen-Field effect, Wouthuysen 1952;
Field 1958) or a high enough baryon density (collisions), either of which will decouple
the hydrogen spin temperature from the CMB temperature. The first condition requires a sufficient
number of sources and the second a sufficient growth of the density fluctuations. During the EoR, the Wouthuysen-Field effect is prevalent as it becomes efficient
everywhere with time. Where the
signal turns on, its intensity is determined, in addition to the spin
temperature,
by the neutral hydrogen density field which is the combination of the baryon
density field and the complex distribution of growing ionized regions. This means that observing the
signal will teach us a lot about the reionization history. Presently, what is known about this history defines two constraints. The first is the value of
,
the optical depth of the Thomson scattering of CMB photons by free electrons, which
is proportional to the column density of ionized hydrogen from us to the CMB.
This value is
for WMAP3 cosmology (Spergel et al. 2007) and
in WMAP5 cosmology (Komatsu et al. 2008).
In the over-simplified model of instantaneous reionization, this gives a reionization redshift
of
.
In realistic models,
provides a constraint on a redshift integral of the mean ionization fraction. The second constraint
on reionization arises from
the spectra of high-z quasars. The Gunn-Peterson trough appears as a sharp feature in the quasar spectra when the neutral
fraction in the IGM surrounding the quasar rises above
.
From observations this happens at z greater than
6 (Fan et al. 2006). The reduced error bar on the value of
in the WMAP5 results, together with the quasar constraint, strongly favor an extended reionization history.
Much information is coded in the
emission. First, the nature of the sources
(Pop II, Pop III stars or X-ray sources: QSO, SNe or X-ray binaries) and their formation history determine
the evolution of the sky-averaged signal with redshift. It may also be
possible to pinpoint specific events in the reionization history like an average ionization fraction of 0.5
using the redshift dependence of the power spectrum (Mellema et al. 2006b; Lidz
et al. 2007b). This type of information will be available in the next few years from
pathfinders like LOFAR or MWA. Within one decade, the Square Kilometer Array (SKA) will deliver a tomography (maps at many different redshifts) of the
signal at 1 comoving Mpc resolution. If the different physics can be
separated in the signal (Barkana & Loeb 2005a; McQuinn et al. 2006), we will be
able to extract information about the growth rate of large scale structures directly. If not,
it is possible to use them as independent source planes for gravitational
lensing by lower z clusters and still deduce information on the structure growth
rate (Metcalf & White 2007).
Numerical simulations of the 21 cm signal are useful to explore the different possible source models and derive constraints for
the design of the future instruments in terms of frequency range, bandwidth, angular resolution and sensitivity. Comparison with
observations will then enable us to discriminate between source models and formation histories. Predicting the
signal requires
the knowledge of three local quantities: the baryonic density field, the ionization fraction of hydrogen and the Ly-
flux
(to compute the spin temperature). Moreover, high resolution is critical to obtain realistic, non-spherical ionized regions arising from
the high photon consumption
in dense small scale structures, and large simulation boxes
(>
)
are necessary to correctly sample the large-scale clustering in the
source distribution and the abundance of rare sources (Barkana & Loeb 2004; Iliev et al. 2006). With the development of 3D radiative transfer codes
(Gnedin & Ostriker 1997; Gnedin & Abel 2001;
Nakamoto et al. 2001; Maselli et al. 2003; Razoumov & Cardall 2005;
Mellema et al. 2006a; Rijkhorst et al. 2006; Susa 2006;
Whalen & Norman 2006; Trac & Cen 2007; Pawlik & Schaye 2008; Altay et al. 2008) and increases in computational power, it has become possible in the last few years to predict the
signal. But some
compromises still have been necessary. The most common approximation is to assume
,
where
is the hydrogen spin temperature and
is the CMB temperature.
In this regime the
brightness temperature
is independent of the spin temperature: no information about the gas temperature and local Ly-
flux is needed.
Obviously, this approximation fails if either the coupling of
to
,
the gas kinetic temperature,
by Ly-
is weak (early andor far from the sources), then
,
or if the gas
is not significantly heated in the voids by X-rays. In other words, this approximation removes any possible absorption regime. However,
the signal seen in absorption has the potential to be stronger than in emission
(Furlanetto et al. 2006). Kuhlen et al. (2006), Shapiro et al. (2006),
Gnedin & Shaver (2004) and Santos et al. (2007) have probed the absorption regime in numerical simulations. In Kuhlen et al.
and Shapiro et al., this is done taking only the role of collisions into account in determining the
signal, i.e. ignoring the role of
Ly-
pumping or prior to the existence of any Ly-
source.
Gnedin et al., in turn, add the effect of a Ly-
flux in their analysis, but still
use a drastic simplification: a homogeneous Ly-
flux changing with redshift. Considering a simple r-2 profile around the sources to compute the Ly-
flux fluctuations, Barkana & Loeb (2005b) have shown that clustering and Poisson noise in the source distribution modify the
power spectrum. Furthermore, several recent works
(Semelin et al. 2007;
Chuzhoy & Zheng 2007; Naoz & Barkana 2008) have shown that
3D radiative transfer effects modify the expected r-2dependence of the flux in a homogeneous medium, and even more so in an inhomogeneous density field.
The present work includes a full modeling of the
Ly-
radiative transfer and examines how the resulting
signal compares to the one using a homogeneous Ly-
flux.
Often working with the
approximation, the early simulations used box sizes equal to or smaller than
(Ciardi & Madau 2003;
Gnedin & Shaver 2004; Furlanetto et al. 2004; Salvaterra et al.
2005; Valdés et al. 2006). Recent
works put the effort on simulating larger boxes, usually
,
while trying to preserve a good enough resolution
(Mellema et al. 2006b;
Zahn et al. 2007; Lidz et al. 2007a;
McQuinn et al. 2007; Lidz et al. 2007b; Iliev et al. 2008).
For the same resolution, radiative transfer simulations are usually more demanding than dark matter dynamical simulations. Consequently, a common strategy
is to run very high resolution DM simulations, derive the baryonic density field
with a constant bias, and compute a clumping factor within each larger scale radiative transfer cell. This is a method
to include the effect of minihalos (Ciardi et al. 2006) as subgrid physics. In this method, the least robust
assumption is the use of a constant baryonic to DM density ratio: while correct on a large scale, it fails
on the scale of clusters where hydrodynamics and heatingcooling processes play an important role.
In this work, we rely on self-consistent hydrodynamic simulations and do not use a clumping factor.
Section 2 presents the radiative transfer code used, Sect. 3 describes the simulation runs, which are analyzed in Sect. 4. Section 5 summarizes the main results.
2 The radiative transfer code: LICORICE
The LICORICE code integrates three main parts, a TreeSPH dynamical part which is not
used for this work (see Sect. 3.1), and two radiative transfer parts for the ionizing continuum and the Lyman-
line. All three parts are parallelized using OpenMP.
2.1 Ionizing continuum radiative transfer
We use a 3D Monte Carlo ray-tracing scheme. The radiation field is discretized into photon packets which are propagated individually on an adaptive grid and interact with matter. The numerical methods implemented in LICORICE are similar to those presented by Maselli et al. (2003) for the code CRASH. There are, however, a number of differences which are described in the following subsections.
The version of LICORICE used in this work does not include H2 formation, He ionization nor diffuse radiation from recombination.
2.1.1 Adaptive grid
LICORICE uses an adaptive grid based on an oct-tree.
There is a difference between the usual oct-tree and our adaptive grid.
The oct-tree keeps splitting a mother cell into 8 children
cells if it contains more than 1 particle. However, the grid for RT stops
splitting a mother cell if it contains less than a tunable parameter,
particles.
Therefore, the RT cells can contain from 0 to
particles while the cells in the oct-tree contain either 0 or 1 particle.
For equivalent spatial resolution, such an adaptive grid requires lower memory and CPU-time
than other grid-based RT codes. In this paper, we adopted
for the continuum
ionization part, which makes the minimum RT cell size of 1 h-1 kpc at the end of the S20 simulation (z=5.6)
and 200 h-1kpc for the S100 simulation (z=6.6)
2.1.2 SPH-particle density and grid-cell density
We compute the gas density at each particle's position using the SPH smoothing kernel
(Monaghan 1992). We use on average 50 neighbor particles,
,
to compute the SPH smoothing kernel.
We call it particle density and consider that the
particle density is close to the physical density of the fluid (Hernquist & Katz 1989).
We define another density: the average density of an RT cell that can
contain several particles.
We call it RT cell density and use it to estimate the optical depth of each
RT cell.
When a photon packet travels through an RT cell with optical depth
,
the absorption probability is given by
.
For each RT cell crossed, we deposit a fraction of its initial photon content
.
Then, we distribute the absorbed photons and energy to each particle in the RT cell proportionally
to its HI mass. We do not take into account any form of sub-cell density fluctuations.
Indeed, particles in one RT cell have similar particle density because we limited
the maximum number of particles in one RT cell at
which is smaller than
,
the number of neighbor particles of the SPH smoothing kernel.
Choosing a smaller
requires using more photons, more memory and updating cells more frequently.
Updatings cells can be especially costly around the sources were cells recieve many photons.
We use the particle density to update physical quantities
such as the ionization fraction and temperature.
Therefore, we compute the photo-ionization rate
and temperature individually for each particle even if they are in the same
RT cell.
Recombination and collisional ionization are also computed
individually for each particle.
This scheme is especially relevant if the density field is not static i.e. an RT cell does not always contain the same set of particles.
2.1.3 Adaptive time integration
The integration time step for updating the photoionization and photoheating rates,
,
is adaptive. We use a typical
much smaller than the time interval
between two snapshots
of the dynamical simulation.
Furthermore, recombination, collisional ionization and cooling are treated
with an integration time step
which is much smaller than
.
The photoionization and photoheating rates are kept constant
over all the
in one
.
The relation between the different time steps is summarized in Fig. 1.
![]() |
Figure 1: Schematic representation of the different time steps used in LICORICE. |
| Open with DEXTER | |
The ionizing continuum radiative transfer is the repetition of
two steps. The emission and propagation of
photon packets during
the time interval
(for continuum transfer an infinite
velocity of light is assumed) and the update of physical quantities.
- i) Step 1: all the sources emit a number
of photon packets along
directions chosen at random. A photon packet leaves a fraction of its content of photon number
and energy in each RT cell it passes through. Each RT cell records
the number of absorbed photons and energy during the emission of the
photon packets
- ii) Step 2: then, the ionization state and the temperature are updated
with the integration time step
for all particles in all
RT cells.
This update is applied even to the RT cells that absorbed
no photon during
.
This is necessary in order to consider the effect
of collisional ionization, recombination and adiabatic expansion of the gas (which is
interpolated between snapshots).
In view of the
emission, the change of temperature due to the adiabatic
expansion of the Universe is especially important in diffuse regions,
independently of the photo-heating rate.
When
photon packets have been emitted, the integration time is synchronized
as described in step 2, using
for the particles which were not
updated since last synchronization and with the time elapsed since the last update
for the others. The relative values of the different time steps are specified in Sect. 3.2.1.
2.2 Ly-
line radiative transfer
Computing Ly-
transfer is necessary to evaluate accurately the Wouthuysen-Field effect
(see Sect. 3.4) in the determination of the
brightness temperature.
The part of LICORICE which deals with the Ly-
line radiative transfer
shares some features with its ionizing continuum counterpart: mainly the
Monte Carlo approach and the adaptive grid. For the Ly-
transfer,
is used. This is a smaller value than for the ionizing continuum
because Ly-
photons have no feedback on the gas: RT cells do not need to be updated
at all. There is no direct CPU cost connected to using a smaller
.
The methods for resonant line scattering were presented in Semelin et al. (2007). The implementation is similar to those of other existing codes (Zheng & Miralda-Escudé 2002; Cantalupo et al. 2005; Dijkstra et al. 2006; Verhamme et al. 2006; Tasitsiomi 2006). Necessary improvements have been implemented in our code for the simulations presented in this paper. Let us describe them briefly.
2.2.1 Taking the full effect of expansion into account
Cosmological expansion is usually introduced in Ly-
transfer codes
by including a Doppler shift associated with the Hubble flow velocities and
by using a constant value for the expansion factor throughout the photon
flight. This works well for simulation boxes of moderate size (a few
10 comoving Mpc). However, during reionization, a photon emitted just below
Ly-
will travel several hundreds of comoving Mpc before it redshifts to
Ly-
.
Moreover, box sizes larger than 100 comoving Mpc are necessary
to avoid underestimating the fluctuation power spectrum of the
line emission.
Consequently we took the necessary steps to include the full effect of
cosmological expansion in our Ly-
simulations:
- we use the comoving frequency. The usual approach is to use the
frequency in the reference frame of the center of the simulation box and convert
back and forth to the frequency in the gas local rest frame by a Doppler shift
including peculiar and Hubble flow velocities. Instead we use the
frequency in the local comoving frame as the reference frequency and include
only peculiar velocities in Doppler shifts. If a photon enters a cell with
local comoving frequency
at time
and exits the cell
(or undergoes scattering) at time
,
its outgoing local comoving
frequency
is simply given by the general formula:

(1)
where a(t) is the expansion factor of the universe. As explained in Semelin et al. (2007), this avoids second order errors in
where
is the variation of the
expansion factor during the flight of the photon through the whole
simulation box. However, between the incoming and outgoing comoving frequency
in a cell, we do make a linear interpolation to compute the comoving frequency along the
photon path. This is necessary to use Eq. (13) in Semelin et al.
(2007) which allows a correct computation of the optical depth
even when the photon redshifts all the way though the Ly-
line within the current cell.
The point is that in the current version, errors do not add up from cell to
cell;
- the second benefit of using this formulation is that we track the variation
of the expansion factor a(t) during the flight of the photon, and we can use
the correct value at any given time to compute such quantities as the gas
physical (non-comoving) density. This avoids first order errors in
when computing
the optical depth for example.
2.2.2 Specific acceleration scheme
A photon which redshifts through the Ly-
line in a hydrogen medium at
the universe average density at
faces an optical depth of
(Gunn & Peterson 1965; Loeb & Rybicki 1999). To compute
106 scatterings
for the
109 photons
used in the simulations is impossible. An acceleration scheme has to be devised. The usual
method is the core-skipping scheme (Avery & House 1968; Ahn et al. 2002).
A photon entering the core of the line is systematically shifted out when it next scatters off a thermal atom.
This scheme reduces the number of scatterings and CPU cost by several orders of magnitude while
preserving the shape of the emerging spectrum. However, in this work, we do not need to compute the
emerging spectrum. All we need is to know where the scatterings occur. Consequently we can use an even
more drastic acceleration scheme. Although the few scatterings that occur in the blue wing of the line
are important to determine in which location the photon enters the core of the line (Semelin et al. 2007), their contribution to the total number of scatterings is negligible. Consequently,
the following method is used: we propagate the photon and compute scatterings until the local comoving
frequency is shifted within 10 thermal linewidths of the line center, in the blue wing, at a location
.
Then we consider that the
106 scatterings that this photon is bound to
undergo all occur at
.
At 10 thermal linewidths off the center, the mean free path of the
photons is less than 1 kpc and much shorter than 1 pc in the core of the line. We can neglect
the spatial diffusion while the photon remains within the 10 linewidth frequency range.
As for the scatterings which occur outside the 10 linewidth range,
there are just a few hundred of them and we can neglect their
contribution to the total number of scatterings (but not their importance in determining where the core
scatterings will occur).
One factor remains to be specified: exactly how this
106 scattering
number depends on the local state of the IGM. Looking at the optical depth computed for a redshifting
photon, three variable quantities can influence the number of scatterings:
the local neutral gas density, the local
kinetic temperature of the gas and the current value of the Hubble constant. Escaping the
line is achieved by a combination of frequency shifts from two sources: scattering off thermal atoms
which produce a random walk in frequency, and the systematic shift to lower frequency between
two scatterings due
to cosmological expansion. How these two effects combine is not clear at first sight: although
cosmological shifts are systematically redward, they are much smaller than the random thermal shifts
when the photon is still near the core of the line. We ran a series of simulations without any
acceleration scheme at different values of the local parameters, for a single source in a homogeneous
medium, and we computed the average number of scatterings per photon. It turns out that changing the
temperature in a reasonable range (1 K to 1000 K) has no influence on the average number
of scatterings (variation less than that the statistical error for 1000 photons).
The approach of Loeb & Rybicki (1999), developed in a 0 K medium, remains valid in the
cosmological context. This means, as was checked numerically, that the average number of scatterings
changes as 1/H(z). The number of scatterings per photon is obviously proportional to the overdensity
of neutral hydrogen,
however, in computing the
emission, we are interested in
,
the average number of
scatterings per atom per second. In
,
the contribution of the overdensity cancels out.
Consequently the following calibrated formula for
,
the number
of scatterings for each photon, was used:
![]() |
(2) |
where H(z) is the Hubble constant at redshift z. Many non-linear density structures at subgrid levels produce deviations from the above formula (Chuzhoy & Shapiro 2006).
3 Description of the simulations
3.1 Dynamics
The dynamical simulations have been run using a modified version of the parallel TreeSPH code Gadget2 (Springel 2005) which explicitly conserves both energy and entropy.
3.1.1 Initial conditions
The initial conditions are the reference conditions of the Horizon Project
.
They have been computed using the public version Grafic-2 code (Bertschinger 2001).
The cosmological parameters are those of the concordance
CDM flat universe based on WMAP3 data alone (Spergel et al. 2007):
,
,
,
with a normalization of the density fluctuation power spectrum given by
.
The corresponding Hubble constant at the present epoch is
,
with h=0.73.
The initial redshifts (z=42.7 for the S20 and z=29.9 for the S100 simulation) were chosen
using the default prescription from Grafic-2.
It relies on the Zel'dovich approximation to predict the growth of the smallest resolved structures until
they enter the non-linear regime. Then the simulations start. Crocce et al. (2006) show that
this approach leaves some spurious transients compared to the more accurate second-order Lagrangian perturbation
theory. The corrections are of the order of a few percent on such quantities as the density power spectrum of the
dark matter halo mass function. We believe that, in EoR simulations, other uncertainties connected to the source
modeling outweigh this issue.
Using these cosmological parameters, we have run two simulations (S20 and S100) covering
different comoving volumes, respectively
and
.
In both simulations, the number of particles is set to
(
particles),
where half corresponds to gas particles and half to dark matter particles.
The mass resolutions of dark matter and gas/stars particles, as well as the softening parameter, are given in Table 1.
For comparison with other work, the minimum mass of resolved halos is
for the S100 and
for the S20 simulations. However, let us emphasize that we do not need to identify halos with a halo finder code: sources are formed self-consistently in the dynamical
code (see Sect. 3.1.2).
Table 1: Mass and spatial resolution for the two simulations S20 and S100.
3.1.2 Gas physics
Additional gas physics has been added to the public version of Gadget-2. The cooling and heating of the gas are computed following the recipe proposed by Katz et al. (1996) where the gas is assumed to be optically thin and in ionization equilibrium with the UV background (the latter corresponds to updated values of the quasar radiation spectrum computed by Haardt & Madau 1996). In addition to the heating and cooling rates given by Katz et al. (1996), we also have taken into account the inverse Compton cooling using the formula in Theuns et al. (1998). These considerations apply to the dynamical simulation only, not to the radiative transfer simulations. Non equilibrium ionization and heating-cooling processes are recomputed independently in the radiative transfer simulations (see Sect. 2.1).
Star formation is taken into account by transforming gas particles into star particles.
We have used the classical recipe that mimics a Schmidt law:
![]() |
(3) |
where
![]() |
(4) |
Following Springel & Hernquist (2003), we have set
Supernova feedback is taken into account by simply injecting in the surrounding gas particles
an amount of
per unit solar mass formed. To avoid instantaneous dissipation by
radiative cooling (Katz et al. 1996),
is ejected in kinetic form, and the rest
is ejected in thermal form.
3.1.3 Calibration of the star formation history
To compare the
signals between the two simulations we
need very similar star formation histories. However, the star formation rate non linearly depends on the numerical resolution,
especially at high redshift (Springel & Hernquist 2003; Rasera & Teyssier 2006). To avoid an extremely CPU time consuming fine tuning of
in the
S100 simulation, we forced the star formation rate
to follow the one obtained in S20. This was performed by adapting at each
time step the parameter
,
while relaxing the constraint on the minimum density needed to form stars.
3.1.4 Output frequency
Radiative transfer simulations are run as a post-treatment of the dynamical simulations, interpolating between the recorded snapshots.
To obtain a reliable interpolation, 125 snapshots were recorded from z=41.66 to z=5.92.
Conforming to the Horizon Project chosen rule, the interval between two snapshots is given in terms of the scale factor a by:
![]() |
(5) |
3.2 Reionization
3.2.1 Initial conditions
The kinetic temperature of the gas is computed in the dynamical simulations
assuming equilibrium for the ionization state with a uniform UV background.
However, it is recomputed in the radiative transfer simulations using the
photo heating and cooling rate for a non equilibrium ionization state.
The radiative transfer for the S20 (resp. S100) simulation starts
with the same initial temperature as the dynamical simulations,
34.7 K (resp. 17.3 K) computed with RECFAST (Seager et al. 1999).
Using a uniform temperature is an approximation: from the epoch of decoupling
(
),
different regions evolve adiabatically with different contraction/expansion factors
due to the growth of density fluctuations. Moreover, the decoupling from the CMB
is actually neither instantaneous nor homogeneous. Including these temperature fluctuations
is not a simple task. We can estimate the rms amplitude of the fluctuations to be smaller than
.
We chose to ignore them.
The initial ionization fraction of gas is set equal to zero. We used the recombination rate given by Spitzer (1978) and the collisional ionization in Cen (1992).
Our requirement for choosing the value of the reionization time step
is that the relative
variation of the gas temperature anywhere in the simulation box is less than
.
This ensures that the recombination rate does not
change too fast within
.
To meet this condition we used
(resp.
)
for S20 (resp. S100) and
(both for S20 and S100). Note that the S20 run required a smaller time step since it has a higher resolution.
3.2.2 Post-treatment of the dynamical simulations: the issue of gas heating
We use the snapshots of the dynamical runs as inputs for the radiative transfer simulation. Consequently, there is no feedback on the dynamics from the radiative heating of the gas. This has two opposite effects. First it slows down to some extent the propagation of the ionization fronts since the high gas pressure inside the Strömgren sphere is not effective. Second the source formation is not quenched by radiative feedback: stronger sources speed up the ionization front propagation. The net result of these two effects is unclear. In view of other important uncertainties, like the source modeling, the feedback of radiative transfer on the dynamics is neglected.
The second consequence of running the radiative transfer simulation in post-treatment of the dynamical simulation is that dynamical effects on the temperature of the gas due to shock heating are not included in the radiative transfer simulation.
Shock heating is a sensitive issue since it directly affects the 21 cm signal, possibly transforming
absorption into emission by raising the gas temperature above the CMB temperature. For example, mini-halos with
masses between 104 to 108
form very early during the EoR and are dense and warm enough from
shock heating during virialization to emit 21 cm radiation. Iliev et al. (2002) and Shapiro et al. (2006)
show that the emission of mini-halos can dominate the 21 cm signal prior to the onset of Ly-
coupling.
Furlanetto & Oh (2006), however, find that the contribution of diffuse regions dominates later on.
The simulations presented here only marginally resolve the most massive of these mini-halos in the best
case (S20 simulation), and we chose not to try to include them as subgrid physics. But we should keep in mind
that shock heating both below and above our scale resolution may affect the
21 cm signal, as long as it occurs in
neutral regions (mini-halos, filaments).
The adiabatic cooling of the gas by dynamical expansion in low density regions is also an important
factor responsible for the
possible strong absorption features in the
maps:
we can take it into account easily during the post treatment.
We use the fact that, below T=104 K (always true in neutral,
emitting regions), the cooling
rate of the primordial gas is negligible, and shock heating is limited in the low density diffuse regions of the IGM.
Consequently, we approximate the thermal evolution of the gas in the dynamical simulation as adiabatic.
We compute the variation of internal energy of a particle due to expansion or contraction
between two consecutive snapshots from the variation of the density:
where u is the internal energy and
However, if the variation in density between two snapshots is large, applying it all at once results in numerical instabilities. This happens when particles pass through or collapse into a halo. To avoid this, the density is interpolated gradually between two snapshots.
The other cooling and heating processes are then included self-consistently in the radiative transfer simulation. We use the cooling-heating rates in Cen (1992), and a minimum gas temperature of 1 K.
Table 2: The total ionizing luminosity of a star particle and escape fraction of simulations.
3.2.3 Source modeling
In this work we consider only stellar sources and do not study the influence of X-ray sources.
The decline of the quasar luminosity function at redshift z>3 suggests that stars were the dominant
source of ionizing photons during the EoR (Shapiro & Giroux 1987; or Faucher-Giguère et al. 2008, for recent observational evidence). However,
even in small quantities, X-ray sources have the potential to affect the
21 cm signal by heating the IGM.
Indeed X-ray photons can have a mean free path of several
through neutral hydrogen during the EoR: they
propagate through the ionization front out to the neutral regions. Using a homogeneous model Glover & Brand
(2003) find that a modest number of X-ray sources can raise the temperature of the IGM by several
tens of K. Moreover, Pritchard & Furlanetto (2007) show that the heating by X-rays
is actually not homogenous: it produces fluctuations in the gas temperature which leave their own imprint on
the 21 cm power spectrum. In this work, however, we want to focus on the specific influence of Ly-
pumping.
X-ray sources will be included in a future work.
All baryon particles have the same mass:
(resp.
)
for the
S20 (resp. S100) simulation.
Accordingly, one star particle corresponds in fact to a star cluster or a dwarf galaxy
so an IMF has to be assumed.
We choose a Salpeter IMF, with masses in the range 1
-100
.
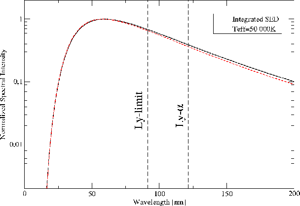
Then we compute the total luminosity and spectral energy distribution (SED) for one star particle
by integrating over the IMF. We use the table
in Aller (1982) to obtain the radius and
effective temperature of stars as a function of mass. The total ionizing luminosity (Table 2)
of a star particle yields one or two photons per hydrogen atom at
z=6.5 (Fig. 2).
The resulting SED is plotted in Fig. 3. It can be seen that it differs very little from a blackbody spectrum with
K effective temperature. Therefore our source model is roughly intermediate between PopII and PopIII stars.
![]() |
Figure 2: Top panel: evolution of the fraction of baryonic mass locked into stars. Stars are considered young for the first 5-20 Myr. Bottom panel: number of emitted photons per hydrogen atom. |
| Open with DEXTER | |
![]() |
Figure 3: Normalized spectral intensity as a function of wavelength. |
| Open with DEXTER | |
3.2.4 Calibrating the global ionization history
Before making a global calibration using the escape fraction, we need to consider the effect of the time evolution of the stellar population within one source particle. Massive stars contribute the most to the ionizing luminosity of the source, but live for a shorter time. We use a simple model: when a new source particle is created, we assign it a random lifetime between 5 Myr and 20 Myr as a source of ionizing photons. The randomization is useful because we obtain new sources only with each new dynamical snapshot; a fixed lifetime for all sources and a discreetly evolving number of sources with each new snapshot would produce distinct steps in the average ionizing flux. Globally, the average lifetime of the source is degenerate with the escape fraction as far as ionization history calibration is concerned, however, it allows us to account for the signature of local starbursts (in time and space) followed by quiescence. We plot the effect of considering a finite lifetime for the ionizing source on the star fraction history in Fig. 2. It can be seen that the young, ionizing star fraction fluctuates more strongly at high redshifts than the global star fraction. A combination of local starbursts followed by star formation quenching and insufficient mass resolution may be responsible for this effect.
By trial and error, we calibrated the escape fraction (Table 2) so that reionization is complete, at about
.
3.3 Lyman-
transfer
We run the Lyman-
simulations as a further post-treatment of the reionization simulations.
The time interval between two snapshots is typically 10 Myr at
,
during which the ionization
fronts travel a few hundred comoving kpc at most. We consider that this time interval is small enough
to permit a de facto interpolation of the quantities relevant for Lyman-
transfer:
gas density and ionization state.
Potentially, Lyman
series photons can heat up the gas (see references in
Semelin et al. 2007).
But heating occurs only at low temperatures (
10 K), where the gas pressure is insignificant.
Consequently, the feedback of Lyman-
photons on the dynamics is negligible.
However, in models with soft source spectra, where the efficient heating of low density
neutral regions by X-ray photons is absent, one consequence of including the heating by
Lyman-
photons is to increase moderately the temperature in the coolest regions.
We implemented a local Lyman-
heating using the following formula, derived from Eq. (47) and Fig. 3 in
Furlanetto & Pritchard (2006):
![]() |
(7) |
We checked that when the
Photons are emitted at frequencies between Ly-
and Ly-
.
The spectrum and luminosity of
the sources are computed with the method described in Sect. 2.2.3 for the ionizing continuum. In principle
higher Lyman series photons also contribute. Indeed as soon as a photon emitted in the continuum hits an
atom in a resonant upper
Lyman line, it cascades locally down the levels and is transformed into a local Ly-
photon. These
higher Lyman line photons are more concentrated around the sources since they need a smaller redshift
before they resonate with a line (see
e.g. Naoz & Barkana 2008). Overall, including the upper Lyman line photons would increase the
number of Ly-
photons by a factor of less than 2. From the results of the simulations we estimate
that this could shift the history of the average Ly-
coupling by
.
It would also
add some limited amount of power in the fluctuations. In this work
we include only the Ly-
line. Upper Lyman series lines will be included in a future work.
In the simulations, a fiducial number of
photons is used between two dynamical snapshots. As the
time interval between snapshots and the total source intensity varies, the physical content of the photons
also varies. The value of
,
dictated by the CPU cost of the simulations, is a lower limit for
statistical significance: indeed, with our current grid resolution of less than
12 particles per cell,
about
of the cells do not receive any photons between two snapshots. These cells are
small and are mostly located in moderate density filaments and low flux environments, far from the sources.
They are properly averaged with some of their neighbors when the fixed-grid maps are computed. To assess
the impact of this limited sampling we also ran a simulation with
photons between two
snapshots down to z=9.5 for the 20 h-1 Mpc box. In this case the fraction of unsampled
cells drops to ![]()
.
It is only when maps are drawn with thin slices,
,
that a difference can be seen.
3.4 Physics of the 21 cm emission
To compute the differential brightness temperature of the
emission in the optically thin limit of the
line,
we use the formula:
![]() |
|||
![]() |
(8) |
where
The spin temperature of hydrogen
is coupled to the CMB temperature
by
Thomson scattering of CMB photons, and to the kinetic temperature of the
gas
by collisions
and Ly-
pumping. As a result, the spin temperature can be written
(Furlanetto et al. 2006):
![]() |
(9) |
and
![]() |
(10) |
where
4 Analysis
We will focus our analysis on two aspects.
First, by comparing our two simulations, we will
evaluate the effect of numerical resolution and box size. Numerical resolution truncates the physics
at small scales: this mainly modifies the reionization history and geometry by removing small, dense
structures with high recombination rates. The limited box size, on the other hand, truncates large
scales and dampens the
brightness temperature power spectrum on corresponding wavenumbers.
The second axis of our analysis is to measure the effect of including an accurate treatment of the Wouthuysen-Field effect in computing the brightness temperature.
4.1 Evolution of sky-averaged quantities
4.1.1 Ionization fraction
The simplest way to characterize the global history of reionization is to compute the average
ionization fraction as a function of redshift. The mass weighted (
)
and volume weighted (
)
average ionization
fractions are shown in Fig. 4 for both simulations. For the volume
(resp. mass) average we use
the volume occupied by each particle derived from the SPH smoothing length (resp. the mass of each particle)
as weights in the averaging procedure. The main feature of this plot is that
the mass weighted averages are similar for the two simulations while the volume weighted averages
differ. Indeed, the star formation histories of the two simulations were calibrated to produce the same
number of ionizing photons at any redshift. As long as recombination is negligible, this should produce
identical mass weighted ionization fractions. It can be checked in Fig. 4 that below redshift
8 recombination becomes efficient in the S20 simulation, which contains denser small-scale
structures due to higher resolution, and the mass weighted ionization fraction drops below its S100
counterpart.
![]() |
Figure 4: Mass weighted and volume weighted averaged ionization fraction. |
| Open with DEXTER | |
The volume weighted ionization fractions differ at all redshifts between the two simulations,
because highly ionized regions of identical mass, close to the sources, are denser and occupy a
smaller volume in the more resolved S20 simulation. McQuinn et al. (2006) advocate the use of
the volume-averaged ionization fraction as an evolution variable instead of redshift. Indeed, depending
on arbitrary choices (all consistent with current observational constraints) for the source formation
history and source nature, reionization can begin at z=12, 15 or 20 and proceed differently. However,
for a fixed average ionization fraction, McQuinn et al. (2006) show that the brightness
temperature power spectrum depends weakly on the redshift at which this ionization fraction is achieved.
This is true if a modification of the source formation efficiency is the main cause of the change in redshift
for a fixed ionization fraction. If the change is caused by using a different source spectrum, or modifying the gas
sub-grid physics (e.g. an inhomogenous clumping factor), this may not be true anymore. We believe
that the averaged ionization factor is indeed a more relevant measure of the evolution of reionization than redshift
and we adopt their point of view. However, instead of the volume averaged ionization fraction, which
is well suited to comparing different models with the same underlying gas density field, we will use
the mass averaged ionization fraction which is better suited for the comparison of simulations with
different mass resolution. While the mass averaged ionization fraction is a suitable quantity
to track the progression of reionization, a volume average is more relevant to compute such observable
quantities as the
brightness temperature. Consequently, all quantities other than the ionization
fraction will be volume averaged.
We also computed the Thomson optical depth from the two simulations ignoring the presence of helium.
The values are
and
for S20 and S100 simulations respectively, i.e. within
of the WMAP3 value
(see Spergel et al. 2007).
![]() |
Figure 5:
Evolution of the volume averaged Lyman- |
| Open with DEXTER | |
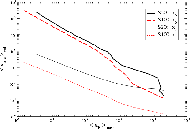
4.1.2 Spin temperature coupling coefficients
The spin temperature of neutral hydrogen,
,
is defined by Eq. (7) and depends on two coupling
coefficients,
for the Wouthuysen-Field coupling and
for collisional coupling. Until
now,
has never been computed consistently in simulations of the
emission. While
itself contains fluctuations which contribute to the power spectrum of the
signal,
we study first the evolution of the average value of the coefficients which tells us at which
stage in the reionization history the spin temperature can be considered fully coupled to the kinetic
temperature of the gas. The evolution of the volume averaged coefficients
and
is shown in Fig. 5, as
a function of
.
The first conclusion from Fig. 5 is that
is negligible compared to
except in the very early phase (
)
for the S20 simulation. Logically,
the S20 simulation, producing denser structures, has a higher
(indeed
,
and
in
Eq. (8) depend on the density). With a better mass resolution and even denser structures than in the S20 simulation,
would
still increase, and the ionization fraction when
starts to dominate would also increase.
The second piece of information that can be derived is the magnitude of the
error made by applying the usual assumption
.
When
,
the error
made on
by assuming
is smaller than ![]()
.
This corresponds
to
for the S20 simulation and
for the S100 simulation. It may appear that the full coupling occurs very early on. Let us emphasize, however, that
in this early phase there is a strong absorption signal (with our choice of source model) compared
with the weaker emission signal observed later on. In a source model with a harder spectrum
(to be studied in a future paper) we would have a weaker absorption signal. If the sources are still stars
(e.g. using a more top-heavy IMF) the full coupling would
also occur at a larger average ionization fraction since the ratio of ionizing to Lyman-alpha photons
would be larger.
![]() |
Figure 6:
Evolution of the neutral hydrogen spin temperature as a function of the average ionization fraction. The average
is computed either directly from the particle spin temperatures or from the volume averaged values of |
| Open with DEXTER | |
![]() |
Figure 7: The evolution of the volume averaged spin temperature, kinetic temperature, and CMB temperature is plotted as a function of the average ionization fraction. The quantities are plotted for both box sizes. |
| Open with DEXTER | |
![]() |
Figure 8: Evolution of the average differential brightness temperature for the S100 simulation. The average is computed in three different ways (see main text and legend). The blue curve is the most relevant direct average of the particle brightness temperature. |
| Open with DEXTER | |
![]() |
Figure 9: Comparison of the evolution of the average differential brightness temperature for the two box sizes. The average is computed in two different ways (see main text). |
| Open with DEXTER | |
4.1.3 Spin temperature
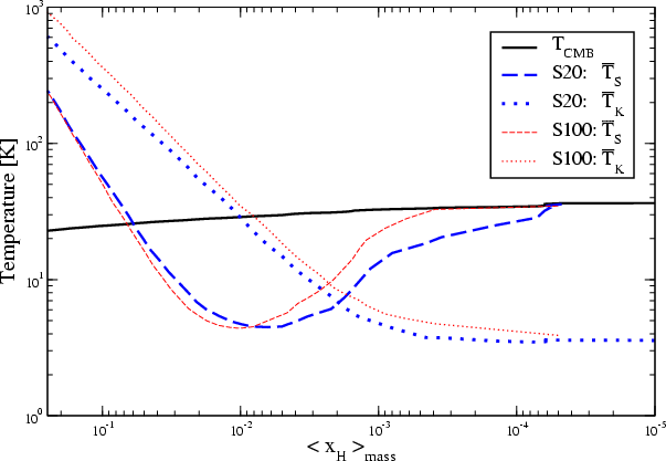
Figure 6 displays the average spin temperature for the
S20 simulation, with the average computed
in two different ways. First the spin temperature is computed using the volume averaged quantities
,
(and
), following Furlanetto et al. (2006) and Gnedin & Shaver (2004).
This quantity is denoted
.
Then the more relevant value,
,
is computed, as the direct volume average on
the particles of the spin temperature, i.e.
.
Figure 6 shows that there is a large difference
between the two definitions. This is mainly due to the fact that the spin temperature is computed through the weighted average of
inverse temperatures (Eq. (7)). This large difference propagates to the average brightness temperature. Consequently
we strongly advocate replacing the Furlanetto et al. average traditionally used to define the emission and absorption
regimes by the more relevant direct average of the spin/brightness temperature. Of course this is easily done only
for simulations. Let us mention that with the direct average, the spin temperature remains below the CMB temperature
at lower z.
Figure 7 compares the direct average of the particle spin temperature in the
two simulations: the
results are quite similar. The main difference is that the spin temperature starts to decouple from the CMB temperature
later in the S100 simulation. Indeed, we use periodic boundary conditions in the simulations. Thus the Lyman-
sources are more homogeneously distributed in the
box, which lacks large scale modes, than in
the
box (Barkana & Loeb 2005b). In the
box, large void regions
receive little Lyman-
flux. There, the spin temperature remains coupled to the CMB at lower redshifts.
4.1.4 Differential brightness temperature
The differential brightness temperature is plotted in Fig. 8 for the S100 simulation. The
average is computed in three different ways:
with
for each particle,
computing
for each particle using
,
and
,
using the same notations as for the spin temperature. In all these definitions we use a volume weighted average.
The first definition uses the common
assumption: as can be seen in the plot, it
fails at early times when the coupling is weak. The second definition (equivalent to Furlanetto et al.
2006) shows an emission and an absorption regime. However, with the more realistic third definition,
,
the emission regime disappears completely.
Indeed, absorption region have a strong signal which dominated over the weak,
signal of the emitting
regions. Of course, if X-ray sources were included, the cold neutral IGM would be pre-heated
and the absorption regions contribution would shrink much faster:
would show an
emission regime and the absorption regime would be weaker. Including shock heating would go in the same direction although
the magnitude of the change would be less homogenous and is more difficult to estimate.
To assess the effect of resolution and box size, we plot in Fig. 9 the direct
and
for both simulations. The overall behaviour is similar. In the S20
simulation the minimum of
occurs at a
average ionization fraction compared to a
ionization
fraction for the S100 simulation. This small difference is due in part to the slightly smaller coupling of the S100 simulation at equal ionization fraction. The values of the minimum
are not very different either. We
expect to find resolution effects and box size effects in the power spectra.
We have presented these average values to compare with previous studies. However, much information is erased when considering average quantities, which makes their interpretation of limited scope. We proceed now to present maps of the different quantities.
![]() |
Figure 10: Maps of the ionization fraction for the two simulations (right and left) at two different stages of reionization (above and below line), the WFCR and the HRR (see text for definition) and for two slice thicknesses (as labeled). The color scale is a linear function of the ionization fraction. |
| Open with DEXTER | |
![]() |
Figure 11:
Maps of the |
| Open with DEXTER | |
![]() |
Figure 12:
Differential brightness temperature maps for both box sizes and 3 different hypotheses for computing the spin
temperature (see main text and description in the figure). The redshift of the 6 top panels is chosen such that
|
| Open with DEXTER | |
4.2 Maps
4.2.1 Ionization fraction
Maps of the ionization fraction of hydrogen are presented in Fig. 10 for both box sizes at a redshift when
,
which we will call the Wouthuysen-Field coupling redshift (hereafter WFCR), and at a redshift when
,
which we will call the half reionization redshift (HRR). We can see that the WFCR correspond to
an early stage in the reionization history. The maps are presented
for two different
slice thicknesses:
and
.
The
slice corresponds to a bandwidth
MHz at a redshift between 6 and 10, an acceptable value for SKA. The
200 h-1 kpc slice is plotted to give a
feeling of how much power would be added at small scales by using narrower bandwidth: indeed, sharper
ionization fronts are found in this case. Also as expected the S100 maps show
coherent structures on scales up to
which cannot be accounted for in the S20 maps.
Usual effect of a lower mass resolution (S100 vs. S20) is to delay reionization. Indeed small mass halos form first and make a large contribution to the ionizing photon budget at early times (see Iliev et al. 2007). In our treatment, the delay is removed because we calibrated the source formation history of the S100 simulation on the S20 simulation by boosting the formation efficiency. However, this procedure can only account for unresolved halos located within more massive, resolved, proto-halos. The contribution from unresolved halos located in comparatively underdense regions could modify the morphology of the ionization maps during the early reionization history.
4.2.2 Lyman-
coupling
The influence of including a proper treatment of the Wouthuysen-Field effect on
the
signal is twofold. First, it
simply modifies the intensity of the signal, especially in the regions seen in absorption. This will be obvious
in the brightness temperature maps shown in Sect. 4.2.3. The second effect is to introduce a new source of fluctuations
in the signal, associated with the fluctuations in the local Ly-
flux. Figure 11 presents maps of
the
coefficient for both simulations at the WFCR.
Around the WFCR, the additional
fluctuations to the brightness temperature are expected to be maximal. On a large scale, the maps boil down to strong coupling regions
around sources, superimposed on a uniform weak coupling background. The signature of the added brightness temperature fluctuations will
be based on the typical sizes of the strong coupling regions and on the clustering and Poisson noise in the source
distribution. Keeping this in mind, it is interesting to notice that the strong coupling regions appear to be much smaller,
,
in the S20 simulation than in the S100 simulation where they extend over
.
To understand this
let us remember that we apply periodic boundary conditions to the radiative transfer code. As a result, any point in the
S20 simulation is surrounded by a rather homogeneous distribution of sources, with the closest source at most
away. This dampens the fluctuations in the Ly-
flux and washes out the outer parts of the
strong coupling regions. As a result, we expect to find more power at large scales in the added brightness temperature fluctuations in the
S100 simulation than in the S20 simulation.
The zoom on the source in the S20 simulation shows that the apparent spherical symmetry of the strong coupling regions
breaks down at small scales. Semelin et al. (2007) have shown that substantial asymmetry can be expected if
the density field of the gas is not homogeneous (e.g. presence of filaments). Let us notice, however, that the slice
thickness for the zoom is 100 h-1 kpc, while it is
for the other maps. With such a thin slice
the noise in the
evaluation (resulting of the finite number of photons used in the Monte Carlo scheme)
is not smoothed out at all. Any structure outside the main strong coupling region is mostly noise (visible on the color version only).
If structures exist in the
maps at scales smaller than
and with an amplitude of less than a factor of 3 above or below
the background, we will miss them in the noise or smooth them out. From a theoretical point of view it would be interesting
(but very costly) to produce maps with a lower noise level. However, from a practical point a view, these scales are below the
projected resolution of SKA.
4.2.3 Brightness temperature maps
The most common (and most drastic) approximation used to compute the brightness temperature is
(case 1).
In this
approximation no absorption region can exist. The second approach is to assume full Lyman-
coupling (
)
(case 2). The third approach, the one used in this paper, is to compute self-consistently the local values of
and derive accordingly the local values of
and
(case 3). We plot maps of the differential
brightness temperature for all three cases and for both simulation boxes at the WFCR in the 6 top panels of Fig. 12.
The thickness of the slice is
.
At this early redshift, when the two first approximations are hardly reliable, the differences are striking. Not
surprisingly case 1 fails completely: it is not tailored to handle absorption regions and predicts only emission. More
interesting, but also expected, case 2 overpredicts the strength of the absorption compared to case 3 (
instead of
)
by assuming full Wouthuysen-Field coupling. We used the same color scale for all maps to emphasize these
differences. The strong absorption signal observed in cases 2 and 3 is the consequence of our choice
of rather soft-spectrum sources. The neutral IGM undergoes very little pre-heating by UV and X rays. Let us emphasize
that the strength of the absorption signal is very sensitive to the thermal modeling of the gas when
,
which is not uncommon at this redshift with our choice of sources. Indeed, the included Ly-
heating, although very weak (at most a few K over the EoR), decreases the strength of the absorption signal by 50 to
.
If even a small fraction of hard-spectrum sources was included, the absorption strength would decrease and turn to emission at later redshifts.
The six bottom panels of Fig. 12 shows the same maps for the HRR. At this redshift we have
for both simulations. Consequently the maps for cases 2 and 3 are almost identical. Comparing
with Fig. 10 it can be checked that the regions which are still seen in absorption are the neutral regions not too
close to the ionization fronts. Comparing the absorption regions in the S20 and in the S100 maps, it can be seen that the signal
is somewhat stronger in the S20 simulation. We have determined that a lower gas kinetic temperature in the S20 simulation, in the voids,
is responsible for this effect. Since we are talking about temperatures lower than 10 K, a difference of a few K
produce a large effect on the differential brightness temperature. The
S20 simulation has a higher mass resolution which creates higher
density contrasts. In the voids, the density is lower and the adiabatic expansion stronger: the resulting temperature is lower.
Obviously, in case 1, the absorption regions turn to emission. Since emission saturates quickly at a few tens of mK, the statistical property of the signal such as the average rms fluctuations of the brightness temperature will be weaker. At such an advanced stage in the reionization history the assumption made in case 1 may actually be more realistic: cases 2 and 3 would probably look more like case 1 if we included X-ray sources.
![]() |
Figure 13:
Ratio of the differential brightness temperature computed with the fluctuating local
value of |
| Open with DEXTER | |
Using a homogeneous average value for
to account for the Wouthuysen-field effect (for example a calibrated function of
)
is much easier than computing the full radiative transfer in the line. So it is important to assess the benefit reaped from doing the full treatment. The
field induces its
own fluctuation in the brightness temperature signal. Figure 13 illustrates this point. It shows a map of the ratio of the
differential brightness temperatures computed with the fluctuating local value
of
on the one hand and the homogeneous, average value
of
on the other hand. This map is computed at the WFCR, for the
S100 simulation. As expected,
the ratio is mostly larger than one inside the
contour and lower outside. Moreover the two
differential brightness temperatures differ by up to 30%. Consequently it appears that, at these early redshifts when the Lyman-
coupling is not full, it is worth doing the full Lyman-
transfer.
5 Power spectrum
Using the power spectrum as a statistical tool for analyzing the EoR
signal is natural because it can be directly
computed from the visibilities measured by the radio interferometers such as LOFAR, MWA or SKA.
Morales & Hewitt (2004) have shown that using the full 3D power spectrum rather than the 2D angular
power spectrum will improve the sensitivity of the observations and make the process of foreground removal easier.
![]() |
Figure 14:
3D isotropic power spectrum of
|
| Open with DEXTER | |
![]() |
Figure 15:
Comparison of the 3D isotropic dimensional power spectrum of the differential brightness temperature with 4 different assumptions used to compute the spin temperature (see legend and main text). The spectra are computed for the
S100 simulation. The top panel is for the redshift when
|
| Open with DEXTER | |
![]() |
Figure 16:
3D isotropic dimensional power spectrum of the differential brightness temperature for the two box sizes. The
stage of reionization is indicated in each panel. The four left panels assume
|
| Open with DEXTER | |
Strength of the Lyman-
coupling fluctuations
Figure 14
shows the power spectrum of the quantity
for both simulations at the WFCR. Indeed directly plotting the spectrum
of
is not interesting: the
field is dominated by the very
strong values near the sources and has a power spectrum similar to that of a distribution of Dirac functions. However, these
very high values of
are not especially interesting: they are just values for which the coupling saturates.
,
which is just the weight applied to the inverse kinetic temperature in Eq. (9) (neglecting the contribution of
),
varies between 0 and 1 and contains more relevant information about the magnitude of the coupling. As can be seen
in Fig. 14, the point sources still dominate the small scales. More interesting is the
increase of the power spectrum toward large scales, which is barely visible for the S20 simulation but obvious in the S100
simulation. It is likely that this increase tracks the Poisson noise in the large scale clustering of the sources
and void distribution.
For the S100 simulation, the spectrum shows a local maximum at scales
.
Whether this maximum is
real or only the effect of the box size is an interesting question. Only simulations with larger boxes will give the
answer.
Differential brightness temperature
In this section, we will compute directly the dimensional power spectrum of
.
Various authors, studying the emission regime, compute the power spectrum of
divided by the
average, redshift dependent, emission temperature
.
When
we include the absorption regime, T0 has no special significance. Using the actual average
of the box would be no better: having both emission and absorption, it holds no information about the
amplitude of the fluctuations and may even be zero at some redshift. Using the actual rms average at each redshift would
indeed be more relevant as it does reflect the amplitude of the fluctuations. However it would erase the information
about the absolute amplitude at a given scale, at different redshifts. Consequently, we decided to plot the direct
dimensional power spectrum of the differential brightness temperature.
Figure 15 shows the three-dimensional isotropic power spectrum of
as
defined by Eq. (8) for the S100 simulation, at the WFCR (top panel) and the HRR (bottom panel),
in four different cases for the computation of
the spin temperature. In case 1, we assume that
,
in case 2
,
in case 3 we use
Eq. (9) with the box
averaged value of
,
and finally in case 4, we use Eq. (9) with the local values of
.
As expected, the larger
differences appear at the WFCR, where the amplitude of the power spectrum changes by more than a factor of 10 depending
on the case. Case 1, ignoring the possibility of absorption, strongly underestimates the amplitude of the power spectrum,
while case 2, assuming full coupling between spin temperature and gas kinetic temperature, overestimates the amplitude.
The amplitudes for cases 3 and 4 are similar (and more realistic). However,
case 4 shows more power at small scales and
less power at large scales than case 3. Indeed, as illustrated in Fig. 13, case 3 uses a larger value of
far from the sources, thus produces a stronger absorption in large scale voids and more power at large scale
in the spectrum than case 4. The behaviour at small scales arises from the presence of the Ly-
halos around
the sources in case 4. Semelin et al. (2007) have shown that the profile of these halos can be as steep as r-3 if the gas has an isothermal profile. Even at distances of a few comoving Mpc, where the gas profile flattens,
the Ly-
halo profile behaves as
r-2.3 (Semelin et al. 2007; Chuzhoy & Zheng
2007). The contribution from these sharp
fluctuations explains the increase in the case 4
power spectrum at small scales. At the HRR (bottom panel) the situation is simpler. The Wouthuysen-Field coupling
is very strong and cases 2, 3 and 4 are almost indistinguishable. All three have much larger amplitude than case 1
which is related to the fact that absorption can produce a larger absolute signal than emission, thus larger fluctuations.
It is interesting to notice that the difference in amplitude is especially large at small scales. The contribution of
the regions straddling the sharp ionization front is presumably responsible for this feature. In case 1, the brightness
temperature rises from
in the fully ionized region inside the ionization front to a moderate
emission outside of the front. In all other cases, the temperature first rises to a moderate emission in the regions just
outside the ionization front, preheated above the CMB temperature by the hard part of the source spectrum, then drops to
strong absorption farther out in the cool voids. The thickness of the preheated regions depends strongly on the source
modeling: in our case it is less than
.
With a harder spectrum these regions would be thicker, and
with X-ray sources they would be erased and the corresponding feature absent in the power spectrum.
Figure 16 shows the
power spectrum of both the S20 and S100 simulations at four different
stages of reionization (the WFCR,
,
,
and
), for case 1 (the four panels on the left) and case 4 (the four panels on the right). Let us
first comment on how the spectra for the two simulations connect. In most cases the large scales in the S20 simulation have
less power than the same scales in the S100 simulation. This is the reason why
EoR simulations have to use large boxes: to
sample well enough the large scale clustering properties of the source distribution. There is however one exception,
the
(HRR) in case 4, where the S20 simulation has more power even on its large scales. This
is related to the fact, already discussed in Sect. 4.2.3, that the absorption in the voids is stronger in the
S20 simulation and thus the fluctuations are amplified. A second point is that at the WFCR the case 4 spectra have a
more complex signature and a larger amplitude than the case 1 spectra which merely track the density fluctuations. Taking
absorption and Ly-
coupling correctly into account is essential at this early redshift. A third point is that
we reproduce the behaviour noted by Mellema et al. (2006b) and Lidz et al. (2007b), that at scales
of a few comoving Mpc the amplitude of
the power spectrum reaches a maximum at the HRR, then decreases. This is true for case 1, which was used by Lidz et al. In
case 4, with the full Ly-
modeling, it looks like the maximum shifts to smaller values of the average ionization
fraction.
6 Conclusions
In this work, we have presented simulations of the
emission from the EoR. The first hydrodynamic simulations were run
in cosmological boxes of sizes
and
with
particles. Then, using
our adaptive Monte-Carlo code LICORICE, we ran, in post-treatment, radiative transfer simulations for the ionizing
continuum. Finally
cosmological radiative transfer simulations in the Lyman-
line were performed. The latter are necessary to compute the
neutral hydrogen spin temperature without making any assumption about the strength of the coupling. This approach has not been followed before.
We model the sources of both ionizing continuum
and Lyman-
photons as stars, using a Salpeter IMF cut off at
100
.
The
simulation
star formation history is calibrated on the
.
The photon escape fraction is calibrated independently
in both simulations to produce a Thomson scattering optical depth of CMB photons within
of the WMAP3 value, and
a complete reionization at redshift
.
We have not included X-ray sources. If we had they would heat up the IGM and
reduce the contribution of absorption vs emission in the signal.
We first computed the evolution of a number of box-averaged quantities as functions of the average ionization
fraction. We find that, with our source modeling, the average Lyman-
coupling coefficient
reaches 1 for small values of the ionization fraction (a few 10-3). However full coupling (
)
is achieved
only for ionization fractions greater than 10-1. This is in line with expectations. Next we plotted the
average spin temperature and differential brightness temperature. It was shown that the results are very different
depending on how the average is computed: directly on the spin
brightness temperature of the particles, or from the
volume-averaged values of the gas kinetic temperature and coupling coefficients. The latter is often used, but the
former is more relevant. The direct average tends to erase the signal as regions in absorption have a much
stronger signal than regions in emission. Maps of the
emission confirm that the different assumptions made in
computing the spin temperature lead to very different levels of the signal. The
assumption is not relevant
at all for
our choice of source modeling. It would be more relevant at not-too-early redshifts if we included X-ray sources.
As expected the full coupling assumption,
,
is reasonable except in the
early phase of reionization. In this early phase, we illustrate how computing the local values of
produces
large fluctuations in the brightness temperature compared to using a redshift-dependent uniform value.
Finally the 3D dimensional power spectrum of the differential brightness temperature was plotted, with different
assumptions in computing the spin temperature, at various stages of reionization and for the two box sizes. The first
important (and expected) result is that including the possibility of a signal seen in absorption adds a large amount of
amplitude to the power spectrum. This obviously depends on the choice of the source model. Then, in the early phase of
reionization (
), using the local value of the Lyman-
coupling changes the spectrum
by transferring power from large scales to small scales. We reproduce the behaviour shown by Mellema et al. (2006b) and Lidz et al.
(2007b): a maximum of the amplitude at
for the scales around
.
However, when absorption and the exact computation of the Lyman-
coupling are included,
this maximum is shifted to smaller ionization fractions.
As mentioned several times, the first modification to our model that will be investigated is a modification of the source model. Including even a limited number of X-ray sources such as quasars would more efficiently preheat the regions outside of the ionization front, reducing the strength of the absorption regime, or even turning it to emission. This will be investigated in a forthcoming paper.
Another interesting development of this work is to include the anisotropic effect of the peculiar velocities on the
emission (Barkana & Loeb 2005a). Using the anisotropy, it is possible to separate the contribution
of the velocities to the
fluctuations from the other contributions and to derive constraints on the cosmological
parameters. Since this effect is important mostly in the early reionization phase and on small scales, it is a logical
follow-up of including the full modeling of the Lyman-
coupling.
The implication of this work for the design of the future radio interferometers is simply to emphasize the potential for the detection of the signal during the early phase of reionization when the fluctuations in the signal are strong. Unfortunately, translating ``early phase'' into a numerical value for the redshift depends crucially on the star formation history at these high redshifts, of which very little is known. From the value of the Thomson scattering optical depth, it is likely, however, that this early phase occurs at z > 12.
Acknowledgements
This work was realized in the context of the SKADS and HORIZON projects. PDM acknowledges support from a SKADS post-doctoral fellowship. The author thanks the anonymous referee for helpful comments and improvements.
References
- Ahn, S.-H., Lee, H.-W., & Lee H. M. 2001, ApJ, 554, 604 [NASA ADS] [CrossRef]
- Ahn, S.-H., Lee, H.-W., & Lee, H. M. 2002, ApJ, 567, 922 [NASA ADS] [CrossRef] (In the text)
- Aller, L. H. Numerical Data and Functional Relationships in Science and Technology - New Series Gruppe/Group 6 Astronomy and Astrophysics Volume 2 (Berlin, Heidelberg, New York: Springer-Verlag) (In the text)
- Altay, G., Croft, R. A. C., & Pelupssy, I. 2008, MNRAS, 386, 1931 [NASA ADS] [CrossRef] (In the text)
- Avery, L. W., & House, L. L. 1968, ApJ, 152, 493 [NASA ADS] [CrossRef] (In the text)
- Barkana, R., & Loeb, A. 2004, ApJ, 609, 474 [NASA ADS] [CrossRef] (In the text)
- Barkana, R., & Loeb, A. 2005a, ApJ, 624, L65 [NASA ADS] [CrossRef] (In the text)
- Barkana, R., & Loeb, A. 2005b, ApJ, 626, 1 [NASA ADS] [CrossRef] (In the text)
- Bertschinger, E. 2001, ApJS, 137, 1 [NASA ADS] [CrossRef] (In the text)
- Cantalupo, S., Porciani, C., Lilly, S., & Miniati, F. 2005, ApJ, 628, 61 [NASA ADS] [CrossRef] (In the text)
- Cen, R. 1992, ApJS, 78, 341 [NASA ADS] [CrossRef] (In the text)
- Chuzhoy, L., & Shapiro, P. R. 2006, ApJ, 651, 1 [NASA ADS] [CrossRef] (In the text)
- Chuzhoy, L., & Zheng, Z. 2007, ApJ, 670, 912 [NASA ADS] [CrossRef] (In the text)
- Ciardi, B., & Madau., P. 2003, ApJ, 596, 1 [NASA ADS] [CrossRef] (In the text)
- Ciardi, B., Scannapieco, E., Stoehr, F., et al. 2006, MNRAS, 366, 689 [NASA ADS] [CrossRef] (In the text)
- Crocce, M., Pueblas, S., & Scoccimarro, R. 2006, MNRAS, 373, 369 [NASA ADS] [CrossRef] (In the text)
- Dijkstra, M., Haiman, Z., & Spaans, M. 2006, ApJ, 649, 14 [NASA ADS] [CrossRef] (In the text)
- Fan, X., Carilli, C. L., & Keating, B. 2006, ARA&A, 44, 415 [NASA ADS] [CrossRef] (In the text)
- Faucher-Giguère, C.-A., Lidz, A., Hernquist, L., & Zaldarriaga, M. 2008, ApJ, 682, L9 [NASA ADS] [CrossRef] (In the text)
- Field, G. B. 1958, Proc. IRE, 46, 240 [CrossRef] (In the text)
- Furlanetto, S. R., & Oh, S. P. 2006, ApJ, 652, 849 [NASA ADS] [CrossRef] (In the text)
- Furlanetto, S. R., & Pritchard, J. R. 2006, MNRAS, 372, 1093 [NASA ADS] [CrossRef] (In the text)
- Furlanetto, S. R., Sokasian, A., & Hernquist, L. 2004, MNRAS, 347, 187 [NASA ADS] [CrossRef] (In the text)
- Furlanetto, S. R., Oh, S. P., & Briggs, F. H. 2006, PhR, 433, 181 [NASA ADS] (In the text)
- Glover, S. C. O., & Brand, P. W. J. L. 2003, MNRAS, 340, 210 [NASA ADS] [CrossRef] (In the text)
- Gnedin, N. Y., & Ostriker, J. P. 1997, ApJ, 486, 581 [NASA ADS] [CrossRef] (In the text)
- Gnedin, N. Y., & Abel, T. 2001, NewA, 6, 437 [NASA ADS] [CrossRef] (In the text)
- Gnedin, N. Y., & Shaver, P. A. 2004, ApJ, 608, 611 [NASA ADS] [CrossRef] (In the text)
- Haardt, F., & Madau, P. 1996, ApJ, 461, 20 [NASA ADS] [CrossRef] (In the text)
- Gunn, J. E., & Peterson, B. A. 1965, ApJ, 142, 1633 [NASA ADS] [CrossRef] (In the text)
- Hernquist, L., & Katz, N. 1989, ApJS, 70, 419 [NASA ADS] [CrossRef] (In the text)
- Iliev, I. T., Shapiro, P. R., Ferrara, A., & Martel, H. 2002, ApJ, 573, L123 [NASA ADS] [CrossRef] (In the text)
- Iliev, I. T., Mellema, G., Pen, U.-L., et al. 2006, MNRAS, 369, 1625 [NASA ADS] [CrossRef] (In the text)
- Iliev, I. T., Mallema, G., Shapiro, P. R., & Pen, U. 2007, MNRAS, 376, 534 [NASA ADS] [CrossRef] (In the text)
- Iliev, I. T., Mellema, G., Pen, U.-L., Bond, J. R., & Shapiro, P. R. 2008, MNRAS, 384, 863 [NASA ADS] [CrossRef] (In the text)
- Katz, N., Weinberg, D. H., & Hernquist, L. 1996, ApJS, 105, 19 [NASA ADS] [CrossRef] (In the text)
- Komatsu, E., Dunkley, J., Nolta, M. R., et al. 2008 [arXiv:0803.0547] (In the text)
- Kuhlen, M., Madau, P., & Montgomery, R. 2006, ApJ, 637, L1 [NASA ADS] [CrossRef] (In the text)
- Lidz, A., Zahn, O., McQuinn, M., et al. 2007a, ApJ, 659, 865 [NASA ADS] [CrossRef] (In the text)
- Lidz, A., Zahn, O., McQuinn, M., Zaldarriaga, M., & Hernquist, L. 2007b [arXiv:0711.4373] (In the text)
- Liszt, H. 2001, A&A, 371, 698 [NASA ADS] [CrossRef] [EDP Sciences] (In the text)
- Loeb, A., & Rybicki, G. 1999, ApJ, 524, 527 [CrossRef] (In the text)
- Madau, P., Meiksin, A., & Rees, M. J. 1997, ApJ, 475, 429 [CrossRef] (In the text)
- Maselli, A., Ferrara, A., & Ciardi, B. 2003, MNRAS, 345, 379 [NASA ADS] [CrossRef] (In the text)
- McQuinn, M., Zahn, O., Zaldarriaga, M., Hernquist, L., & Furlanetto, S. 2006, ApJ, 653, 815 [NASA ADS] [CrossRef] (In the text)
- McQuinn, M., Lidz, A., Zahn, O., et al. 2007, MNRAS, 377, 1043 [NASA ADS] [CrossRef] (In the text)
- Mellema, G., Iliev, I. T., Alvarez, M. A., & Shapiro, P. R. 2006a, NewA, 11, 374 [NASA ADS] [CrossRef] (In the text)
- Mellema, G., Iliev, I. T., Pen, U.-L., & Shapiro, P. R. 2006b, MNRAS, 372, 679 [NASA ADS] [CrossRef] (In the text)
- Metcalf, R. B., & White, S. D. M. 2007, MNRAS, 381, 447 [NASA ADS] [CrossRef] (In the text)
- Mesinger, A., & Furlanetto, S. 2007, ApJ, 669, 663 [NASA ADS] [CrossRef] (In the text)
- Monaghan, J. J. 1992, ARA&A, 30, 543 [NASA ADS] [CrossRef] (In the text)
- Morales, M., & Hewitt, J. 2004, ApJ, 615, 7 [NASA ADS] [CrossRef] (In the text)
- Nakamoto, T., Umemura, M., & Susa, H. 2001, MNRAS, 321, 593 [NASA ADS] [CrossRef] (In the text)
- Naoz, S., & Barkana, R. 2008, MNRAS, 385, L63 [NASA ADS] (In the text)
- Pawlik, A. H., & Schaye, J. 2008, MNRAS, 389, 651 [NASA ADS] [CrossRef] (In the text)
- Pritchard, J., & Furlanetto, S. R. 2007, MNRAS, 376, 1680 [NASA ADS] [CrossRef] (In the text)
- Rasera, Y., & Teyssier, R. 2006, A&A, 445, 1 [NASA ADS] [CrossRef] [EDP Sciences] (In the text)
- Razoumov, A. O., & Cardall, C. Y. 2005, MNRAS, 362, 1413 [NASA ADS] [CrossRef] (In the text)
- Rijkhorst, E.-J., Plewa, T., Dubey, A., & Mellema, G. 2006, A&A, 452, 907 [NASA ADS] [CrossRef] [EDP Sciences] (In the text)
- Salvaterra, R., Ciardi, B., Ferrara, A., & Baccigalupi, C. 2005, MNRAS, 360, 1063 [NASA ADS] [CrossRef] (In the text)
- Santos, M. G., Amblard, A., Pritchard, J., et al. 2007 [arXiv:0708.2424] (In the text)
- Seager, S., Sasselov, D., & Scott, D. 1999, ApJ, 523, L1 [CrossRef] (In the text)
- Semelin, B., Combes, F., & Baek, S. 2007, A&A, 474, 365 [NASA ADS] [CrossRef] [EDP Sciences] (In the text)
- Shapiro, P. R., & Giroux, M. L. 1987, ApJ, 321, L107 [NASA ADS] [CrossRef] (In the text)
- Shapiro, P. R., Ahn, K., Alvarez, M. A., et al. 2006, ApJ, 646, 681 [NASA ADS] [CrossRef] (In the text)
- Spergel, D. N., Bean, R., Doré, O., et al. 2007, ApJS, 170, 377 [NASA ADS] [CrossRef] (In the text)
- Spitzer, L. 1978, Physical Processes in the Interstellar Medium (New York: Wiley) (In the text)
- Springel, V., & Hernquist, L. 2003, MNRAS, 339, 289 [NASA ADS] [CrossRef] (In the text)
- Springel, V. 2005, MNRAS, 364, 1105 [NASA ADS] [CrossRef] (In the text)
- Susa, H. 2006, PASJ, 58, 445 [NASA ADS] (In the text)
- Tasitsiomi, A. 2006, ApJ, 645, 792 [NASA ADS] [CrossRef] (In the text)
- Theuns, T., Leonard, A., Efstathiou, G., Pearce, F. R., & Thomas, P. A. 1998, MNRAS, 301, 478 [CrossRef] (In the text)
- Trac, H., & Cen, R. 2007, ApJ, 671, 1 [NASA ADS] [CrossRef] (In the text)
- Valdés, M., Ciardi, B., Ferrara, A., Johnston-Hollitt, M., & Róttgering, H. 2006, MNRAS, 369, L66 [NASA ADS] (In the text)
- Verhamme, A., Schaerer, D., & Maselli, A. 2006, A&A, 460, 397 [NASA ADS] [CrossRef] [EDP Sciences] (In the text)
- Whalen, D., & Norman, M. L. 2006, ApJS, 162, 281 [NASA ADS] [CrossRef] (In the text)
- Wouthuysen, S. A. 1952, AJ, 57, 31 [CrossRef] (In the text)
- Zahn, O., Lidz, A., McQuinn, M., et al. 2007, ApJ, 654, 12 [NASA ADS] [CrossRef] (In the text)
- Zheng, Z., & Miralda-Escudé, J. 2002, ApJ, 578, 33 [NASA ADS] [CrossRef] (In the text)
Footnotes
All Tables
Table 1: Mass and spatial resolution for the two simulations S20 and S100.
Table 2: The total ionizing luminosity of a star particle and escape fraction of simulations.
All Figures
![]() |
Figure 1: Schematic representation of the different time steps used in LICORICE. |
| Open with DEXTER | |
| In the text | |
![]() |
Figure 2: Top panel: evolution of the fraction of baryonic mass locked into stars. Stars are considered young for the first 5-20 Myr. Bottom panel: number of emitted photons per hydrogen atom. |
| Open with DEXTER | |
| In the text | |
![]() |
Figure 3: Normalized spectral intensity as a function of wavelength. |
| Open with DEXTER | |
| In the text | |
![]() |
Figure 4: Mass weighted and volume weighted averaged ionization fraction. |
| Open with DEXTER | |
| In the text | |
![]() |
Figure 5:
Evolution of the volume averaged Lyman- |
| Open with DEXTER | |
| In the text | |
![]() |
Figure 6:
Evolution of the neutral hydrogen spin temperature as a function of the average ionization fraction. The average
is computed either directly from the particle spin temperatures or from the volume averaged values of |
| Open with DEXTER | |
| In the text | |
![]() |
Figure 7: The evolution of the volume averaged spin temperature, kinetic temperature, and CMB temperature is plotted as a function of the average ionization fraction. The quantities are plotted for both box sizes. |
| Open with DEXTER | |
| In the text | |
![]() |
Figure 8: Evolution of the average differential brightness temperature for the S100 simulation. The average is computed in three different ways (see main text and legend). The blue curve is the most relevant direct average of the particle brightness temperature. |
| Open with DEXTER | |
| In the text | |
![]() |
Figure 9: Comparison of the evolution of the average differential brightness temperature for the two box sizes. The average is computed in two different ways (see main text). |
| Open with DEXTER | |
| In the text | |
![]() |
Figure 10: Maps of the ionization fraction for the two simulations (right and left) at two different stages of reionization (above and below line), the WFCR and the HRR (see text for definition) and for two slice thicknesses (as labeled). The color scale is a linear function of the ionization fraction. |
| Open with DEXTER | |
| In the text | |
![]() |
Figure 11:
Maps of the |
| Open with DEXTER | |
| In the text | |
![]() |
Figure 12:
Differential brightness temperature maps for both box sizes and 3 different hypotheses for computing the spin
temperature (see main text and description in the figure). The redshift of the 6 top panels is chosen such that
|
| Open with DEXTER | |
| In the text | |
![]() |
Figure 13:
Ratio of the differential brightness temperature computed with the fluctuating local
value of |
| Open with DEXTER | |
| In the text | |
![]() |
Figure 14:
3D isotropic power spectrum of
|
| Open with DEXTER | |
| In the text | |
![]() |
Figure 15:
Comparison of the 3D isotropic dimensional power spectrum of the differential brightness temperature with 4 different assumptions used to compute the spin temperature (see legend and main text). The spectra are computed for the
S100 simulation. The top panel is for the redshift when
|
| Open with DEXTER | |
| In the text | |
![]() |
Figure 16:
3D isotropic dimensional power spectrum of the differential brightness temperature for the two box sizes. The
stage of reionization is indicated in each panel. The four left panels assume
|
| Open with DEXTER | |
| In the text | |
Copyright ESO 2009
Current usage metrics show cumulative count of Article Views (full-text article views including HTML views, PDF and ePub downloads, according to the available data) and Abstracts Views on Vision4Press platform.
Data correspond to usage on the plateform after 2015. The current usage metrics is available 48-96 hours after online publication and is updated daily on week days.
Initial download of the metrics may take a while.






![\begin{figure}
\par\resizebox{9cm}{!}{\includegraphics[angle=270]{Image/0757_02.ps}}
\end{figure}](/articles/aa/full_html/2009/08/aa10757-08/Timg105.gif)






![\begin{figure}
\par\includegraphics[width=8.8cm,clip]{Image/0757_04.eps}
\end{figure}](/articles/aa/full_html/2009/08/aa10757-08/Timg135.gif)
![\begin{figure}
\par\resizebox{9cm}{!}{\includegraphics[angle=-90]{Image/0757_05.eps}}
\end{figure}](/articles/aa/full_html/2009/08/aa10757-08/Timg140.gif)
![\begin{figure}
\par\resizebox{9cm}{!}{\includegraphics[angle=-90]{Image/0757_06.eps}}
\end{figure}](/articles/aa/full_html/2009/08/aa10757-08/Timg149.gif)
![\begin{figure}
\par\resizebox{9cm}{!}{\includegraphics[angle=-90]{Image/0757_07.eps}}
\end{figure}](/articles/aa/full_html/2009/08/aa10757-08/Timg150.gif)
![\begin{figure}
\par\resizebox{9cm}{!}{\includegraphics[angle=-90]{Image/0757_08.eps}}
\end{figure}](/articles/aa/full_html/2009/08/aa10757-08/Timg151.gif)
![\begin{figure}
\par\resizebox{9cm}{!}{\includegraphics[angle=-90]{Image/0757_09.eps}}
\end{figure}](/articles/aa/full_html/2009/08/aa10757-08/Timg152.gif)
![\begin{figure}
\par\begin{array}[t]{ccc}
\resizebox{7.5cm}{!}{\includegraphics[a...
....5cm}{!}{\includegraphics[angle=270]{Image/0757_15.eps}}\end{array}
\end{figure}](/articles/aa/full_html/2009/08/aa10757-08/Timg162.gif)

![\begin{figure}
\par\hspace*{2mm}\begin{array}[t]{\vert c\vert c\vert c\vert}
\hl...
...e=270]{Image/0757_28.eps}}\\ [2mm]
\hline
\end{array}\vspace*{5mm}\end{figure}](/articles/aa/full_html/2009/08/aa10757-08/Timg167.gif)

![\begin{figure}
\par\includegraphics[scale=0.3,clip]{powerspec/0757_30.eps}\\\end{figure}](/articles/aa/full_html/2009/08/aa10757-08/Timg181.gif)
![\begin{figure}
\par {\begin{array}[t]{c}
\includegraphics[scale=0.3,clip]{powers...
...udegraphics[scale=0.3,clip]{powerspec/0757_32.eps}\\
\end{array}}\end{figure}](/articles/aa/full_html/2009/08/aa10757-08/Timg184.gif)
![\begin{figure}
\par {\begin{array}[t]{cc}
\includegraphics[scale=0.7,angle=-90]{...
...udegraphics[scale=0.7,angle=-90]{powerspec/0757_34.ps}\end{array}}\end{figure}](/articles/aa/full_html/2009/08/aa10757-08/Timg185.gif)