| Issue |
A&A
Volume 495, Number 2, February IV 2009
|
|
|---|---|---|
| Page(s) | 561 - 569 | |
| Section | Stellar structure and evolution | |
| DOI | https://doi.org/10.1051/0004-6361:200811244 | |
| Published online | 20 January 2009 | |
Post common envelope binaries from SDSS
IV. SDSS J121258.25-012310.1, a new eclipsing system![[*]](/icons/foot_motif.gif)
A. Nebot Gómez-Morán1 - A. D. Schwope1 - M. R. Schreiber2 - B. T. Gänsicke3 - S. Pyrzas3 - R. Schwarz1 - J. Southworth3 - J. Kohnert1 - J. Vogel1 - M. Krumpe1 - P. Rodríguez-Gil4
1 - Astrophysikalisches Institut Potsdam,
An der Sternwarte 16, 14482 Potsdam, Germany
2 - Departamento de Fisica y Astronomia, Universidad de
Valparaiso, Avenida Gran Bretana 1111, Valparaiso, Chile
3 -
Department of Physics, University of Warwick, Coventry CV4 7AL,
UK
4 -
Instituto de Astrofísica de Canarias, Vía Láctea, s/n, La
Laguna, 38205, Tenerife, Spain
Received 28 October 2008 / Accepted 2 January 2009
Abstract
From optical photometry we show that SDSS J121258.25-012310.1 is a new eclipsing, post common-envelope binary
with an orbital period of 8.06 h and an eclipse length of 23 min. We observed the object
over 11 nights in different bands and determined the ephemeris of the eclipse to
HJD
,
where numbers in parenthesis indicate the
uncertainties
in the last digit. The depth of the eclipse is
mag in the V band,
mag in the R band and
mag in the I band. From spectroscopic observations we measured the
semi-amplitude of the radial velocity
km s-1 for the secondary star.
The stellar and binary parameters of the system were constrained from a) fitting the SDSS
composite spectrum of the binary, b) using a K-band luminosty-mass relation
for the secondary star, and c) from detailed analyses of the eclipse light
curve. The white dwarf has an
effective temperature of
K, and its surface gravity is
.
We estimate that the spectral type of the red dwarf is
and the
distance to the system is
parsec. The mass of the secondary star
is estimated to be in the
range
, while the mass of the white dwarf is most
likely
.
From an empirical mass-radius
relation we estimate the radius of the red dwarf to be in the range
0.28-0.31
, whereas we get
from a theoretical mass-radius realation.
Finally we discuss the spectral energy distribution and the likely
evolutionary state of SDSS1212-0123.
Key words: binaries: close - binaries: eclipsing - novae, cataclysmic variables
1 Introduction
Most stars are found in binary or multiple star systems and a large fraction of binaries will interact at some point in their lives. Interaction depends on initial separation, relative masses of the components, and their evolutionary state. When the initial orbital period is less thanThough theories for the CE phase exist it is still poorly understood. The efficiency of mass ejection in the CE with respect to the masses of the components, their evolutionary state and the orbital separation is uncertain (Politano & Weiler 2007; Taam & Ricker 2006). White dwarf plus main sequence (WDMS) binaries are a perfect test laboratory for studying the current population synthesis models, because they are numerous, their stellar components are well understood in terms of their single evolution and they are not accreting, which would increase the complexity. The number of PCEBs with well-defined parameters is still small, although it has increased since Schreiber & Gänsicke (2003), from 30 to almost 50 systems (Shimansky et al. 2006; Gänsicke et al. 2004; van den Besselaar et al. 2007; Tappert et al. 2007; Schreiber et al. 2008; Steinfadt et al. 2008; Morales-Rueda et al. 2005; Aungwerojwit et al. 2007; Rebassa-Mansergas et al. 2008).
In this paper we report the discovery of a new eclipsing PCEB.
In our ongoing search for PCEBs among white-dwarf/main-sequence binaries
(Schreiber et al. 2008; Rebassa-Mansergas et al. 2007,2008), SDSS J121258.25-012310.1 (Adelman-McCarthy et al. 2008) (henceforth SDSS1212-0123) was
included in our target list for photometric monitoring of candidate
objects. The serendipituous discovery of a binary eclipse from time-resolved
differential photometry triggered a photometric and spectroscopic
follow-up. Only seven eclipsing binaries containing a white
dwarf and a low-mass main sequence star were known until 2007. Since then another three
eclipsing systems have been published (Steinfadt et al. 2008; Drake et al. 2008), and a further three systems have been discovered by us (Pyrzas et al. 2008). Eclipsing binaries are of great interest since they offer the possibility of deriving fundamental properties of stars with a high accuracy. SDSS1212-0123 was firstly listed as a quasar candidate by Richards et al. (2004) and later classified as a
by Silvestri et al. (2006). It contains a relatively hot white dwarf (from now on primary) and an active mid-type dM star (from now on secondary).
In this paper we summarize our current knowledge about this source from own observations and archival work. It is organized as follows. In Sect. 2 we describe the observations and reductions. In Sect. 3 we present the results, we study the evolution of the system in Sect. 4 and conclude in Sect. 5.
Table 1: Log of photometric observations for SDSS1212-0123.
2 Observations and reductions
2.1 IAC80 and AIP70 photometry
Optical photometric observations were obtained using two different telescopes over
11 nights. The 80 cm telescope IAC80 in Observatorio del Teide,
Spain, was equipped with the standard CCD camera and the 70 cm telescope
of the Astrophysical Institute Potsdam at Babelsberg was used with a
cryogenically cooled
k TEK-CCD. A log of observations is presented in
Table 1. A field of
3 arcmin was read with the IAC80 CCD camera,
and we used a binning factor of 2 in both spatial directions (scale of
0.6
), while we used a binning factor of 3 for the 70 cm telescope (scale of
1.41
), in order to decrease the readout time and improve the signal to
noise. Reduction was performed using standard packages in IRAF
and MIDAS. Differential magnitudes were obtained with respect to the comparison star SDSS J121302.39-012343.5 (see Fig. 1), with magnitudes
.
SDSS magnitudes were transformed into Johnson's using equations taken from the Sloan pages
. Neglecting the color term, we calculated absolute magnitudes of SDSS1212-0123. The estimated error of the absolute calibration is 0.05 mag.
![]() |
Figure 1:
SDSS image of SDSS1212-0123 (in the cross-hair) and the
comparison star ( |
| Open with DEXTER | |
2.2 Spectroscopy
Spectroscopic follow up observations were obtained during the period 16-19 May 2007 with the LDSS3 imaging
spectrophotograph at the Magellan Clay telescope. Ten spectra were taken for
SDSS1212-0123. Exposure times varied from 300 to 600 s. Seeing and
transparency were highly variable. The VPH_Red grism and an OG590 blocking
filter were used. The detector was a STA 4 k
4 k pixel CCD with two read out
amplifiers. We used a slit width of 0.75 arcsec, that together
with the spectral resolution R=1810, gave a coverage of
5800-9980 Å at a reciprocal dispersion of 1.2 Å pix-1. Four of the
spectra taken at quadrature were obtained through a narrow slit of 0.5 arcsec resulting in a FWHM spectral resolution of 4.8 Å, with the purpose
of measuring the radial velocity amplitude with a higher accuracy.
Flat-field images were taken at the position of the target to allow
effective fringe removal in the red part of the spectra.
The spectral images were reduced using STARLINK packages FIGARO and KAPPA, and the spectra were
optimally extracted (Horne 1986) using the PAMELA package
(Marsh 1989). Wavelength calibration was done
using sky lines. Wavelengths of good sky lines were obtained from the atlas of
Osterbrock et al. (1996,1997). A fifth-order polynomial was fitted to
36 sky lines. Spectra were flux calibrated and corrected for telluric
lines using spectra of the standard star LTT3218 taken during the same observing run.
3 Results
3.1 The light curve
The optical light curve of SDSS1212-0123 displays a total eclipse of the primary
with length of approximately 23 minutes. The depth of the eclipse is
mag in the I band,
mag in the R band and
mag in the V band (see Fig. 2). Eclipse magnitudes are
,
and
.
The much deeper eclipse in
the V band is due to the fact that the primary emits most of the light in the
blue, while the secondary dominates in the I band. Photometric variability
outside of the eclipse, e.g. from an irradiated secondary or from ellipsoidal
modulation of the secondary, was found to be less than
.
At the given time resolution of our photometry, the WD ingress and egress phases are
not resolved. Five eclipses were completely covered and the eclipse length was
determined in these light curves measuring their full width at half
maximum of the flux level. The weighted mean of those five measurements gives an eclipse length
of
min.
![]() |
Figure 2: Optical photometry from the IAC80 telescope in the V, R and I band ( from bottom to top) phase folded over the orbital period. Note the different scales for each panel. |
| Open with DEXTER | |
3.2 Ephemeris
In addition to the five eclipses which were covered completely one further eclipse was covered partially. Using the measured eclipse length from the previous section we thus determined six eclipse epochs (Table 2). The eclipses of March 12, 14 and 26, respectively, were not covered due to bad weather conditions. Using a phase-dispersion minimization technique a tentative period was determined,
We then used the six mid eclipse epochs to calculate a linear ephemeris by
fitting a line to the cycle number and eclipse epoch:
| (1) |
where numbers in parenthesis indicate the
Table 2: Date, times of mid eclipses, cycle number obtained from the photometric observations and residuals from the linear ephemeris.
3.3 Stellar parameters
3.3.1 Decomposition of the SDSS spectrum
We determined the stellar parameters of SDSS1212-0123 from the SDSS spectrum following the procedure described in Rebassa-Mansergas et al. (2007).
In a first step the best match of the SDSS composite spectrum is determined
with an optimization strategy on a grid of observed white dwarf and M-dwarf
template spectra created from the SDSS DR6 database. The main result of this first
step is the determination of the spectral type of the secondary.
Using the spectral type-radius relation from Rebassa-Mansergas et al. (2007) and
the apparent magnitude of the scaled template results in a first distance
estimate
.
After subtracting the best-fitting M-star template, white-dwarf parameters are
determined via
minimization in a
grid of model
atmospheres (Koester et al. 2005). Since this analysis step is performed
on spectra normalized to a continuum intensity, the results are bi-valued
yielding a ``hot'' and a ``cold'' solution (see Fig. 4).
The degeneracy can typically be broken by an additional fit to
the overall spectrum (continuum plus lines in the wavelength range
3850-7150 Å). In the present case of SDSS1212-0123 the GALEX detection
(see below) provides an additional constraint excluding the ``cold'' solution.
The results of the spectral decomposition and the white dwarf fit for SDSS1212-0123
are shown in Fig. 4.
![]() |
Figure 3:
Two component fit to SDSS1212-0123. The top panel shows the WDMS spectrum
(black line) and the white dwarf and the |
| Open with DEXTER | |
![]() |
Figure 4:
Spectral model fit to the white dwarf component of SDSS1212-0123,
obtained after subtracting the best-fit M-dwarf template from its SDSS
spectra. Top left panel: best fit (black lines) to the normalized H |
| Open with DEXTER | |
The spectral type of the secondary was determined to be M4
1 implying a
distance
pc, mass range of the secondary
and radius range
,
using Rebassa-Mansergas et al. (2007) spectral
type-mass and spectral type-radius empirical relations respectively. The derived temperature and
of the primary were found to be only weakly dependent on the chosen spectral
type and spectral template of the secondary, because we use H
for
the white dwarf line fit, where the secondary star contribution is small. It is also weakly dependendt on
the accuracy of the spectral flux calibration and also the small radial velocity line displacements.
The best fit was found for
K and
(implying a white dwarf mass
,
and
). The obtained values are in agreement
with those published by Silvestri et al. (2006).
However, one should be aware of the fact that all the quoted
errors are purely statistical. The true uncertainty of the white dwarf
spectral parameters is clearly higher than suggested by the derived numbers.
We estimate the systematic
uncertainty of our
determination to be on the order of 0.2 dex, which
results in rather wide ranges of possible values for the mass and
the radius of the primary, i.e.
and
.
The derived distance to the white dwarf is
pc (assuming
the statistical error only).
The two distance estimates differ,
being longer than
,
but in agreement within the erros. Rebassa-Mansergas et al. (2007) found a similar
trend for 101 WDMS binaries in their study. They argue
that such difference could be due to stellar activity of the
secondary star, and that the spectral type determined from the optical SDSS
spectrum is too early for the mass of the secondary star, which would lead to
a larger radius and consequently a larger distance to the system. Since the
secondary in SDSS1212-0123 was found to be active too, we regard the distance
estimate for the white dwarf being more reliable. Taking into account
systematic errors we obtain
pc as the distance
to the system.
3.3.2 Constraining the secondary mass using 2MASS
In the previous section we derived the mass and the radius of the
secondary star using empirical relations from Rebassa-Mansergas et al. (2007)
and obtained
and
,
respectively. However, as clearly shown in Fig. 7 of Rebassa-Mansergas et al. (2007),
the masses and radii derived from observations largely scatter around the
empirical relations. In addition, according to
Rebassa-Mansergas et al. (2007) increased activity of the rapidly rotating secondary stars in close binaries
can cause the stars to appear as earlier spectral types when compared to
non-active stars of the same mass. To sum up, the secondary masses derived from
empirical relations can obviously only considered to reasonable but rough
estimates.
An alternative method to determine the mass of secondary star is to use
luminosity-spectral type relations. To that end, we explored the Two Micron
All Sky Survey Point Source Catalog (Cutri et al. 2003), finding
magnitudes
,
and
for SDSS1212-0123. Subtracting the extrapolated contribution of the primary star
(
and
pc) yields infra-red colors
of
,
respectively.
Using the empirical mass-luminosity relation from
Delfosse et al. (2000), we derive the mass of the secondary star to be
.
Using again the mass-radius relation
from Rebassa-Mansergas et al. (2007) this implies a spectral type
,
i.e.
later by one stectral type than estimated from the deconvolution
of the SDSS spectrum. This supports the
idea of activity significantly affecting
the determination the secondary star spectral types and the corresponding
distances.
3.3.3 Radial velocity
In each of our observed spectra we measured the radial velocities of the NaI absorption doublet (8183.27 Å, 8194.81 Å), which originates from the secondary star. A double Gaussian with a fixed separation of 11.54 Å was fitted to the line profiles using the FIT/TABLE command provided by ESO/MIDAS.
H
was deconvolved into an absorption and an emission line component
using two Gaussians.
While the emission line showed pronounced wavelength shifts, the centroids of
the absorption lines thus measured did not constrain the curve
of the white dwarf significantly.
Assuming a circular orbit a sine-function was fitted to the measured radial
velocity curves to obtain the radial velocity semi-amplitude K2 of the
secondary star:
![]() |
(2) |
The orbital period P and the epoch of mid eclipse
The semi-amplitudes of the two radial velocity curves are different
and these differences seem to be significant. The semi-amplitude derived
from H
is lower, indicating that its emission
is displaced towards the inner hemisphere of the secondary star with respect
to the NaI doublet. As neither of the two line features
shows significant photometric variability, which would indicate a biased
origin of one of the line species (e.g. towards the non-irradiated side of
the secondary), we exclude irradiation as the explanation for the
observed difference in K2. A detailed comparison of radial velocities derived from the NaI doublet and H
lines has been
performed by Rebassa-Mansergas et al. (2007). They find that both velocities
often significantly differ but that there seems to be no systematic shift of
H
radial velocities towards smaller values. As discussed in detail in
Rebassa-Mansergas et al. (2008), this is probably explained by the H
emission being related to activity and not uniformely distributed
over the surface of the secondary. Kafka et al. (2005) studied in detail the origin of different line species, however SDSS1212-01231212 shows no evidence of accretion nor irradiation. We therefore assume that in SDSS1212-0123 the NaI doublet much better traces the center of mass of the secondary and we use its semi-amplitude for the mass estimate.
![]() |
Figure 5: Radial velocities measured from the NaI doublet 8183, 8194 Å originating from the secondary star of SDSS1212-0123 folded over the orbital period obtained from the photometry. Sine fit and residuals ( lower panel) are shown. |
| Open with DEXTER | |
We write the mass function of the binary assuming a circular orbit in the form
and derive an upper limit for
Using the empirical mass-radius relation for main sequence stars derived by
Bayless & Orosz (2006) we estimate the radius of the secondary (middle
panel of Fig. 6). The top panel of the same figure illustrates
the maximum possible eclipse length (
,
black line) for the given
stellar radius, the orbital period P and the orbital separation aaccording to
![]() |
(4) |
The measured values of the eclipse length and the range of the white-dwarf mass from Sect. 3.3.1 are shown in the figure with horizontal and vertical lines, respectively, their intersection is shaded in grey in the top panel. It is also plotted the solution for
![]() |
Figure 6:
Solution of the mass function for
|
| Open with DEXTER | |
3.3.4 Light curve modeling
A determination of most of the physical parameters of an eclipsing system can be achieved by fitting model light curves to the actual data. We made use of a newly developed light curve fitting code, written by Marsh, for the general case of binaries containing a white dwarf.
The code is described in detail in Pyrzas et al. (2008). Briefly,
a model light curve is computed based on user-supplied initial system
parameters. These are the two radii, scaled by the binary separation,
and
,
the orbital inclination, i, the unirradiated stellar
temperatures
of the white dwarf and the secondary star
and
respectively, the
mass ratio
and
the time of mid-eclipse of the white
dwarf.
Starting from this parameter set, the model light curve is then fitted to the data using Levenberg-Marquardt minimisation. Every parameter can either be allowed to vary or remain fixed, during the fitting process.
Our approach for modeling the I band photometry of SDSS1212-0123 was the
following. A large
and dense grid of points in the
plane was first calculated,
generously
bracketing the estimates for the mass of the two components (see
Sect. 3.3.3).
Each point defines a mass ratio q, and through
,
a binary separation
a.
Furthermore, from the mass function equation (Eq. (3)), using the
value of K2 (derived in Sect. 3.3.3) and
,
one can
calculate the inclination angle i. Points for which (formally)
were discarded from the grid, for all other points the corresponding light
curve model was computed, leading to the computation of some 9000 models.
As an initial estimate for the radii of the binary components, we adopted
values from the theoretical M-R relations of Bergeron et al. (1995) for the
white dwarf, and Baraffe et al. (1998) - the 5 Gyr model - for the
secondary. Regarding the two temperatures,
and
, the value from
our spectral decomposition (Sect. 3.3.1) was used for the white dwarf,
while the
Sp(2)-T relation from Rebassa-Mansergas et al. (2007), together
with our result for the spectral type of the secondary, were used to obtain an
initial value for
.
For the fitting process q, i,
and
were fixed, leaving only
,
and
free to vary.
was fixed mainly because of
the poor temporal resolution of our data set, which does not resolve the white
dwarf ingress and egress. Consequently, if allowed to vary, the white dwarf
radius would only be loosely constrained and it would introduce large
uncertainties in the determination of
.
was also fixed, because
allowing both temperatures to vary simultaneously would lead to a degenerate
situation, as they are strongly correlated. Our spectral decomposition results
are sufficiently accurate, so as to allow us to fix
without affecting
the fitting result. The parameter
on the other hand, was left free
during the fitting, to account for the O-C errors in the mid-eclipse times,
which in some cases were significant (see Table 2 again).
The results of the light curve fitting process were analyzed as follows.
We first applied a cut in the quality of the fits. This was done by selecting
the minimum
value of all fits and then culling all model fits at
>
above the best fit. Afterwards, we selected from the
remaining, equally good light curve fits, those which where physically
plausible. We defined a
parameter, as
,
i.e. how much the fitted radius value deviates from the theoretical radius
value, obtained from a M-R relation, for a given model. Thus, we selected only
those models that had
,
to allow for an oversized secondary.
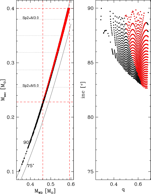
The results are illustrated in Fig. 7. Black dots designate
those light curve fits making the 1
cut, red dots those that satisfy
both the 1
and
cuts. The resulting ranges in white
dwarf masses and secondary star masses (indicated with dashed, vertical, red
lines) are
and
,
respectively, corresponding to a white dwarf radius of
and a secondary radius of
.
The range for the inclination angle is
.
Also indicated, with dotted, horizontal, gray lines
are the radii of M-dwarfs with spectral types
in steps of 0.5, based on the
spectral type-mass relation given by Rebassa-Mansergas et al. (2007).
![]() |
Figure 7:
Light curve model fitting results for SDSS 1212-0123. Left
panel:
|
| Open with DEXTER | |
Figure 8 shows one example of the light curve fits within the
components masses range for the model parameters:
,
and
.
The detailed models do not predict any variation in the light curve caused by
irradiation of the secondary star by the white dwarf. The predicted variations
due to ellipsoidal modulation are expected to be quite small, i.e.
0.005 mag, consistent with our observational non-detection of any variability
outside the eclipse.
![]() |
Figure 8:
Model fit to the I band light curve of SDSS1212-0123, for
|
| Open with DEXTER | |
3.3.5 Spectral energy distribution
We cross-identified SDSS1212-0123 with the database from the Galaxy Evoluion
Explorer (GALEX Martin et al. 2005; Morrissey et al. 2005), and found a detection in the far and near ultraviolet (FUV
and NUV). The magnitudes are
mag and
mag, exposure times were 150 s. FUV and NUV fluxes can provide an
estimate of the effective temperature of the white dwarf for a certain
,
assuming that all the flux in the UV is emitted by the primary. White
dwarf models for
and
and effective temperature
in the range
6000-100 000 K, were folded over the FUV and NUV filters. The
calculated flux ratio FUV/NUV was compared with the observed for SDSS1212-0123. The
GALEX flux ratio implies
K, significantly colder than what we obtain from the optical spectrum in Sect. 3.3.1. However, discrepant temperatures
from GALEX UV and optical photometry were noticed earlier from an analysis for a large
number of white dwarfs (
250) by Kawka & Vennes (2007). This shows
that one cannot expect the same UV and optical temperatures in a case-by-case
basis, but at best on a statistical average. For the time being we accept the
temperature from our fit to the SDSS spectrum, which grossly reflects the UV to optical SED.
The spectral energy distribution is shown in Fig. 9, including
ultraviolet, optical and infrared fluxes from 2MASS. A model spectrum for a white dwarf of pure Hydrogen (Koester et al. 2005) with effective temperature of 17 500 K and
and a spectrum of the M5 star LHS1504 from Legget's library
are shown for comparison (Leggett et al. 2000).
![]() |
Figure 9:
Spectral energy distribution of SDSS1212-0123. GALEX near and far
ultraviolet and 2MASS infrared fluxes (black circles), optical SDSS
spectrum (black line). A white dwarf model of
|
| Open with DEXTER | |
3.3.6 Binary parameters summary
Figure 10 shows the different ranges for the masses of the primary and
the secondary from the spectral decomposition fit (Sect. 3.3.1), the K-band
luminosity-mass relation (Sect. 3.3.2), the radial
velocity amplitude and eclipse length (Sect. 3.3.3) and the detailed light
curve fitting (Sect. 3.3.4). Of course, the different methods are not entirely
independent, e.g. the constraints from the eclipse
length/radial velocities studies and the detail light curve fitting basically use
the same information with the only difference
being that we could derive a clear lower limit from the latter.
The dark shaded region in Fig. 10
represents the ranges of stellar masses in agreement
with all the derived constraints i.e.,
,
,
implying a radius of the secondary star in the
range
using the empirical M-R relation from Bayless & Orosz (2006)
and
(
.
We adopt these values
as the most probable ones and all finally accepted
stellar and binary parameters based on Sloan-data, other catalogues and our own
follow-up observations are collected in Table 3.
![]() |
Figure 10:
The ranges of masses of the white dwarf and
the red dwarf coming from: the decomposition of the SDSS spectrum; the infrared brightness; the eclipse length for an inclination of
|
| Open with DEXTER | |
Table 3: Stellar and binary parameters of SDSS1212-0123.
4 Evolutionary state
The post CE evolution of compact binaries is driven by angular momentum loss due to gravitational radiation and - perhaps much stronger - magnetic wind braking. Unfortunately, the latter mechanism is currently far from being well constrained, and predicting and reconstructing the post CE evolution sensitively depends on the assumed prescription for magnetic braking.
However, the disrupted magnetic braking scenario proposed by
Rappaport et al. (1983) can still be considered the standard model for
magnetic braking in close compact binaries.
In this scenario it is assumed that magnetic braking ceases
when the secondary star becomes fully convective at
![]()
(which corresponds to
h).
Although observations of the
spin down rates of single stars do drastically disagree with the predictions
of disrupted magnetic braking (Sills et al. 2000),
it remains the only consistent theory explaining the orbital period gap
i.e. the observed deficit of CVs in the range of
h. Moreover, first results of our radial velocity survey of
PCEBs seem to support the idea of disrupted magnetic braking
(Schreiber et al. 2008).
To predict and reconstruct the post CE evolution of SDSS1212-0123 according to
Schreiber & Gänsicke (2003), we therefore assume disrupted magnetic braking.
First, we interpolate the cooling tracks of Wood (1995) and estimate the cooling age of SDSS1212-0123 to be
yrs (see top panel of Fig. 11).
Second, according to the mass
derived for the secondary star (
![]()
)
we assume that,
since SDSS1212-0123 left the CE phase, the only mechanism driving the evolution
of SDSS1212-0123 towards shorter orbital periods is (and has been) gravitational
radiation.
As shown in Fig. 11 (bottom panel), SDSS1212-0123
left the CE phase with an orbital period of
h,
very similar to the present value.
Significant changes in the orbital period are predicted to occur on timescales
longer than the current cooling age of the white dwarf.
In
years SDSS1212-0123 will eventually become a
CV within the orbital period gap, however, giving that it's calculated PCEB
lifetime exceeds the age of the Galaxy it is not representative of the
progenitors of todays CV population.
![]() |
Figure 11:
Top panel: interpolating the cooling tracks from Wood (1995)
and according to the current temperature of the white dwarf (
|
| Open with DEXTER | |
5 Conclusions
From optical photometry we conclude SDSS1212-0123 is a eclipsing PCEB with an
orbital period of 0.336 days and an eclipse length of 23 min. From
spectroscopic follow-up observations we have derived a systemic velocity of
km s-1 and a semi-amplitude of the radial velocity of
km s-1. From the SDSS spectrum we derived
K,
implying a mass in the range
0.33-0.48
and a secondary spectral type M4
1, and a distance to the system of
parsecs.
From infrared photometry, using a mass-luminosity empirical relation we
derived
.
We have calculated the radius of the secondary star using an empirical mass-radius ralation.
The mass function, combined with the eclipse length, points towards the high end
of the allowed mass range of the primary, i.e.
.
We have modeled the I band light curve and find
the inclination of the orbit to be
,
and the masses to be
consistent with previously determined values.
The different methods applied are all consistent with
,
implying
(
)
for the primary and
,
for the
secondary. We have reconstructed
and predicted the post CE evolution of SDSS1212-0123, finding that SDSS1212-0123
at the end of the CE phase had a very similar orbital period.
The only mechanism involved in
shrinking the orbital period is and has been gravitational radiation.
As the PCEB lifetime of SDSS1212-0123 exceeds the Hubble time we conclude that it
is not representative of the progenitors of the current CV population.
Acknowledgements
We thank our referee, Dr. S.B. Howel, for a careful review of the original manuscript. We thank T.R. Marsh for the use of his light-curve modeling code. A.N.G.M., M.R.S., R.S.C., J.V. and M.K. acknowledge support by the Deutsches Zentrum für Luft-und Raumfahrt (DLR) GmbH under contract No. FKZ 50 OR 0404. M.R.S. was also supported by FONDECYT (grant 1061199), DIPUV (project 35), and the Center of Astrophysics at the Universidad de Valparaiso. J.K. was supported by the DFG priority programme SPP1177 (grant Schw536/23-1). Funding for the SDSS and SDSS-II has been provided by the Alfred P. Sloan Foundation, the Participating Institutions, the National Science Foundation, the U.S. Department of Energy, the National Aeronautics and Space Administration, the Japanese Monbukagakusho, the Max Planck Society, and the Higher Education Funding Council for England. The SDSS Web Site is http://www.sdss.org/. The SDSS is managed by the Astrophysical Research Consortium for the Participating Institutions. The Participating Institutions are the American Museum of Natural History, Astrophysical Institute Potsdam, University of Basel, University of Cambridge, Case Western Reserve University, University of Chicago, Drexel University, Fermilab, the Institute for Advanced Study, the Japan Participation Group, Johns Hopkins University, the Joint Institute for Nuclear Astrophysics, the Kavli Institute for Particle Astrophysics and Cosmology, the Korean Scientist Group, the Chinese Academy of Sciences (LAMOST), Los Alamos National Laboratory, the Max-Planck-Institute for Astronomy (MPIA), the Max-Planck-Institute for Astrophysics (MPA), New Mexico State University, Ohio State University, University of Pittsburgh, University of Portsmouth, Princeton University, the United States Naval Observatory, and the University of Washington. This publication makes use of data products from the Two Micron All Sky Survey, which is a joint project of the University of Massachusetts and the Infrared Processing and Analysis Center/California Institute of Technology, funded by the National Aeronautics and Space Administration and the National Science Foundation.
References
- Adelman-McCarthy, J. K., Agüeros, M. A., Allam, S. S., et al. 2008, ApJS, 175, 297 [NASA ADS] [CrossRef] (In the text)
- Aungwerojwit, A., Gänsicke, B. T., Rodríguez-Gil, P., et al. 2007, A&A, 469, 297 [NASA ADS] [CrossRef] [EDP Sciences]
- Baraffe, I., Chabrier, G., Allard, F., & Hauschildt, P. H. 1998, A&A, 337, 403 [NASA ADS] (In the text)
- Bayless, A. J., & Orosz, J. A. 2006, ApJ, 651, 1155 [NASA ADS] [CrossRef] (In the text)
- Bergeron, P., Wesemael, F., Lamontagne, R., et al. 1995, ApJ, 449, 258 [NASA ADS] [CrossRef] (In the text)
- Cutri, R. M., Skrutskie, M. F., van Dyk, S., et al. 2003, The IRSA 2M [NASA ADS]ASS All-Sky Point Source Catalog, NASA/IPAC Infrared Science Archive http://irsa.ipac.caltech.edu/applications/Gator/ (In the text)
- Delfosse, X., Forveille, T., Ségransan, D., et al. 2000, A&A, 364, 217 [NASA ADS] (In the text)
- Drake, A. J., Djorgovski, S. G., Mahabal, A., et al. 2008 [arXiv:0809.1394v2]
- Gänsicke, B. T., Araujo-Betancor, S., Hagen, H.-J., et al. 2004, A&A, 418, 265 [NASA ADS] [CrossRef] [EDP Sciences]
- Horne, K. 1986, PASP, 98, 609 [NASA ADS] [CrossRef] (In the text)
- Iben, I. J., & Livio, M. 1993, 105, 1373
- Kafka, S., Honeycutt, R. K., Howell, S. B., & Harrison, T. E. 2005, AJ, 130, 2852 [NASA ADS] [CrossRef] (In the text)
- Kawka, A., & Vennes, S. 2007 [arXiv:astro-ph/0702420] (In the text)
- Koester, D., Napiwotzki, R., Voss, B., Homeier, D., & Reimers, D. 2005, A&A, 439, 317 [NASA ADS] [CrossRef] [EDP Sciences] (In the text)
- Leggett, S. K., Allard, F., Dahn, C., et al. 2000, ApJ, 535, 965 [NASA ADS] [CrossRef] (In the text)
- Marsh, T. R. 1989, PASP, 101, 1032 [NASA ADS] [CrossRef] (In the text)
- Martin, D. C., Fanson, J., Schiminovich, D., et al. 2005, 619, L1
- Morales-Rueda, L., Marsh, T. R., Maxted, P. F. L., et al. 2005, MNRAS, 359, 648 [NASA ADS] [CrossRef]
- Morrissey, P., Schiminovich, D., Barlow, T. A., et al. 2005, 619, L7
- Osterbrock, D. E., Fulbright, J. P., Martel, A. R., et al. 1996, PASP, 108, 277 [NASA ADS] [CrossRef]
- Osterbrock, D. E., Fulbright, J. P., & Bida, T. A. 1997, PASP, 109, 614 [NASA ADS] [CrossRef]
- Paczynski, B. 1976, in Structure and Evolution of Close Binary Systems, IAU Symp., 73, 75
- Politano, M., & Weiler, K. P. 2007, ApJ, 665, 663 [NASA ADS] [CrossRef]
- Pyrzas, S., Gänsicke, B. T., Marsh, T. R., et al. 2008 [arXiv:0812.2510v1] (In the text)
- Rappaport, S., Verbunt, F., & Joss, P. C. 1983, ApJ, 275, 713 [NASA ADS] [CrossRef] (In the text)
- Rebassa-Mansergas, A., Gänsicke, B. T., Rodríguez-Gil, P., Schreiber, M. R., & Koester, D. 2007, MNRAS, 382, 1377 [NASA ADS]
- Rebassa-Mansergas, A., Gänsicke, B. T., Schreiber, M. R., et al. 2008, MNRAS, 390, 1635 [NASA ADS]
- Richards, G. T., Nichol, R. C., Gray, A. G., et al. 2004, ApJS, 155, 257 [NASA ADS] [CrossRef] (In the text)
- Schreiber, M. R., & Gänsicke, B. T. 2003, A&A, 406, 305 [NASA ADS] [CrossRef] [EDP Sciences] (In the text)
- Schreiber, M. R., Gänsicke, B. T., Southworth, J., Schwope, A. D., & Koester, D. 2008, A&A, 484, 441 [NASA ADS] [CrossRef] [EDP Sciences]
- Shimansky, V., Sakhibullin, N. A., Bikmaev, I., et al. 2006, A&A, 456, 1069 [NASA ADS] [CrossRef] [EDP Sciences]
- Sills, A., Pinsonneault, M. H., & Terndrup, D. M. 2000, ApJ, 534, 335 [NASA ADS] [CrossRef] (In the text)
- Silvestri, N. M., Hawley, S. L., West, A. A., et al. 2006, AJ, 131, 1674 [NASA ADS] [CrossRef] (In the text)
- Steinfadt, J. D. R., Bildsten, L., & Howell, S. B. 2008, ApJ, 677, L113 [NASA ADS] [CrossRef]
- Taam, R. E., & Ricker, P. M. 2006, ArXiv Astrophysics e-prints
- Tappert, C., Gänsicke, B. T., Schmidtobreick, L., et al. 2007, A&A, 474, 205 [NASA ADS] [CrossRef] [EDP Sciences]
- van den Besselaar, E. J. M., Greimel, R., Morales-Rueda, L., et al. 2007, A&A, 466, 1031 [NASA ADS] [CrossRef] [EDP Sciences]
- Wood, M. A. 1995, in White Dwarfs, ed. D. Koester & K. Werner, LNP No. 443 (Heidelberg: Springer), 41 (In the text)
Footnotes
- ... system
- This paper includes data gathered with the 6.5 m Magellan Telescopes located at Las Campanas Observatory, Chile.
- ... IRAF
- IRAF is distributed by the National Optical Astronomy Observatory, which is operated by the Association of Universities for Research in Astronomy, Inc., under contract with the National Science Foundation, http://iraf.noao.edu
- ... pages
- http://www.sdss.org/dr7/algorithms/sdssUBVRITransform.html
- ... library
- http://ftp.jach.hawaii.edu/ukirt/skl/dM.spectra/
All Tables
Table 1: Log of photometric observations for SDSS1212-0123.
Table 2: Date, times of mid eclipses, cycle number obtained from the photometric observations and residuals from the linear ephemeris.
Table 3: Stellar and binary parameters of SDSS1212-0123.
All Figures
![]() |
Figure 1:
SDSS image of SDSS1212-0123 (in the cross-hair) and the
comparison star ( |
| Open with DEXTER | |
| In the text | |
![]() |
Figure 2: Optical photometry from the IAC80 telescope in the V, R and I band ( from bottom to top) phase folded over the orbital period. Note the different scales for each panel. |
| Open with DEXTER | |
| In the text | |
![]() |
Figure 3:
Two component fit to SDSS1212-0123. The top panel shows the WDMS spectrum
(black line) and the white dwarf and the |
| Open with DEXTER | |
| In the text | |
![]() |
Figure 4:
Spectral model fit to the white dwarf component of SDSS1212-0123,
obtained after subtracting the best-fit M-dwarf template from its SDSS
spectra. Top left panel: best fit (black lines) to the normalized H |
| Open with DEXTER | |
| In the text | |
![]() |
Figure 5: Radial velocities measured from the NaI doublet 8183, 8194 Å originating from the secondary star of SDSS1212-0123 folded over the orbital period obtained from the photometry. Sine fit and residuals ( lower panel) are shown. |
| Open with DEXTER | |
| In the text | |
![]() |
Figure 6:
Solution of the mass function for
|
| Open with DEXTER | |
| In the text | |
![]() |
Figure 7:
Light curve model fitting results for SDSS 1212-0123. Left
panel:
|
| Open with DEXTER | |
| In the text | |
![]() |
Figure 8:
Model fit to the I band light curve of SDSS1212-0123, for
|
| Open with DEXTER | |
| In the text | |
![]() |
Figure 9:
Spectral energy distribution of SDSS1212-0123. GALEX near and far
ultraviolet and 2MASS infrared fluxes (black circles), optical SDSS
spectrum (black line). A white dwarf model of
|
| Open with DEXTER | |
| In the text | |
![]() |
Figure 10:
The ranges of masses of the white dwarf and
the red dwarf coming from: the decomposition of the SDSS spectrum; the infrared brightness; the eclipse length for an inclination of
|
| Open with DEXTER | |
| In the text | |
![]() |
Figure 11:
Top panel: interpolating the cooling tracks from Wood (1995)
and according to the current temperature of the white dwarf (
|
| Open with DEXTER | |
| In the text | |
Copyright ESO 2009
Current usage metrics show cumulative count of Article Views (full-text article views including HTML views, PDF and ePub downloads, according to the available data) and Abstracts Views on Vision4Press platform.
Data correspond to usage on the plateform after 2015. The current usage metrics is available 48-96 hours after online publication and is updated daily on week days.
Initial download of the metrics may take a while.
![\begin{figure}
\par\includegraphics[width=7.7cm,clip]{1244fi1.ps}
\end{figure}](/articles/aa/full_html/2009/08/aa11244-08/Timg64.gif)
![\begin{figure}
\par\includegraphics[angle=-90,width=5.5cm,clip]{1244fi2.ps}
\end{figure}](/articles/aa/full_html/2009/08/aa11244-08/Timg71.gif)
![\begin{figure}
\par\includegraphics[angle=-90,width=8cm,clip]{1244fi3.ps}
\par\end{figure}](/articles/aa/full_html/2009/08/aa11244-08/Timg78.gif)
![\begin{figure}
\includegraphics[width=7.7cm,clip]{1244fi4.ps}
\end{figure}](/articles/aa/full_html/2009/08/aa11244-08/Timg81.gif)
![\begin{displaymath}v_{\rm r} = \gamma_2 + K_2 \sin\left[\frac{2\pi(t-t_{\rm0})}{P}\right].
\end{displaymath}](/articles/aa/full_html/2009/08/aa11244-08/img106.gif)
![\begin{figure}
\par\includegraphics[width=7.5cm,clip]{1244fi5.ps}
\end{figure}](/articles/aa/full_html/2009/08/aa11244-08/Timg111.gif)


![\begin{figure}
\par\includegraphics[width=6.8cm,clip]{1244fi6.ps}
\end{figure}](/articles/aa/full_html/2009/08/aa11244-08/Timg122.gif)
![\begin{figure}
\par\includegraphics[width=7.5cm,clip]{1244fi7.ps}
\end{figure}](/articles/aa/full_html/2009/08/aa11244-08/Timg144.gif)
![\begin{figure}
\par\includegraphics[angle=-90,width=7.7cm,clip]{1244fi8.ps}
\end{figure}](/articles/aa/full_html/2009/08/aa11244-08/Timg148.gif)
![\begin{figure}
\par\includegraphics[width=8cm,clip]{1244fi9.ps}
\end{figure}](/articles/aa/full_html/2009/08/aa11244-08/Timg154.gif)
![\begin{figure}
\par\includegraphics[width=8cm,clip]{1244fi10.ps}
\end{figure}](/articles/aa/full_html/2009/08/aa11244-08/Timg158.gif)
![\begin{figure}
\par\includegraphics[angle=-90,width=8.8cm,clip]{1244fi11.ps}
\end{figure}](/articles/aa/full_html/2009/08/aa11244-08/Timg193.gif)