| Issue |
A&A
Volume 495, Number 3, March I 2009
|
|
|---|---|---|
| Page(s) | 979 - 987 | |
| Section | Astronomical instrumentation | |
| DOI | https://doi.org/10.1051/0004-6361:200810353 | |
| Published online | 14 January 2009 | |
Intrinsic photometric characterisation of stellar oscillations and granulation
Solar reference values and CoRoT response functions
E. Michel1 - R. Samadi1 - F. Baudin2 - C. Barban1 - T. Appourchaux2 - M. Auvergne1
1 - Observatoire de Paris-LESIA, CNRS (UMR 8109), Université Pierre et Marie Curie, Université Denis Diderot, Pl. J. Janssen, 92195 Meudon, France
2 - Institut d'Astrophysique Spatiale, UMR8617, Université Paris X, Bât.121, 91405 Orsay, France
Received 9 June 2008 / Accepted 6 December 2008
Abstract
Context. Measuring amplitudes of solar-like oscillations and the granulation power spectral density constitute two promising sources of information to improve our understanding and description of the convection in outer layers of stars. However, different instruments, using different techniques and different bandpasses, give measurements that cannot be directly compared to each other or to theoretical values.
Aims. In this work, we define simple response functions to derive intrinsic oscillation amplitudes and granulation power densities, from photometry measurements obtained with a specific instrument on a specific star.
Methods. We test this method on different photometry data sets obtained on the Sun with two different instruments in three different bandpasses.
Results. We show that the results are in good agreement and we establish reference intrinsic values for the Sun with photometry. We also compute the response functions of the CoRoT instrument for a range of parameters representative of the Main Sequence solar-like pulsators to be observed with CoRoT. We show that these response functions can be conveniently described by simple analytic functions of the effective temperature of the target star.
Key words: Sun: oscillations - Sun: granulation - stars: oscillations - techniques: photometric - convection
1 Introduction
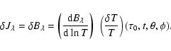
Solar-like oscillations are being detected in a rapidely growing number of stars (see e.g. Bedding & Kjeldsen 2007). The excitation of these oscillations, first observed in the Sun, is attributed to the acoustic noise generated by convection in the outer layers of stars and the measurement of their amplitude is a source of information on the convection process (see e.g. Samadi et al. 2007a,b). The existing theoretical works generally consider parametric scaling laws calibrated on the Sun. However, as noticed by Kjeldsen et al. (2005), measurements made on different stars with different instruments using different techniques in velocimetry or photometry, in different spectral lines or bandpasses, have different sensitivity to the oscillations. They cannot be directly compared to each other, or to theoretical values. The comparison to the Sun is not straightforward either, since the different existing data sets obtained on the Sun have not been translated into a proper standard reference suitable for comparison with stars. Kjeldsen et al. (2005) initiated such a normalization work and a comparison between several stars. Kjeldsen et al. (2008) measured the solar oscillation amplitude with stellar techniques, aiming at setting up a consistent reference for stellar oscillation measurements. This was done with velocimetry, since until now the vast majority of solar-like oscillations measured in other stars has been obtained with this technique. However, CoRoT (Baglin et al. 2006) has started photometric measurements of oscillations in solar-like pulsators which will need to be measured quantitatively and compared with those of the Sun and with those obtained in velocimetry. In addition to oscillations, rapid photometry might allow us to measure, in approximately the same domain of frequency, the power density spectrum contribution associated with the stellar granulation. Granulation being a manifestation of the convective motion at the photosphere level, the profile of its power density spectrum is expected to reflect characteristic time scales and geometric scales associated with the convection process as described by heavy 3D numerical simulations (see e.g. Trampedach et al. 1998; Ludwig 2006) or by parametrized models (see e.g. Baudin et al. 2007).
![]() |
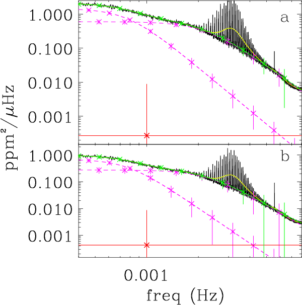
Figure 1:
Observational power density spectrum obtained for:
SPM-blue a) and SPM-green b) data over 700 days; a moving mean is applied with
a 4 |
| Open with DEXTER | |
![]() |
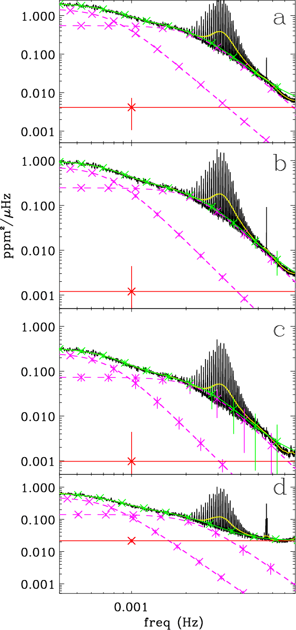
Figure 2: Same as Fig. 1 for, from top to bottom: SPM-blue ( a), SPM-green ( b), SPM-red ( c) data over 700 days and PMO6 ( d) data over 800 days, but here we forced Ci=4. |
| Open with DEXTER | |
In the present work, we consider measurements of solar photometric variations obtained
with two different instruments in four different bandpasses (SOHO/VIRGO/PMO6 and SPM
three channels). In the corresponding instrumental power density spectra, we fit contributions from the solar background and from the acoustic oscillations (Sect. 2).
In Sect. 3, we establish a simple instrumental response function
relating the instrumental power density measurement to the intrinsic bolometric luminosity
relative variation. These response functions can be applied to infer the intrinsic (bolometric) power density of the solar background from specific photometry measurements. They also can be used to derive intrinsic amplitudes of solar radial oscillations from the same data. We discuss how they can be adapted for non-radial modes. Following Kjeldsen et al. (2005) and Kjeldsen et al. (2008), we
also propose to relate the oscillation mean power density measurement to an intrinsic
amplitude chosen here to be the bolometric amplitude for radial modes. In Sect. 4, we show that the results obtained with the different data sets considered here are consistent to a
good approximation and allow us to produce a reference value of bolometric radial oscillation
amplitude for the Sun observed as a star, and a reference bolometric power density spectrum
for Solar granulation. Then (Sect. 5), we compute the response functions adapted to the CoRoT instrument for stars representative of potential solar-like pulsators on the Main Sequence in terms of effective temperatures,
values and chemical compositions. We show that to a great extent, the dependency on
and chemical composition can be neglected and that the CoRoT
response functions can be conveniently described with good precision by analytic functions
of
.
2 Observational material and power density spectra
We consider four data sets obtained on the Sun with different techniques and different band
pass by SOHO/VIRGO/PMO6 (essentially bolometric variations) and by SOHO/VIRGO/SPM (photon counting) in three narrow (5 nm) bands at 402 nm (blue), 500 nm (green) and 862 nm (red) (Frohlich et al. 1997).
For each of these time series, we compute the power density spectrum shown in Figs. 1 and 2. Following the technique proposed by Kjeldsen et al. (2005) for stellar oscillation
measurements, we smooth these spectra with a boxcar of width 405
Hz corresponding to
3 times the solar large separation (135
Hz).
Then, we perform a least square fit of each spectrum with three components: a flat white noise contribution essentially due to photon counting noise, the solar background contribution detailed hereafter, and on top, the stellar oscillation spectrum contribution. For the solar background contribution, following Harvey (1985) and
Andersen et al. (1998a),
we consider a sum of powerlaws:
,
and
(also noted
for convenience hereafter), with
the frequency,
the characteristic time scale and
Ci the slope at high frequency associated with each powerlaw, and ai a normalizing
factor such as
d
corresponding to the variance of the
time series. Note that in the case of Harvey (1985), Ci being set to 2, ai=2.
This corresponds to a signal whose autocorrelation in time has a decreasing exponential
behaviour. However, as mentioned by Harvey (1985), other values for the decay rate power over
time might be found for different types of data probing the atmosphere at different heights
(see e.g. Andersen et al. 1998a).
The physical processes most commonly considered in the solar background and represented
by such power laws are: activity (predominant up to
10
Hz), supergranulation (up to
100
Hz), mesogranulation (up to
1 mHz), and granulation (see e.g. Aigrain et al. 2004; Andersen et al. 1998b; Anklin et al. 1998). In the present study, we will focus on
the two latter processes showing significant contribution above 100
Hz, in the frequency
domain where oscillations are found.
An estimate of the two first contributions (white noise and solar background) is obtained by a
simultaneous fit of the spectrum outside the domain where the oscillation signal is seen
with function
,
where D represents the white noise contribution. After
subtraction of these two components, we isolate the one due to stellar oscillations.
The two powerlaw components (7 parameters: Ai, Bi, Ci, and D) give a satisfactory fit of the background for our purpose and we do not find it necessary to include other components like supergranulation or activity.
As shown by error values in Table 1, the fit gives satisfactory results in the case of SPM data, especially for the blue and green channels. In the case of SPM/red channel, the coefficients are obtained with very large error bars and in the case of PMO6, the convergence precision is even worse, due to the larger white noise component. We note that these fits all suggest a value of Ci around 4, in agreement with the results obtained by Andersen et al. (1998a). We thus decided to fit again the previous function, but forcing the Ci coefficients to the value 4, thus reducing the number of free parameters to 5 and obtaining a more precise determination of them.
The results shown in Fig. 2 (see also Table 2) are very satisfactory, and we will refer to these values hereafter.
Table 1: Fit with seven parameters. Values of the parameters are given as well as the associated one-sigma error estimates.
Table 2: Fit with five parameters.
As could be expected, the level of the intensity components (A1 and A2) attributed to granulation and mesogranulation is very different in the measurements associated with different techniques and different bandpasses (see Fig. 3 top). The same is true for the contribution associated to the oscillations (Fig. 3 bottom), stressing the necessity to establish a reference independent of the instrument for the Sun oscillations and for comparison with other stars to be observed with other instruments.
![]() |
Figure 3: a) Observational instrumental power density spectrum associated with the stellar background contribution and estimated as described in the text, for PMO6 data (plain black line), SPM-blue (dot [blue]), SPM-green (dash [green]), SPM-red (long dash [red]); b) same for the oscillation contribution. |
| Open with DEXTER | |
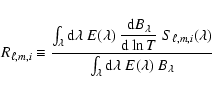
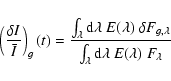
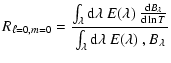
3 Instrumental response functions
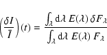
In this section we establish a relation between intensity variation observed with a given instrument (hereafter ``instrumental flux variation'') and an intrinsic quantity defined as the ``bolometric luminosity variation''. This relation features a response function characteristic of the instrument.
We derive the response function for an individual non-radial mode (Sect. 3.2), then for a smoothed power density spectrum (Sect. 3.3), and finally for the granulation (Sect. 3.4).
This is done taking into account both the band-width of the instrument, the spectral energy distribution of the given star (approximated by a black body law) and the dependence of the stellar limb-darkening with the wavelength (given by stellar atmosphere models).
3.1 Instrumental flux variation and local temperature variation
Here, we express the relative instrumental flux variation
as a function of
the local relative variation of the temperature at the stellar photosphere
.
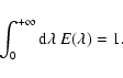
First we define the relative variation of the instrumental flux I:
where
Then, following the approach of Berthomieu & Provost (1990), we show
(see Appendix A) that
and
can be approximated as
where
and
with
where T is the temperature,
At this stage, we have expressed the instrumental flux relative variation
as a function of
the local (
,
)
relative variation
of the temperature at the photosphere.
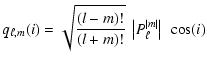
3.2 Response function for an individual non-radial mode
Here, in the case of an individual oscillation mode, we show that we can
relate
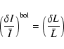
to a ``bolometric luminosity relative variation''
,
defined as an extension of the specific case
of radial modes where
.
As detailed in Appendix A, we consider the relative temperature fluctuations associated with a mode with degree
and azimuthal order m:
where
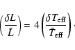
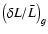
For a radial mode, the bolometric and instrinsic luminosity fluctuation is related to the relative instrinsic temperature fluctuation as:
where
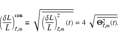
Note that, in the present case, since the mode excitation is a random process, we rather consider the rms quantities
The rms label will however be generally omitted in the following for conciseness of the notation.
Then, we establish the relation between
(the
observed relative intensity fluctuations due to a given mode
,
for a given inclination i) and the instrinsic mode amplitude:
with
where
The visibility coefficient,
,
measures the contribution of the mode integrated over the projected stellar surface, taking into account the effect of the limb-darkening (see e.g. Dziembowski 1977; Berthomieu & Provost 1990). An expression for
is
given in Eq. (A.19). Note that in the case of radial modes, S0 is independent of
and S0=1 by definition.
An interesting property of the visibility coefficients
is that, assuming equipartition of energy among different modes of a same multiplet, the global visibility contribution of each multiplet (composed of modes of the same radial order n, same degree
,
and different azimuthal order m) is independent of the inclination i (Toutain & Gouttebroze 1993; Dziembowski 1977). It is thus possible to compute a global visibility function
,
which is independent of i for the different multiplets. This property will be useful in the next section.
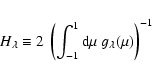
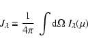
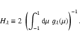
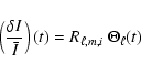
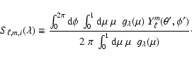
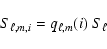
3.3 Response function for smoothed oscillation power density spectrum
In the case of stellar observations, as remarked by Kjeldsen et al. (2005) the measurement of
individual modes or even individual multiplets might be delicate and it might give more
precise results to estimate oscillation amplitudes from the smoothed oscillation power density
contribution as represented in Sect. 1.
In this case, as suggested by Kjeldsen et al. (2005), the oscillation power density contribution
(
,
in
Hz) is smoothed over typically three or four times the
large separation (
); then, once multiplied by the estimate of the
large separation (in
Hz), it is representative of PnI, the total
power (in
)
concentrated in all modes present in one large
separation (of order n). Accordingly, we have
where
Let define
as the observed power (in
)
associated with a
mode
,
with inclination i.
Assuming that
is the same for all the modes
that are within the same separation and using Eq. (7), it can easily be shown that :
with
and
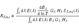
In practice, we consider
![]() |
(19) |
where
In the present work, the
coefficients (Eq. (A.22)) are computed
taking into account monochromatic specific intensities derived from stellar atmosphere
models (see Barban et al. 2003) with relevant
,
[Fe/H],
and
.
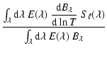
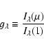
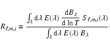
3.4 Response function for granulation
As detailed in Appendix A, since we are interested in rms values with time and
assuming that these values are identical all over the stellar surface,
the granulation component can be treated in a similar way as a radial mode.
Accordingly, the relation between the observed relative intensity fluctuations and the associated intrinsic fluctuations is
where the quantities have the same meaning as previously for radial modes but subscript g refers to the granulation and
![]() |
(21) |
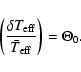
As for the radial modes, we define the rms and instrinsic relative luminosity fluctuation due to granulation as the quantity
If we consider the power density contribution associated with granulation (Pg) determined in Sect. 1, we can derive the corresponding bolometric power density spectrum according to
![]() |
(23) |
which is expected to characterize granulation independently of the instrument considered. The application to the different data sets obtained on the Sun (Rg values are given in Table 3) with different instrumental techniques and with different bandpasses shows a good agreement (see Sect. 4).
Table 3: Response functions for different sets of solar data.
4 Results for different data sets
4.1 A reference solar bolometric oscillation amplitude
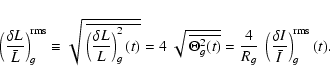
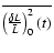
The resulting estimates of the bolometric amplitude per radial mode are shown
in Fig. 4 (
values computed for the different data sets considered here are given in Table 3). We compare the curves obtained for each data set, with special attention to the value at maximum often taken as a convenient characteristic measurement of the oscillations amplitudes in stars (see also Table 4). Although some residuals of the initial difference seem to subsist (suggesting that our response function might be refined further), we notice a reasonable agreement of the different curves, within one-sigma error bar estimates.
This allows us to propose as a reference for the Sun a
ppm of maximum
bolometric amplitude per radial mode (mean of the four values weighted by
).
We checked that this result was not affected significantly by changing the smoothing
boxcar width from 2 times to 4 times
.
![]() |
Figure 4:
Observational bolometric amplitude per radial mode estimated as described in the text, for PMO6 data (plain black line), SPM-blue (dot [blue]), SPM-green (dash [green]), SPM-red (long dash [red]). Error bars are given for the estimate of the maximum (boxcar: 3 times Large Separation taken as 135 |
| Open with DEXTER | |
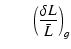
4.2 A reference bolometric granulation power density spectrum
Table 4:
Bolometric parameters. The last line corresponds to reference values resulting from a mean of the values given in the other lines, weighted by
.
The different mean profiles of bolometric background power density spectra are shown in
Fig. 5. Here again, we notice the good agreement of the different curves.
Coefficients characterizing the different curves are given in Table 4 as well as
reference values proposed for the Sun background contribution. Here again, the influence of the size of the smoothing boxcar (between 0.1 to 4 times
)
has been tested and found negligible within the present error bars.
![]() |
Figure 5: Observational bolometric power density spectrum estimated as described in the text, for PMO6 data (plain black line), SPM-blue (dot [blue]), SPM-green (dash [green]), SPM-red (long dash [red]). a): granulation+ mesogranulation components; b): granulation and mesogranulation individual components. |
| Open with DEXTER | |
5 Response functions of CoRoT for objects on the Main Sequence
Stellar atmosphere models are computed with the Atlas 9 code (Kurucz 1993)
in a modified version including the CGM convection (see Heiter et al. 2002).
Considering the CoRoT total efficiency shown in Fig. 6,
we compute the CoRoT response functions for stellar atmosphere
models characterized by different values of
,
and chemical compositions illustrative of possible solar-like candidates on the Main Sequence (
,
,
K).
![]() |
Figure 6: CoRoT total efficiency. |
| Open with DEXTER | |
![]() |
Figure 7:
Polynomial fit of the CoRoT response function
|
| Open with DEXTER | |
As shown in Fig. 7, the dependency of the CoRoT response function
on
and chemical composition is small in the considered range. To a great extent (within 0.6%), it can be neglected and
as
can be described as simple polynomial functions of
only:
We proceed in the same way for
Values of the parameters obtained for the fit are given in Table 5.
6 Conclusions
Measurement of stellar oscillations or granulation provides instrumental values which depend on the instrumental technique and bandpass and on the star considered. In this work, with the purpose of helping future comparisons between stars observed in photometry,
- 1.
- We propose a simple expression for response functions connecting specific instrumental photometric measurements with intrinsic bolometric values for oscillation amplitudes and granulation power density.
- 2.
- We test and validate this expression on four sets of data obtained on the Sun, in four different bandpasses and with two different instrumental techniques.
- 3.
- We establish reference bolometric measurements for the Solar oscillation amplitudes
(
ppm) and for the Solar granulation power density.
- 4.
- We compute the response functions for the CoRoT instrument and give an analytic expression for it.
Table 5: Fit of CoRoT response functions.
Acknowledgements
SOHO is a mission of international collaboration between ESA and NASA.
Appendix A: Derivation of the instrumental response functions
Here we derive the relation between the observed flux fluctuation and the intrinsic temperature fluctuations induced by the presence of non-radial modes or granulation on the surface of the star. We proceed in the manner of Berthomieu & Provost (1990). We summarize the main steps and emphasize the approximations that we adopt in the present study. The flux,
,
received from the star at the wavelength
is given by
(see Berthomieu & Provost 1990):
where
We define the limb-darkening function,
, as
where
where
where we have defined
According to Eqs. (A.1), (A.2) and (A.4), a small variation of
where
The three last terms in RHS of Eq. (A.6) are the perturbation of the limb-darkening function and the surface distortion (for details see Berthomieu & Provost 1990). All these perturbuations are shown to have a negligible contribution to
compared to that of
.
Accordingly, Eq. (A.6) can be simplified as:
where we have dropped
We place ourself in Local Thermodynamic Equilibrium and assume adiabatic perturbations for linearisation, accordingly
where
is the black body law whose expression is
![]() |
(A.8) |
where T is the local temperature, c the speed of the light, h Planck's constant, and k Boltzmann's constant.
The local variation of
is induced by a local variation of T. Assuming small perturbations, we have
Using Eqs. (A.9) and (A.15), Eq. (A.7) can then be written as:
Finally, we approximate Eq. (A.1) as
where
The relative variation of the total flux I received by the instrument is finally given by
where
![]() |
(A.14) |
A.1 Non-radial oscillations
In the case of a non-radial spheroidal mode,
is by definition:
where
where
As shown by Berthomieu & Provost (1990), for low
degree,
marginally depends on
.
Furthermore, they show that - in the Sun - the optical depth
is very close the the photosphere, which by definition corresponds to the layer
and
.
Then, from here, we will assume that
coincides with the photosphere (
).
Using Eqs. (A.10), (A.11), (A.13), (A.12), and (A.15), we then derive the flux variation due to the mode:
with
where we have defined the ``visibility'' coefficient,
Note that, from the definition of
By using stellar atmosphere models, we find that - in the domain of
and gravity we are interested here -
varies slowly with
compared to
and
.
Accordingly, Eq. (A.18) can be simplified as:
Following Dziembowski (1977), we can decompose
| (A.21) |
with
where i is the angle between the observer and the rotation axis and
The bolometric flux variation,
,
is obtained from Eq. (A.17) by assuming in Eq. (A.20)
a constant
,
this gives
with
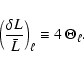
For a radial mode, S0,0=1 and
By definition of the effective temperature (
where
We have again for a radial mode:
Then, according to Eqs. (A.26) and (A.28), we have
![]() |
(A.30) |
Thus, for a radial mode,
Now, according to Eqs. (A.17) and (A.31), we can writte:
Eq. (A.32) then relates the observed intensity fluctuations to the bolometric and instrinsic mode amplitude in terms of luminosity.
A.2 Granulation
We define
as the relative temperature perturbation due to the granulation at the instant t and the position
.
As for the mode, we derive the flux perturbation,
,
due to the granulation:
![]() |
(A.33) |
with
To go further, one needs to know how temperature fluctuations due to the granules are distributed along the star surface. We note that we are only interested in the time averaged intensity fluctuations. As a simplification, we assume that distribution of the temperature fluctuations is - in time average - homogeneous. Accordingly, we can ignore the dependence of
with
As for the radial modes,
References
- Aigrain, S., Favata, F., & Gilmore, G. 2004, A&A, 414, 1139 [NASA ADS] [CrossRef] [EDP Sciences]
- Andersen, B., Appourchaux, T., & Crommelnynck, D. 1998a, in Sounding solar and stellar interiors, ed. Provost, & F. Schmider, 181, 147 (In the text)
- Andersen, B., Leifsen, T., Appourchaux, T., et al. 1998b, in Structure and Dynamics of the Interior of the Sun and Sun-like Stars, ed. S. Korzennik, ESA SP, 418, 83
- Anklin, M., Frohlich, C., Wehrli, C., & Finsterle, W. 1998, in Structure and Dynamics of the Interior of the Sun and Sun-like Stars, ed. S. Korzennik, ESA SP, 418, 91
- Baglin, A., Michel, E., Auvergne, M., & The COROT Team. 2006, in Proceedings of SOHO 18/GONG 2006/HELAS I, Beyond the spherical SunESA, Special Publication, 624, (In the text)
- Barban, C., Goupil, M. J., Van't Veer-Menneret, C., et al. 2003, A&A, 405, 1095 [NASA ADS] [CrossRef] [EDP Sciences] (In the text)
- Baudin, F., Samadi, R., Appourchaux, T., & Michel, E. 2007, ArXiv e-prints, 710 (In the text)
- Bedding, T. R., & Kjeldsen, H. 2007, in Unsolved Problems in Stellar Physics: A Conference in Honor of Douglas Gough, ed. R. J. Stancliffe, J. Dewi, G. Houdek, R. G. Martin, & C. A. Tout, Amer. Inst. Phys. Conf. Ser., 948, 117 (In the text)
- Belkacem, K., Samadi, R., Goupil, M.-J., & Dupret, M.-A. 2008, A&A, 478, 163 [NASA ADS] [CrossRef] [EDP Sciences] (In the text)
- Berthomieu, G., & Provost, J. 1990, A&A, 227, 563 [NASA ADS] (In the text)
- Dziembowski, W. 1977, Acta Astron., 27, 203 [NASA ADS]
- Frohlich, C., Andersen, B. N., Appourchaux, T., et al. 1997, Sol. Phys., 170, 1 [NASA ADS] [CrossRef] (In the text)
- Harvey, J. 1985, in Future Missions in Solar, Heliospheric, & Space Plasma Physics, ed. E. Rolfe, & B. Battrick, ESA SP, 235, 199 (In the text)
- Heiter, U., Kupka, F., van't Veer-Menneret, C., et al. 2002, A&A, 392, 619 [NASA ADS] [CrossRef] [EDP Sciences] (In the text)
- Kjeldsen, H., Bedding, T. R., Butler, R. P., et al. 2005, ApJ, 635, 1281 [NASA ADS] [CrossRef] (In the text)
- Kjeldsen, H., Bedding, T. R., Arentoft, T., et al. 2008, ArXiv e-prints, 804 (In the text)
- Kurucz, R. L. 1993, SYNTHE spectrum synthesis programs and line data (Kurucz CD-ROM, Cambridge, MA: Smithsonian Astrophysical Observatory) (In the text)
- Ludwig, H.-G. 2006, A&A, 445, 661 [NASA ADS] [CrossRef] [EDP Sciences]
- Samadi, R., Belkacem, K., Goupil, M.-J., Kupka, F., & Dupret, M.-A. 2007a, in IAU Symposium, ed. F. Kupka, I. Roxburgh, & K. Chan, 239, 349
- Samadi, R., Georgobiani, D., Trampedach, R., et al. 2007b, A&A, 463, 297 [NASA ADS] [CrossRef] [EDP Sciences]
- Toutain, T., & Gouttebroze, P. 1993, A&A, 268, 309 [NASA ADS]
- Trampedach, R., Christensen-Dalsgaard, J., Nordlund, A., & Stein, R. F. 1998, in The First MONS Workshop: Science with a Small Space Telescope, held in Aarhus, Denmark, June 29-30, ed. H. Kjeldsen, T. R. Bedding, Aarhus Universitet, 59
All Tables
Table 1: Fit with seven parameters. Values of the parameters are given as well as the associated one-sigma error estimates.
Table 2: Fit with five parameters.
Table 3: Response functions for different sets of solar data.
Table 4:
Bolometric parameters. The last line corresponds to reference values resulting from a mean of the values given in the other lines, weighted by
.
Table 5: Fit of CoRoT response functions.
All Figures
![]() |
Figure 1:
Observational power density spectrum obtained for:
SPM-blue a) and SPM-green b) data over 700 days; a moving mean is applied with
a 4 |
| Open with DEXTER | |
| In the text | |
![]() |
Figure 2: Same as Fig. 1 for, from top to bottom: SPM-blue ( a), SPM-green ( b), SPM-red ( c) data over 700 days and PMO6 ( d) data over 800 days, but here we forced Ci=4. |
| Open with DEXTER | |
| In the text | |
![]() |
Figure 3: a) Observational instrumental power density spectrum associated with the stellar background contribution and estimated as described in the text, for PMO6 data (plain black line), SPM-blue (dot [blue]), SPM-green (dash [green]), SPM-red (long dash [red]); b) same for the oscillation contribution. |
| Open with DEXTER | |
| In the text | |
![]() |
Figure 4:
Observational bolometric amplitude per radial mode estimated as described in the text, for PMO6 data (plain black line), SPM-blue (dot [blue]), SPM-green (dash [green]), SPM-red (long dash [red]). Error bars are given for the estimate of the maximum (boxcar: 3 times Large Separation taken as 135 |
| Open with DEXTER | |
| In the text | |
![]() |
Figure 5: Observational bolometric power density spectrum estimated as described in the text, for PMO6 data (plain black line), SPM-blue (dot [blue]), SPM-green (dash [green]), SPM-red (long dash [red]). a): granulation+ mesogranulation components; b): granulation and mesogranulation individual components. |
| Open with DEXTER | |
| In the text | |
![]() |
Figure 6: CoRoT total efficiency. |
| Open with DEXTER | |
| In the text | |
![]() |
Figure 7:
Polynomial fit of the CoRoT response function
|
| Open with DEXTER | |
| In the text | |
Copyright ESO 2009
Current usage metrics show cumulative count of Article Views (full-text article views including HTML views, PDF and ePub downloads, according to the available data) and Abstracts Views on Vision4Press platform.
Data correspond to usage on the plateform after 2015. The current usage metrics is available 48-96 hours after online publication and is updated daily on week days.
Initial download of the metrics may take a while.
![\begin{figure}
\par\includegraphics[width=8.5cm,clip]{0353fig1.eps}
\end{figure}](/articles/aa/full_html/2009/09/aa10353-08/Timg7.gif)
![\begin{figure}
\par\includegraphics[width=8.5cm,clip]{0353fig2.eps} \end{figure}](/articles/aa/full_html/2009/09/aa10353-08/Timg8.gif)
![\begin{figure}
\par\includegraphics[width=8cm,clip]{0353fig3a.eps}\\ [2.5mm]
\includegraphics[width=8cm,clip]{0353fig3b.eps}
\end{figure}](/articles/aa/full_html/2009/09/aa10353-08/Timg30.gif)




















![\begin{figure}
\par\includegraphics[width=8.5cm,clip]{0353fig4.eps} \end{figure}](/articles/aa/full_html/2009/09/aa10353-08/Timg103.gif)
![\begin{figure}
\par\includegraphics[width=8.5cm,clip]{0353fig5.eps}
\end{figure}](/articles/aa/full_html/2009/09/aa10353-08/Timg118.gif)
![\begin{figure}
\par\includegraphics[width=8.5cm,clip]{0353fig6.eps}
\end{figure}](/articles/aa/full_html/2009/09/aa10353-08/Timg122.gif)
![\begin{figure}
\par\includegraphics[width=8.5cm,clip]{0353fig7.eps}
\end{figure}](/articles/aa/full_html/2009/09/aa10353-08/Timg123.gif)





























