| Issue |
A&A
Volume 495, Number 3, March I 2009
|
|
|---|---|---|
| Page(s) | 795 - 806 | |
| Section | Extragalactic astronomy | |
| DOI | https://doi.org/10.1051/0004-6361:200810898 | |
| Published online | 14 January 2009 | |
A complete 12CO 2-1 map of M 51 with HERA
II. Total gas surface densities and gravitational stability
M. Hitschfeld1 - C. Kramer1,2 - K. F. Schuster3 - S. Garcia-Burillo4 - J. Stutzki1
1 - KOSMA, I. Physikalisches Institut, Universität zu Köln,
Zülpicher Straße 77, 50937 Köln, Germany
2 -
IRAM, Avenida Divina Pastora 7, N
cleo Central, 18012
Granada, Spain
3 -
IRAM, 300 rue de la Piscine, 38406 St Martin d'Hères, France
4 -
Observatorio de Madrid, Alfonso XII, 3, 28014 Madrid, Spain
Received 2 September 2008 / Accepted 22 December 2008
Abstract
Context. To date the onset of large-scale star formation in galaxies and its link to gravitational stability of the galactic disk have not been fully understood. The nearby face-on spiral galaxy M 51 is an ideal target for studying this subject.
Aims. This paper combines CO, dust, H I, and stellar maps of M 51 and its companion galaxy to study the H2/H I transition, the gas-to-dust ratios, and the stability of the disk against gravitational collapse.
Methods. We combine maps of the molecular gas using 12CO 2-1 map HERA/IRAM-30 m data and H I VLA data to study the total gas surface density and the phase transition of atomic to molecular gas. The total gas surface density is compared to the dust surface density from 850
m SCUBA data. Taking into account the velocity dispersions of the molecular and atomic gas, and the stellar surface densities derived from the 2MASS K-band survey, we derive the total Toomre Q parameter of the disk.
Results. The gas surface density
in the spiral arms is
2-3 higher compared to that of the interarm regions. The ratio of molecular to atomic surface density shows a nearly power-law dependence on the hydrostatic pressure
.
The
distribution in M 51 shows an underlying exponential distribution with a scale length of
kpc representing 55% of the total gas mass, comparable to the properties of the exponential dust disk. In contrast to the velocity widths observed in H I, the CO velocity dispersion shows enhanced line widths in the spiral arms compared to the interarm regions. The contribution of the stellar component in the Toomre Q-parameter analysis is significant and lowers the combined Q-parameter
by up to 70% towards the threshold for gravitational instability. The value of
varies from 1.5-3 in radial averages. A map of
shows values around 1 on the spiral arms indicating self-regulation at play.
Key words: ISM: kinematics and dynamics - galaxies: ISM - galaxies: kinematics and dynamics - galaxies: spiral
1 Introduction
To understand the evolution and appearance of galaxies it is crucial to study the interplay between stars and the interstellar gas and dust. Stars are made within the dense and cold interiors of molecular clouds. It is generally believed that molecular clouds form from the densest regions of more widely distributed, diffuse atomic clouds. During their lifetimes, stars seed the gas with heavy elements, energy, and momentum, all of which strongly affects their parental environment, the subsequent formation of new stars, and their host galaxy. The photo-destruction of molecular clouds leads to their dispersal and the formation of diffuse atomic clouds, thereby recycling the material. The processes governing the phase transition from the cold neutral medium to dense, molecular gas, and back again, are however still unclear (Heitsch et al. 2008; Rosolowsky et al. 2007; Knapen et al. 2006). Studies combining maps of CO, the traditional tracer of molecular gas, H I, and the cold dust will form the basis for any understanding of their interrelation. The spatial distribution of the various galactic components is best studied in nearby face-on galaxies, like M 51, which lies at a distance of 8.4 Mpc (Feldmeier et al. 1997).
![]() |
Figure 1:
Left: map of integrated CO 2-1 intensities on the antenna
temperature scale in K km s-1 at 11'' resolution
(cf. Paper I). A logarithmic spiral is shown in all figures of
M 51 to guide the eye. Right: map of H I column densities (Walter et al. 2008) in units of
1020 cm-2 at a resolution of |
| Open with DEXTER | |
Two empirical laws describe star formation in galaxies. First, stars are observed to only form efficiently above a critical gas surface density that appears to be determined by the Toomre (Toomre 1964) criterion for gravitational stability. This star formation threshold has been observed in many galaxies (e.g. Martin & Kennicutt 2001). Note, however the exceptions discussed e.g. by Wong & Blitz (2002). Second, a tight relation has been found between the star formation rate and the surface density of the total gas, i.e. the molecular and atomic gas, the Schmidt law. In this paper, we will focus on the Toomre criterion.
In its original version it considers a dynamical stability analysis of a thin, gaseous, differentially rotating, single-component disk against axisymmetric gravitational perturbations. Observational studies of the Toomre threshold have usually assumed a constant velocity dispersion of the gas, while Schaye (2004) questions this assumption, arguing that the drop of velocity dispersion associated with the transition from the warm to a cold phase of the interstellar medium causes the disk to become gravitationally unstable. In addition, recent studies have shown that the stellar component contributes significantly to the gravitational stability and cannot be neglected (Boissier et al. 2003; Yang et al. 2007).
In Schuster et al. (2007, hereafter Paper I), we combined new CO 2-1 data of M 51 obtained at the IRAM-30m telescope using HERA, with H I, and radio continuum data from the literature to discuss radial profiles of the molecular and atomic gas mass surface densities and star formation rates, averaged over azimuth as a function of radius in the disk of M 51. In the following, we will simply speak of radial averages.
In the present paper, we combine the CO 2-1 data with H I VLA data
from the THINGS survey (Walter et al. 2008,2005), 850
m
SCUBA dust continuum data (Meijerink et al. 2005), and a K-Band 2MASS
image. We use the CO and H I data to derive maps of the mass surface
densities of the molecular and atomic gas, and maps of their velocity
dispersions. Maps of the total gas and of the ratio of molecular to
atomic gas are then discussed. We separate the total gas mass surface
density map into an underlying exponential disk and the spiral arm
structure. The results are then compared with the dusty exponential
disk found by Meijerink et al. (2005) in their SCUBA map of M 51. This
allows us to study the variation of the gas-to-dust ratios in the disk
and in the arms.
In preparation for the Toomre analysis, we discuss the velocity dispersions of the molecular and atomic gas. Combining the data of the molecular and atomic gas with the map of stellar mass surface density derived from the 2MASS data, we then present the radial average and a map of the total Toomre Q parameter describing the gravitational stability of the disk.
2 Observations and data
Observations of the 12CO 2-1 emission from M 51 were conducted with the IRAM 30 m telescope in February 2005. The half power beam width (HPBW) is 11''. For detailed information of the observations we refer to Paper I.
Additionally, we use data of the H I Nearby Galaxy Survey (THINGS)
(Walter et al. 2008,2005). M 51 was observed in the VLA D, C, and B
array configurations and presented in Kennicutt et al. (2007). In
D-configuration the interferometer is sensitive to scales of 15'allowing to detect almost the total flux for M 51. The angular
resolution in the integrated intensity image is 5.86
.
The sensitivity of the THINGS data is 0.44 mJy beam-1 for 5.2 km s-1 channel width (Walter et al. 2008), which is about a factor
4 deeper than the VLA data of Rots et al. (1990) used in Paper I.
To derive stellar densities, we used the K-Band images of the Two Micron All Sky Survey (2MASS) Large Galaxy Atlas (Jarrett et al. 2003).
3 Molecular and atomic gas
![]() |
Figure 2:
Map of the total gas mass surface density
|
| Open with DEXTER | |
3.1 The total gas surface density
In Fig. 2 we present a map of the total gas surface
density
.
This map is a major ingredient of the
gravitational stability analysis we will discuss later in this paper.
To convert from the observed integrated intensities to the total gas
surface densities, we use the relation
)
taking into
account the mass contribution from He (cf. Paper I).
The atomic surface density was calculated from the THINGS H I column
density image of M 51 (Fig. 1), smoothed to 11'' resolution. Two logarithmic
spirals (shown in black) serve as a guide to delineate the inner
spiral arms. They are adopted from Shetty et al. (2007) who identified
them from a BIMA 12CO 1-0 map of M 51.
The total gas surface density in Fig. 2 peaks at 127
pc-2. The inner spirals showing the densest peaks just
south-west of the center show total gas surface densities of 80-100
pc-2.
We subdivided the total gas map (Fig. 2) into five
different regions: the inner and outer spiral arms, the interarm
regions, the outer disk, and the companion galaxy. All regions above a
threshold surface density of 20
pc-2 were attributed to
the spiral arms. The outer border of the outer disk of M 51 was defined
by the 3
level of
pc-2(
K km s-1,
K km s-1). The threshold for the arms leads to the
identification of spiral arms which correspond roughly with the arms
seen in interferometric CO maps Shetty et al. (2007), and those seen in
H
-, and in 20 cm radio-continuum emission
(Patrikeev et al. 2006; Scoville et al. 2001).
Table 1 lists the average total gas
density and the average H2 over H I density ratio for the five
subregions. The average of the inner spiral arm region,
is
pc-2.
The outer spiral arms show less gas surface density, with an average
total gas density of 18.8
pc-2, including the south
western spiral arm and the north eastern spiral arm. This is
approximately a factor of 1.5 weaker than the spiral arms in the
central region. Few high density regions on the outer spiral arms
reach
of 40-50
pc-2 e.g. to the
south-west at (
-120'',-200'') and the north-east at (
140'',100'').
This is signifcantly weaker compared to the peaks in the center.
Table 1:
Properties of
and
/
in M 51 averaged over the areas shown in
Fig. 2.
The interarm regions show surface densities of 5-15
pc-2.
The average value is 9.4
pc-2. The averaged inner
arm/interarm contrast in the total gas surface density is 2.9
confirming the results of Garcia-Burillo et al. (1993b) in the integrated CO 2-1
intensities.
There are several spur-like structures bridging the gap between the
inner spiral structure and the outer spiral arms e.g. in the
north-western area at (
-40'',80'') at a surface density of 20-30
pc-2. Also, in the north-east at (
100'',100'') there is
a strong bridge between inner and outer spiral arms with a total gas
surface density of 20-40
pc-2. The gaps or minima in
total gas density seen in the spiral arms e.g. at (
-80'',-40'') and
at (
-120'',60'') are interpreted as the signature of 4:1
ultra-harmonic resonances by Elmegreen et al. (1989) applying density
wave theory.
![]() |
Figure 3:
Map of the ratio of molecular-(
|
| Open with DEXTER | |
3.2 The molecular gas fraction
Figure 3 shows the ratio map of molecular versus
atomic gas surface density
/
.
Overall, the map shows a steep decrease of the ratio from peak values
of around 50 in the center to 0.1 in the outer regions as already seen
in the radial average (cf. Paper I). The spiral arms in the center
are the regions with the highest fraction of molecular gas. The
average ratio in the two inner spiral arms delineated in
Fig. 2 is 2.1 (Table 1).
Outwards, at radii of more than about 100'', the ratio drops also in
the spiral arms. The north-eastern and south-western continuation of
the inner spiral arms show few regions with a ratio of 1 or slightly
above which are correlated with the regions of increased total gas
density (Fig. 2). The average ratio on the outer spiral
arms in the marked polygons is 0.21. This is a factor of 10 lower
compared to the inner spirals. The interarm region within the inner
100'' radius shows an average ratio of 0.71. The molecular gas surface density drops below the 2
threshold at larger radii
for most positions.
The increase of the molecular-to-atomic gas fraction in the spiral arms may be triggered by the spiral wave increasing the hydrostatic pressure, and thereby the formation of molecular clouds from the atomic phases of the ISM.
Next, we will discuss the hydrostatic pressure in the disk of M 51 as a possible parameter governing the ratio of molecular and atomic gas.
3.3 The hydrostatic pressure
Recent investigations, e.g. by
Blitz & Rosolowsky (2004a,b,2006), have shown a tight
correlation of the
/
ratio in
external galaxies and the hydrostatic pressure
.
Elmegreen (1993) theoretically studied the impact of hydrostatic
pressure and radiation field on the ratio of atomic and molecular gas.
He concludes that the pressure should be the dominant factor
determining this ratio. He predicts a power law
of their radial
averages. Following Blitz & Rosolowsky (2004b), the hydrostatic pressure can
be estimated for an infinite disk with isothermal gas and stellar
layers from the midplane pressure in equilibrium:
![]() |
(1) |
Assuming the volume density of the gas
![]() |
Figure 4:
The radial averaged fraction of molecular gas density
|
| Open with DEXTER | |
As in Paper I, radial averages were created by averaging in
elliptical annuli spaced by 10'', including and taking into
account points of no detection, and centered at the center position.
The annuli are circular rings viewed at an inclination angle
and with a line of nodes rotated from north to east by
the position angle
.
Figure 4 shows the
/
ratio plotted versus the hydrostatic pressure
,
covering three orders of magnitude in pressure, the
largest range measured so far in a galaxy disk. A linear regression
fit yields a powerlaw:
![]() |
(3) |
with the powerlaw coefficient
This result underlines the importance of the hydrostatic pressure as the physical parameter determining the fraction of molecular to atomic material at a given radius on large scales. The nearly linear dependence found over the whole pressure regime is expected by theoretical predictions (Elmegreen 1993; Blitz & Rosolowsky 2006), if the gravitational potential imposed by the gaseous component is small compared to the stellar component. Note that the pressure dependence of the molecular to atomic fraction is expected to break down when the spatial resolution of the observational data is close to the size of a single giant molecular cloud (GMC). A single GMC is expected to have enhanced pressure due to self-gravity and the assumption of pressure equilibrium is no longer valid (Blitz & Rosolowsky 2006).
3.4 An exponential disk in M 51
Table 2: Properties of the exponential disk of the total gas derived in this paper compared to the properties of the exponential dust disk determined by Meijerink et al. (2005).
Next, we investigate the model of an underlying exponential
distribution of the total gas density in the disk of M 51 and
compare it with the dust disk found by Meijerink et al. (2005).
We fitted an inclined elliptical exponential disk to the
total gas surface density distribution map. We assumed a
centered disk at an inclination of 20
and a position angle
of 170
.
The scale length
and the amplitude
are determined from a 2-d fit of an
exponential distribution
/
). All pixels in the total gas density
map exceeding a threshold surface density of
pc-2 were blanked. This corresponds to the arm
regions we marked in Fig. 2 and discussed in Sect. 3.1. A significantly higher blanking threshold
leads to an overestimation of the exponential disk in the central
parts as spiral arm regions are included in the fitting.
Properties of the exponential disk
The scale length of the fitted exponential decay of the total gas disk
is
kpc (Table 2) with the peak at
17.8
pc-2. The reduced
of the fit is 5.1. The
fraction of total gas mass contained in the exponential disk is 61%.
Thus the spiral arms contain only ![]()
of the total gas mass.
Meijerink et al. (2005) fit a scale-length of the exponential dust disk
of
kpc corresponding to
kpc for a
distance of 8.4 Mpc, assumed in the present paper. Assuming an
isothermal disk, the fraction of dust contained in the exponential
disk is 55%.
Notably, the scale lengths of the total gas and of the dust exponential
disks are similar, as are the relative fractions of mass contained
in the disks.
Note that the shallow radial temperature profile
deduced by Meijerink et al. (2005) of 25 K in the center to 17 K in
the outskirts at 10 kpc radial distance, only leads to a 35%
variation of corresponding dust surface densities if the temperature is
assumed to be constant. Thus, an isothermal dust
disk of 25 K dust temperature and
cm2 g-1 (Meijerink et al. 2005) are
assumed in the calculation of the dust surface density.
The dust surface density
is
![]() |
(4) |
![]() |
Figure 5:
The residual map of the total gas surface density after removal of
a fitted underlying exponential disk. The exponential disk is shown in
contours with contour levels 1 |
| Open with DEXTER | |
The radially averaged gas-to-dust mass ratio of the surface densities of the exponential disk is shown in the lower box of Fig. 7. The gas-to-dust mass ratio is nearly constant with galacto-centric radius, reflecting the similar scale lengths. Values vary only between 23 and 26, which is about a quarter of the canonical Galactic gas-to-dust mass ratio of 100. This constancy is in contrast for example to the strong radial variation of the H2/H I surface density ratio by more than a factor of 100.
The gas-to-dust mass ratio in the exponential disk is significantly lower compared to the canonical Galactic value, whereas the metallicity of M 51 is only slightly supersolar with a shallow gradient with varying galactocentric radius (e.g. Kramer et al. 2005). However, several sources of uncertainty enter into this calculation which can not be resolved in the context of this study but might drive the value towards the canonical gas-to-dust mass ratio of 100. In the inner part H2 dominates the total gas mass and is itself calculated via the X-factor for M 51 (see discussion in Paper I). The low gas-to-dust mass ratio in the exponential disk, which constitutes the interarm regions, might indicate an X-factor in the interarm regions closer to the Galactic X-factor (4 times the value of M 51). This will on the other hand not severely effect the gas-to-dust mass ratio at larger radii where the atomic component is dominanting the molecular contribution.
Additionally, the assumption of a constant dust temperature
K and
cm2 g-1 (Meijerink et al. 2005)
might cause an overestimation of
in the exponential disk.
A 4 times higher
yields a Galactic gas-to-dust mass ratio
value but seems unlikely as the values for
determined in external galaxies are typically
cm2 g-1 (Alton et al. 2002; James et al. 2002). A higher dust
temperature also drives the gas-to-dust mass ratio towards the Galactic value, with
a ratio of 100 for
K and
cm2 g-1 as used above.
3.5 Properties of the residual emission
![]() |
Figure 6:
The residual map of the 850 |
| Open with DEXTER | |
![]() |
Figure 7:
a) Radial averages of surface densities. |
| Open with DEXTER | |
![]() |
Figure 8:
Map of the K-band luminosity LK from the Two Micron
All Sky Survey (2MASS) Large Galaxy Atlas (Jarrett et al. 2003)
smoothed to 11'' resolution. The units are |
| Open with DEXTER | |
For the computation of dust surface density in the residual data, i.e.
in the spiral arms, we assume a uniform dust temperature
K and
cm2 g-1(Meijerink et al. 2005) as above.
The resulting fraction of
and
in the spiral arms, shown in Fig. 7,
is not constant with radius, but rather varies by almost a factor 3
between about 70 and 190 within the first 5kpc where the emission is above the
3
-threshold.
In contrast to the gas-to-dust fraction in the exponential disk, we find a minimum of 73 at 3.8 kpc radial distand and a value of 186 in the center. Thus the gas-to-dust mass surface density ratio is a factor of 3-8 higher in the spiral arms compared to the underlying exponential disk.
As the exponential disk constitutes a minor fraction of the gas mass in the spiral arms, it hardly mixes with the spiral arm component.
The global gas-to-dust mass ratio, summing the mass components in the exponential
disk and the spiral arms in M 51 upto the 3
-limit of the dust
observations, is at 112 close the Galactic value.
![]() |
Figure 9:
Left: map of the first moment
|
| Open with DEXTER | |
4 Stellar surface density
The stellar surface density is an important parameter in determining
the stability of the disk. We use the K-Band images of the Two
Micron All Sky Survey (2MASS) Large Galaxy Atlas (Jarrett et al. 2003)
to determine the stellar surface mass density
.
The
K-Band is a reasonable tracer of the stellar mass density as it is
much less affected by extinction within M 51 than e.g. the B-Band in
the optical. The Galactic foreground extinction in the K-Band is
0.013 mag compared to 0.152 mag in the B-Band (Schlegel et al. 1998).
Bell & de Jong (2001) discuss mass-to-light ratios in the optical and
near-IR passbands. Assuming an universal spiral galaxy initial mass
function (IMF), they find variations of the mass-to-light ratio of up
to 7 in the optical, 3 in the B-Band and 2 in the K-Band. To
convert from luminosities to solar masses, we use a K-Band
mass-to-light ratio
MK/LK = 0.5
/
(Bell & de Jong 2001). The stellar surface density is then determined from
the K-Band luminosities via
pc-2 for a distance of 8.4 Mpc to M 51 and an angular
resolution of 3''.
The radial average of the stellar surface density
is
shown in Fig. 7. It decreases from a central value of
pc-2 to 7
pc-2 before
increasing to 12
pc-2, due to the influence of the
neighboring galaxy NGC 5195.
The fraction of stellar-to-gaseous mass density
is high in the center, decreasing
outwards to values below 1 at a radial distance of about 8 kpc,
before increasing again due to NGC 5195.
5 Kinematics of the 12CO 2-1 data
5.1 Velocity field and streaming motions
Figure 9a shows the observed velocity field of the 12CO 2-1 data ranging from 370 to 550 km s-1 with the northern part blue-shifted towards us and the southern part of the galaxy red-shifted due to the inclination of the galaxy.
To calculate the velocity field for purely circular motions, we use
the rotation curve derived by Garcia-Burillo et al. (1993a,b) and a
position angle of
.
In addition, we assume a constant
inclination of
and a central velocity of
km s-1 (Shetty et al. 2007; Tully 1974). The velocity
field at each point in the map is then given by
with the azimuthal angle
The two maps resemble well, i.e. the dominant component creating the observed velocity field is the differential rotation curve v(R)creating the striking X-shape of the iso-velocity contours.
However, the observed velocity field shows in addition many complex
structures and distortions not expected from purely rotational
motions. We define the residual velocity as the difference of the
observed velocity field and purely rotational motions from the
rotation curve:
.
Figure 10 shows a map of the residual velocities,
which we will call streaming motions henceforth.
Streaming motions vary between
45 km s-1. Strong residual
velocities are seen in the center and near the inner spiral arms, e.g.
near (0'', -85'') and (60'', 20'').
Both outer arms do not show significant streaming motions. We
speculate that their locations at radii of
120-170'' from the
galaxy center, lie close to the predicted location of the corotation
radius at 160'' (Garcia-Burillo et al. 1993a,b). At this position no net
streaming is expected.
Here, we don't go into more detail, as streaming motions in M 51 have previously been discussed by Garcia-Burillo et al. (1993a) using older 30 m data and by Aalto et al. (1999) using OVRO data. In addition, Kuno & Nakai (1997) discussed the streaming motions in M 51 based on 12CO 1-0 data observed with the NRO 45 m telescope. More recently, Shetty et al. (2007) use BIMA 12CO 1-0 data of the entire galaxy at 6'' resolution to discuss radial and tangential streaming motions in detail. They determined the systemic velocity, position angle, and inclination from a two-dimensional fit to the data.
![]() |
Figure 10:
Map of non-circular streaming motions
|
| Open with DEXTER | |
5.2 Velocity dispersion of the molecular and the atomic gas
The velocity dispersion of the gas is a signature of the turbulent interstellar medium and systematic motions within the beam. The turbulent medium and the differential rotation curve hinders the medium to collapse under its gravitational pull, as described by the Toomre criterion.
5.2.1 12CO 2-1
Figure 11a shows a map of equivalent 12CO 2-1 line
widths
measuring the
velocity dispersion
.
We will refer to
in the following as
the
observed line width.
The broadest widths are observed in the center, reaching up to 100 km s-1. In the disk of M 51 spiral arms show enhanced line widths relative to the interarm regions. The inner spiral shows strongly enhanced widths relative to the inter arm molecular gas. Along the inner spiral, the widths decrease from about 70 to 20 km s-1. At the same time, the contrast between the arm and interarm dispersion diminishes. Near (60'', 100''), arm and interarm molecular gas shows the same dispersion of about 15-20 km s-1. Overall, regions with distances greater than aboutg 100'' from the center show significantly lower widths of 15 to 20 km s-1. This drop of CO line widths with radius is also seen in a plot of radial averages (Fig. 12) and in the table of line widths averaged over the inner, the outer, and the interarm regions (Table 3). The outer south-western spiral arm shows uniform widths of around 15 km s-1.
Influence of systemic motions
The 12CO 2-1 line widths map in Fig. 11a shows no strong systematic broadening of the observed line widths
Sakamoto (1996) corrected for the broadening due to systemic motions
using:
.
is the velocity variance across the beam as caused by the modeled
large scale velocity field. We apply this method
to quantify the influence of the rotational motion at the central position
(0'', 0'') and six other positions near the minor axis of the galaxy from the
center outwards (Fig. 13).
![]() |
Figure 11:
Velocity dispersions of the molecular and atomic gas in
M 51. a) map of observed widths of 12CO 2-1 in
km s-1.
b) Velocity dispersion of H I, i.e. map of the square root of
the second moment in km s-1. Positions where the H I drops
below the 3 |
| Open with DEXTER | |
The relative error of
is
at the center and
decreases outwards along the minor axis with values of less than
at distances 90'' away from the center. This relative error is shown
together with
for each of the six studied positions in
Fig. 13.
We estimate the effect of the polluted
on
(next
section) using Gaussian error propagation for a reasonable range of values.
The absolute change of
for an overestimation of the line
widths of 10
for the gaseous components (the broadening of stellar dispersion due to systemic
motions is negligible) results in an maximum absolute uncertainty of 0.16.
As this effect is minor, we will in the following neglect the broadening due to
rotational motions.
5.2.2 H I
Although line center of CO and H I emission usually coincide quite well,
dispersions can be quite different.
Figure 11b shows the square root of the second moment
of the H I emission as
a measure of its velocity dispersion. For a Gaussian line profile,
M21/2 corresponds to the FWHM.
The H I line widths show values of around 30-50 km s-1 in the central part. In general, the spiral arms do not show up prominently and the interarm regions show a larger dispersion than the spiral arms, in strong contrast to the corresponding CO map. For example, the inner interarm region near (0'', 100'') shows velocity widths reaching values of up to 40 km s-1 which is significantly higher compared to the arm regions. Towards the companion galaxy, we see enhanced widths, comparable to those in the central region. H I shows a strong north-south asymmetry with significantly lower line widths in the souther parts of the galaxy. This is less pronounced in the CO-data. Several of these observations are reflected in the plot of radial averages (Fig. 12) and in the table of line widths averaged over the different regions (Table 3).
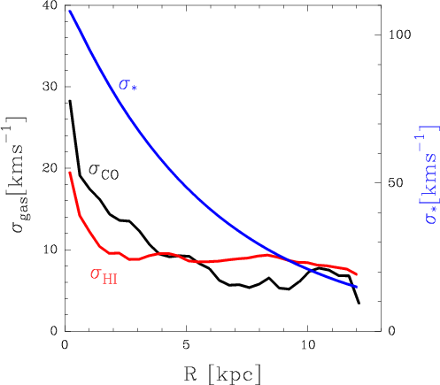
In the plot of radially averaged dispersions (Fig. 12), the dispersion of CO gas exceeds the dispersion of H I for radii up to 4 kpc. The decrease of the dispersion of the atomic component in the inner part from around 20 to 10 km s-1 within 2 kpc is steeper compared to the decrease of the CO dispersion. The radial averaged atomic component then stays constant at around 10 km s-1 out to radii of 12 kpc. The CO dispersion drops to 6 km s-1 below the dispersion of H I at radii of around 6 kpc and increases to 11 km s-1 outwards due to the increased dispersion in the center of the companion.
![]() |
Figure 12:
Radial averages of the velocity dispersions
|
| Open with DEXTER | |
Our findings are consistent with the following scenario (cf. Rand et al. 1992; Garcia-Burillo et al. 1993b). The dispersion of the molecular gas is enhanced in the spiral arms due to frequent collisions of molecular clouds which may be enhanced by streaming motions driven by the density wave. The atomic clouds in the arms appear to form a different population as their local velocity dispersion is much less compared to the molecular gas. We speculate that thus H I in the arms stems mainly from photodissociated H2 in GMCs, where the dispersion has already decreased due to dissipation. The interpretation of VLA H I and OVRO CO observations by Rand et al. (1992) also favors this dissociation scenario.
The plot of radially averaged dispersions (Fig. 12)
also shows the dispersion of disk stars. This is an important
parameter for determining the gravitational stability of the disk and
will be used in the following section. To estimate the stellar
velocity dispersion in M 51, we follow Boissier et al. (2003) and
Bottema (1993). They showed that the velocity dispersion follows
an exponential fall-off
depending on the scale length of the B-band
of the disk. The B-band scale length is
kpc (Trewhella et al. 2000) and the central stellar velocity dispersion
in M 51 is
km s-1 (McElroy 1995). At radii upto 10 kpc, the velocity dispersion of the stars is larger than that of the
molecular and atomic gas components.
Table 3:
Equivalent widths
of CO and H I in M 51 averaged over the
areas shown in Fig. 2.
![]() |
Figure 13:
The overestimation of the intrinsic line widths by the observed line widths near the minor
axis
|
| Open with DEXTER | |
6 Gravitational stability
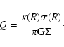
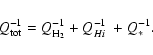
6.1 The combined Toomre parameter Qtotal
We investigate the gravitational stability of the disk of M 51
using the Toomre Q-parameter, taking into account the stellar and
gaseous contribution. In general, the Toomre stability criterion is
depending on the epicyclic frequency
,
the velocity
dispersion
of the component considered, and the surface
density
(Toomre 1964), neglecting e.g. the influence of
magnetic fields:
The gas should collaps if Q drops below 1, when gravitation dominates over dispersion and the epiclyclic frequency.
We treat the molecular gas, the atomic gas, and the stars in the disk
of M 51 as three independent isothermal fluids using the expansion in
wavenumber by Wang & Silk (1994) and neglecting higher order terms in
the wavenumber i.e. in the velocity dispersions. The model assumption
is that the stars move through the gaseous medium without interaction.
For this first order analysis, we assume in addition that the dense
molecular clouds move frictionless through the diffuse atomic gas.
The total Toomre parameter then is:
For
To calculate Q*, we used the 2Mass K-band image smoothed to 11'', as described before. In Fig. 14, the radial
averages of
and
are shown.
Taking into account only the H I and CO gas,
drops from
values of more than 10 in the center to values of between 2 and 5 for
radii beyond about 1 kpc, as has already been discussed in Paper I.
In contrast to
,
is smaller and variies
only little between 1.5 and 3, at all radii, staying always close but
slighty above the critical value for gravitational instability of 1.
This finding indicates a self-regulating disk, keeping the total
Toomre Q parameter near 1. We will enter into the discussion of our
results in the next section.
The importance of the stellar contribution has also been studied by
Boissier et al. (2003), who presented radial averages of the Toomre
Q-parameter for their sample of galaxies, comparing
and
.
They assume a constant velocity dispersion and find
that the stellar contribution lowers the Q-parameter by up to 50%
towards the critical threshold. Leroy et al. (2008) very recently also studied
the radial averages of the Q-parameter including the stellar contribution in a
sample of nearby galaxies from THINGS. They find a
marginally stable
in their sample of 23 nearby dwarf and spiral
galaxies in accordance with our M 51
-results.
6.2 The influence of streaming motions
Below, we will show that the contribution of non-circular motions to the measured velocity dispersions is small. The influence of streaming motions on the local gravitational stability can therefore be ignored.
To test the influence of non-circular streaming motions on the
stability, we correct in the following the observed velocity
dispersion for these residual velocities
,
assuming
Gaussian line profiles:
![]() |
(8) |
This reduced dispersion leads to a reduction of
A local change of the observed line widths
propagates
into
according to Gaussian error propagation. Typical
values of
,
,
km s-1 and a variation of 50% of the velocity
dispersion, yields absolute variations of
of upto 56%
only.
In the radial averages, the maximum relative change between the
corrected and uncorrected
is only 7%. In the following,
we therefore neglect the streaming motions in the Toomre analysis, and
use directly the observed velocity dispersion for the calculation of
the Q-parameter.
![]() |
Figure 14:
Radial average of the total Toomre parameter
|
| Open with DEXTER | |
![]() |
Figure 15:
Map of the total Toomre parameter
|
| Open with DEXTER | |
6.3 The local distribution of Qtot
The local values of the Toomre Q-parameter
at each
position are studied in the following. Numerical simulations show that the local Q values
can deviate significantly from the radially averaged values. Wada & Norman (1999) use two-
dimensional hydrodynamical simulations to study the gravitational stability of
the central region of a galactic disk. While global Q-parameter values of
their model disk are significantly above the threshold for gravitational
collapse, locally the disk shows unstable regions spatially correlated with cold and
dense clumps.
Figure 15 shows a map of the Toomre Q-parameter
in M 51. In general, spiral arms show smaller values of
,
i.e. they are more prone to collapse under the gravitational
pull, than the surrounding interarm gas. This is expected as star
formation occurs predominantly in the spiral arms.
The inner spiral arms show
values between 1 and 2 near
to the threshold for gravitational stability. The regions between the
inner spiral arms show values up to a factor of 2 to 3 higher as they
lack surface density. The outer south-western spiral arm is almost
everywhere critical to gravitational collapse with
below 1 or around 1. The outer north-eastern spiral arm shows
of around 1 and below and few small regions reaching values of about 2.
In summary, we see three systematic trends in
:
- a slight decrease from the central parts to the outer
regions. In the spiral arms, peak values decrease from
1.5-3 to
0.5-1. Note that in Paper I no systematic change of the
gas depletion times from the inner to the outer parts was found;
- secondly, at a fixed radius,
approaches the
regime of instability in the arms, while the interarm regions are
stable;
- thirdly, the outer disk beyond the outer spiral arms the disk is stable as well.
Both galaxies, the LMC and M 51, show large regions near the critical
value for collapse indicating possible sites for star formation.
The observation that
is near 1 in large areas of the
disk is notable and was found previously in radial averages of
several other galaxies (Boissier et al. 2003). This has led
several authors, e.g. Combes (2001), to speculate that
self-regulation drives these galaxies near the threshold of
gravitational stability.
We will briefly sketch the feedback-cycle in the following. The birthplaces of stars are deeply embedded in dense cores of molecular clouds formed through gravitational contraction and collapse of molecular material after loosing much of their turbulent support. Both, bipolar outflows and expanding H II-regions from young stars, stellar winds and supernovae explosions from evolved stars, will introduce mechanical energy into the interstellar medium, locally enhancing the dispersion of the gas, increasing the Q-value. In addition, ionizing radiation from young stars will lead to photo-dissociation of the surface regions and the formation of atomic gas from the molecular material. These feedback mechanisms are supplemented by the density wave, enhancing cloud-cloud collisions due to orbit crowding in spiral arms, also leading to an increase of the velocity dispersion of the molecular gas inside the arms. Star formation in the remaining molecular gas must await dissipation of the enhanced macroscopic turbulence to cascade down to smaller scales and dissipate. Globally, this self-regulation may explain why Q stays near 1.
In the interarm regions the gas stays stable (
)
as no
stars are formed and the feedback mechanisms are not at work. The
regions critical to collapse in the outer spiral arms coincide with
the finding of increased star formation efficiency in these areas by
Garcia-Burillo et al. (1993b) based on H
data.
Shetty & Ostriker (2008) use hydrodynamic simulations, including feedback to study star formation and the structure of galactic disks. They find that a simple feedback mechanism with one star formation event per cloud can not sustain a global spiral pattern in galactic disks. This indicates that the modeling of feedback needs to be improved. Quillen & Bland-Hawthorn (2008) explain episodic star formation in galaxies by strong feedback mechanisms using numerical models.
In recent 3D smoothed particle hydrodynamics simulations of isolated disk galaxies, Li et al. (2005,2006) confirmed the major role of gravitational stability in the process of star formation and were able to examine a threshold surface density. This evidence for the Toomre formalism in their simulations is also dominating any magnetic effects on star formation. Magnetic fields slow the collapse of the gas but do not stop it (Shetty & Ostriker 2008).
7 Summary
Using our complete 12CO 2-1 map of M 51 combined with new HI VLA
data from the THINGS team (Walter et al. 2008,2005), we created a
total gas density map and a ratio map of molecular and atomic surface
density. The total gas density exhibits an underlying exponential
disk similar to the one found in 850
m dust continuum emission by
Meijerink et al. (2005). Maps of 12CO 2-1 velocity field, line
widths and H I line widths were presented. Combining these
information the combined gaseous and stellar Toomre Q-parameter was
discussed radially and locally in the disk of M 51. The main results of
this analysis are:
- The averaged total gas density on the spiral arms is at around
30
pc-2 which is a factor of 3 higher compared to the
interarm regions.
- The ratio of molecular to atomic gas surface density is
highest in the inner spiral arms at around 50 decreasing to 0.2 in
the outer spiral arms. This ratio shows a power-law dependence on
the hydrostatic pressure
with an index of 0.87,
similar to that found in other nearby galaxies (Blitz & Rosolowsky 2006).
- We fit an underlying exponential disk to the total gas density
data with a scale length of 7.6 kpc containing 55% of the total
mass. This is comparable to an underlying exponential disk fitted
to the 850
m dust continuum map by (Meijerink et al. 2005). The
gas-dust ratio in the exponential disk stays nearly constant with
galactocentric radius at around 25. The radially averaged map of
the gas-to-dust ratio in the residual data shows a variation
between 80 and 200.
- The 12CO 2-1 velocity field shows distinct differences
with respect to a purely rotational velocity field. We discuss a
map of these residual or streaming motions. The observed width
of the 12CO 2-1 lines decrease from 100 km s-1 in the
central part to less than 15 km s-1 in the outer regions. The
widths of the H I spectra show similar values, but a
significantly different distribution. While the CO widths show
higher dispersions in the spiral amrs, the H I shows the maximum
line widths in the interarm regions and lower values on the spiral
arms.
- We estimate the gravitational stability using a combined
stellar and gaseous Toomre parameter
.
The impact of
the stellar component on the stability is significant reducint the
Q parameter. It decreases by up to 70% towards the threshold for
stability
.
varies between 5 in
the interarm regions decreasing to values below 1 on the spiral
arms. In general, the spiral arm regions are closer to the
threshold for gravitational instability. The obtained values
close to the threshold of 1 indicate self-regulation in the disk
of M 51. The self-regulation mechanism was discussed on theoretical
grounds by (e.g. Combes 2001; Shetty & Ostriker 2008). Similar studies
based on extragalactic observations in M 83 (Lundgren et al. 2004)
or the LMC (Yang et al. 2007) obtained also Q-values close to the
threshold for stability.
Acknowledgements
We thank F. Walter for providing us the THINGS VLA H I data and we thank R. Meijerink, R. Tilanus, and F. Israel for providing us the SCUBA 850m data of M 51. M.H. acknowledges support from the Bonn-Cologne Graduate School of Physics and Astronomy (BCGS). This work is also financially supported in part by the grant SFB 494 of the Deutsche Forschungsgemeinschaft, the Ministerium für Innovation, Wissenschaft, Forschung und Technologie des Landes Nordrhein-Westfalen and through special grants of the Universität zu Köln and Universität Bonn.
References
- Aalto, S., Huettemeister, S., Scoville, N. Z., & Thaddeus, P. 1999, 522, 165 (In the text)
- Alton, P. B., Bianchi, S., Richer, J., Pierce-Price, D., & Combes, F. 2002, A&A, 388, 446 [NASA ADS] [CrossRef] [EDP Sciences]
- Bell, E. F., & de Jong, R. S. 2001, ApJ, 550, 212 [NASA ADS] [CrossRef] (In the text)
- Blitz, L., & Rosolowsky, E. 2004a, in Star Formation in the Interstellar Medium: In Honor of David Hollenbach, ed. D. Johnstone, F. C. Adams, D. N. C. Lin, D. A. Neufeeld, & E. C. Ostriker, ASP Conf. Ser., 323, 89
- Blitz, L., & Rosolowsky, E. 2004b, ApJ, 612, L29 [NASA ADS] [CrossRef]
- Blitz, L., & Rosolowsky, E. 2006, ApJ, 650, 933 [NASA ADS] [CrossRef]
- Boissier, S., Prantzos, N., Boselli, A., & Gavazzi, G. 2003, MNRAS, 346, 1215 [NASA ADS] [CrossRef]
- Bottema, R. 1993, A&A, 275, 16 [NASA ADS] (In the text)
- Combes, F. 2001, in The Central Kiloparsec of Starbursts and AGN: The La Palma Connection, ed. J. H. Knapen, J. E. Beckman, I. Shlosman, & T. J. Mahoney, ASP Conf. Ser., 249, 475 (In the text)
- Elmegreen, B. G. 1993, ApJ, 411, 170 [NASA ADS] [CrossRef] (In the text)
- Elmegreen, B. G., Seiden, P. E., & Elmegreen, D. M. 1989, ApJ, 343, 602 [NASA ADS] [CrossRef] (In the text)
- Feldmeier, J. J., Ciardullo, R., & Jacoby, G. H. 1997, ApJ, 479, 231 [NASA ADS] [CrossRef] (In the text)
- Garcia-Burillo, S., Combes, F., & Gerin, M. 1993a, 274, 148
- Garcia-Burillo, S., Guelin, M., & Cernicharo, J. 1993b, 274, 123 (In the text)
- Heitsch, F., Hartmann, L. W., Slyz, A. D., Devriendt, J. E. G., & Burkert, A. 2008, ApJ, 674, 316 [NASA ADS] [CrossRef]
- James, A., Dunne, L., Eales, S., & Edmunds, M. G. 2002, MNRAS, 335, 753 [NASA ADS] [CrossRef]
- Jarrett, T. H., Chester, T., Cutri, R., Schneider, S. E., & Huchra, J. P. 2003, AJ, 125, 525 [NASA ADS] [CrossRef] (In the text)
- Kennicutt, Jr., R. C., Calzetti, D., Walter, F., et al. 2007, ApJ, 671, 333 [NASA ADS] [CrossRef] (In the text)
- Knapen, J. H., Allen, R. J., Heaton, H. I., Kuno, N., & Nakai, N. 2006, A&A, 455, 897 [NASA ADS] [CrossRef] [EDP Sciences]
- Kramer, C., Mookerjea, B., Bayet, E., et al. 2005, A&A, 441, 961 [NASA ADS] [CrossRef] [EDP Sciences] (In the text)
- Kregel, M., van der Kruit, P. C., & de Grijs, R. 2002, MNRAS, 334, 646 [NASA ADS] [CrossRef] (In the text)
- Kuno, N., & Nakai, N. 1997, PASJ, 49, 279 [NASA ADS] (In the text)
- Leroy, A. K., Walter, F., Brinks, E., et al. 2008, AJ, 136, 2782 [NASA ADS] [CrossRef] (In the text)
- Li, Y., Mac Low, M.-M., & Klessen, R. S. 2005, ApJ, 620, L19 [NASA ADS] [CrossRef]
- Li, Y., Mac Low, M.-M., & Klessen, R. S. 2006, ApJ, 639, 879 [NASA ADS] [CrossRef]
- Lundgren, A. A., Olofsson, H., Wiklind, T., & Rydbeck, G. 2004, A&A, 422, 865 [NASA ADS] [CrossRef] [EDP Sciences] (In the text)
- Martin, C. L., & Kennicutt, R. C. 2001, ApJ, 555, 301 [NASA ADS] [CrossRef] (In the text)
- McElroy, D. B. 1995, ApJS, 100, 105 [NASA ADS] [CrossRef] (In the text)
- Meijerink, R., Tilanus, R. P. J., Dullemond, C. P., Israel, F. P., & van der Werf, P. P. 2005, A&A, 430, 427 [NASA ADS] [CrossRef] [EDP Sciences] (In the text)
- Patrikeev, I., Fletcher, A., Stepanov, R., et al. 2006, A&A, 458, 441 [NASA ADS] [CrossRef] [EDP Sciences]
- Quillen, A. C., & Bland-Hawthorn, J. 2008, MNRAS, 386, 2227 [NASA ADS] [CrossRef] (In the text)
- Rand, R. J., Kulkarni, S. R., & Rice, W. 1992, ApJ, 390, 66 [NASA ADS] [CrossRef]
- Rosolowsky, E., Keto, E., Matsushita, S., & Willner, S. P. 2007, ApJ, 661, 830 [NASA ADS] [CrossRef]
- Rots, A., Crane, P., Bosma, A., Athanassoula, E., & van der Hulst, J. 1990, AJ, 100, 387 [NASA ADS] [CrossRef] (In the text)
- Sakamoto, K. 1996, ApJ, 471, 173 [NASA ADS] [CrossRef] (In the text)
- Schaye, J. 2004, ApJ, 609, 667 [NASA ADS] [CrossRef] (In the text)
- Schlegel, D. J., Finkbeiner, D. P., & Davis, M. 1998, ApJ, 500, 525 [NASA ADS] [CrossRef] (In the text)
- Schuster, K. F., Kramer, C., Hitschfeld, M., Garcia-Burillo, S., & Mookerjea, B. 2007, A&A, 461, 143 [NASA ADS] [CrossRef] [EDP Sciences] (In the text)
- Scoville, N. Z., Polletta, M., Ewald, S., et al. 2001, AJ, 122, 3017 [NASA ADS] [CrossRef]
- Shetty, R., & Ostriker, E. C. 2008, ArXiv e-prints, 805 (In the text)
- Shetty, R., Vogel, S. N., Ostriker, E. C., & Teuben, P. J. 2007, ApJ, 665, 1138 [NASA ADS] [CrossRef] (In the text)
- Toomre, A. 1964, ApJ, 139, 1217 [NASA ADS] [CrossRef] (In the text)
- Trewhella, M., Davies, J. I., Alton, P. B., Bianchi, S., & Madore, B. F. 2000, ApJ, 543, 153 [NASA ADS] [CrossRef] (In the text)
- Tully, R. B. 1974, ApJS, 27, 437 [NASA ADS] [CrossRef]
- van der Kruit, P. C., & Searle, L. 1981, A&A, 95, 105 [NASA ADS] (In the text)
- Wada, K., & Norman, C. A. 1999, ApJ, 516, L13 [CrossRef] (In the text)
- Walter, F., Brinks, E., de Blok, W. J. G., et al. 2008, ApJ, submitted (In the text)
- Walter, F., Brinks, E., de Blok, W. J. G., Thornley, M. D., & Kennicutt, R. C. 2005, in Extra-Planar Gas, ed. R. Braun, ASP Conf. Ser., 331, 269
- Wang, B., & Silk, J. 1994, ApJ, 427, 759 [NASA ADS] [CrossRef] (In the text)
- Wong, T., & Blitz, L. 2002, ApJ, 569, 157 [NASA ADS] [CrossRef] (In the text)
- Yang, C.-C., Gruendl, R. A., Chu, Y.-H., Mac Low, M.-M., & Fukui, Y. 2007, ApJ, 671, 374 [NASA ADS] [CrossRef]
Footnotes
- ... dispersion
- For a Gaussian line profile, the equivalent width corresponds to the full width at half maximum (FWHM).
All Tables
Table 1:
Properties of
and
/
in M 51 averaged over the areas shown in
Fig. 2.
Table 2: Properties of the exponential disk of the total gas derived in this paper compared to the properties of the exponential dust disk determined by Meijerink et al. (2005).
Table 3:
Equivalent widths
of CO and H I in M 51 averaged over the
areas shown in Fig. 2.
All Figures
![]() |
Figure 1:
Left: map of integrated CO 2-1 intensities on the antenna
temperature scale in K km s-1 at 11'' resolution
(cf. Paper I). A logarithmic spiral is shown in all figures of
M 51 to guide the eye. Right: map of H I column densities (Walter et al. 2008) in units of
1020 cm-2 at a resolution of |
| Open with DEXTER | |
| In the text | |
![]() |
Figure 2:
Map of the total gas mass surface density
|
| Open with DEXTER | |
| In the text | |
![]() |
Figure 3:
Map of the ratio of molecular-(
|
| Open with DEXTER | |
| In the text | |
![]() |
Figure 4:
The radial averaged fraction of molecular gas density
|
| Open with DEXTER | |
| In the text | |
![]() |
Figure 5:
The residual map of the total gas surface density after removal of
a fitted underlying exponential disk. The exponential disk is shown in
contours with contour levels 1 |
| Open with DEXTER | |
| In the text | |
![]() |
Figure 6:
The residual map of the 850 |
| Open with DEXTER | |
| In the text | |
![]() |
Figure 7:
a) Radial averages of surface densities. |
| Open with DEXTER | |
| In the text | |
![]() |
Figure 8:
Map of the K-band luminosity LK from the Two Micron
All Sky Survey (2MASS) Large Galaxy Atlas (Jarrett et al. 2003)
smoothed to 11'' resolution. The units are |
| Open with DEXTER | |
| In the text | |
![]() |
Figure 9:
Left: map of the first moment
|
| Open with DEXTER | |
| In the text | |
![]() |
Figure 10:
Map of non-circular streaming motions
|
| Open with DEXTER | |
| In the text | |
![]() |
Figure 11:
Velocity dispersions of the molecular and atomic gas in
M 51. a) map of observed widths of 12CO 2-1 in
km s-1.
b) Velocity dispersion of H I, i.e. map of the square root of
the second moment in km s-1. Positions where the H I drops
below the 3 |
| Open with DEXTER | |
| In the text | |
![]() |
Figure 12:
Radial averages of the velocity dispersions
|
| Open with DEXTER | |
| In the text | |
![]() |
Figure 13:
The overestimation of the intrinsic line widths by the observed line widths near the minor
axis
|
| Open with DEXTER | |
| In the text | |
![]() |
Figure 14:
Radial average of the total Toomre parameter
|
| Open with DEXTER | |
| In the text | |
![]() |
Figure 15:
Map of the total Toomre parameter
|
| Open with DEXTER | |
| In the text | |
Copyright ESO 2009
Current usage metrics show cumulative count of Article Views (full-text article views including HTML views, PDF and ePub downloads, according to the available data) and Abstracts Views on Vision4Press platform.
Data correspond to usage on the plateform after 2015. The current usage metrics is available 48-96 hours after online publication and is updated daily on week days.
Initial download of the metrics may take a while.
![\begin{figure}
\par\includegraphics[angle=-90,width=17.5cm,clip]{0898fig1.eps}
\end{figure}](/articles/aa/full_html/2009/09/aa10898-08/Timg33.gif)
![\begin{figure}
\par\includegraphics[angle=-90,width=8.5cm,clip]{0898fig2.eps}
\end{figure}](/articles/aa/full_html/2009/09/aa10898-08/Timg36.gif)
![\begin{figure}
\par\includegraphics[angle=-90,width=8.5cm,clip]{0898fig3.eps}
\end{figure}](/articles/aa/full_html/2009/09/aa10898-08/Timg43.gif)


![\begin{figure}
\par\includegraphics[angle=-90,width=7.8cm,clip]{0898fig4.eps}
\end{figure}](/articles/aa/full_html/2009/09/aa10898-08/Timg51.gif)


![\begin{figure}
\par\includegraphics[angle=-90,width=8.5cm,clip]{0898fig5.eps}
\end{figure}](/articles/aa/full_html/2009/09/aa10898-08/Timg77.gif)
![\begin{figure}
\par\includegraphics[angle=-90,width=8.2cm,clip]{0898fig6.eps}
\end{figure}](/articles/aa/full_html/2009/09/aa10898-08/Timg82.gif)
![\begin{figure}
\par\includegraphics[angle=-90,width=8.2cm,clip]{0898fig7.eps}
\end{figure}](/articles/aa/full_html/2009/09/aa10898-08/Timg83.gif)
![\begin{figure}
\par\includegraphics[angle=-90,width=8.4cm,clip]{0898fig8.eps}
\end{figure}](/articles/aa/full_html/2009/09/aa10898-08/Timg84.gif)
![\begin{figure}
\par\includegraphics[angle=-90,width=16.5cm,clip]{0898fig9.eps}
\end{figure}](/articles/aa/full_html/2009/09/aa10898-08/Timg87.gif)

![\begin{figure}
\par\includegraphics[angle=-90,width=8cm,clip]{0898fig10.eps}
\end{figure}](/articles/aa/full_html/2009/09/aa10898-08/Timg97.gif)
![\begin{figure}
\par\includegraphics[angle=-90,width=16cm,clip]{0898fig11.eps}
\end{figure}](/articles/aa/full_html/2009/09/aa10898-08/Timg102.gif)
![\begin{figure}
\par\includegraphics[angle=-90,width=7cm,clip]{0898fig12.eps}
\end{figure}](/articles/aa/full_html/2009/09/aa10898-08/Timg108.gif)
![\begin{figure}
\par\includegraphics[angle=-90,width=7.5cm,clip]{0898fig13.eps}
\end{figure}](/articles/aa/full_html/2009/09/aa10898-08/Timg115.gif)



![\begin{figure}
\par\includegraphics[angle=-90,width=7cm,clip]{0898fig14.eps}
\end{figure}](/articles/aa/full_html/2009/09/aa10898-08/Timg127.gif)
![\begin{figure}
\par\includegraphics[angle=-90,width=8cm,clip]{0898fig15.eps}
\end{figure}](/articles/aa/full_html/2009/09/aa10898-08/Timg128.gif)