| Issue |
A&A
Volume 496, Number 1, March II 2009
|
|
|---|---|---|
| Page(s) | 295 - 298 | |
| Section | Numerical methods and codes | |
| DOI | https://doi.org/10.1051/0004-6361:200810290 | |
| Published online | 20 January 2009 | |
A new formal solution of the radiative transfer in arbitrary velocity fields
(Research Note)
S. Knop1 - P. H. Hauschildt1 - E. Baron1,2
1 - Hamburger Sternwarte, Gojenbergsweg 112, 21029 Hamburg, Germany
2 -
Homer L. Dodge Department of Physics and Astronomy,
University of Oklahoma, 440 W Brooks, Rm 100, Norman, OK
73019-2061, USA
Received 30 May 2008 / Accepted 25 November 2008
Abstract
Aims. We present a new formal solution of the Lagrangian equation of radiative transfer that is useful in solving the equation of radiative transfer in the presence of arbitrary velocity fields.
Methods. Normally a term due to the inclusion of the wavelength derivative in the Lagrangian equation of radiative transfer is associated with a generalised opacity. In non-monotonic velocity fields, this generalised opacity may become negative. To ensure that the opacity remains positive, this term of the derivative is included in the formal solution of the radiative transfer problem.
Results. The new definition of the generalised opacity allows for a new solution of the equation of radiative transfer in the presence of velocity fields. It is especially useful for arbitrary velocity fields, where it effectively prevents the occurrences of negative generalised opacities and still allows the explicit construction of the
-operator of the system needed for an accelerated
-iteration. We performed test calculations, where the results of old, established solutions were compared with the new solution. The relative deviations never exceeded 1% and so the new solution is indeed suitable for use in radiative-transfer modelling. Non-monotonic velocity fields along photon paths frequently occur in three-dimensional hydrodynamical models of astrophysical atmospheres. Therefore, the formal solution will be of use for multidimensional radiative transfer and has immediate applications in the modelling of pulsating stars and astrophysical shock fronts.
Key words: radiative transfer
1 Introduction
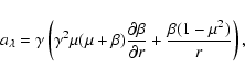
The Lagrangian equation of radiative transfer for moving atmospheres (Mihalas 1980) has been successfully solved for different astrophysical atmospheres, in particular supernova and nova atmospheres, as well as stellar atmospheres with winds.
The inclusion of velocity fields in the equation of transfer gives rise to two terms, one which is proportional to the specific intensity. This term is of the same form as the term arising from the opacity. Thus, the term from the velocity field can be included in the definition of a generalised opacity (see for instance Hauschildt 1992). For positive, velocity gradients, the contribution of the velocity field to the generalised opacity is always positive. In the case of negative, velocity gradients, the velocity field contribution may become dominant and produce a negative, generalised opacity. Thus, the method of solution must avoid exponentially increasing terms in the formal solution because such terms make the numerical computation unstable.
We show how to avoid this problem by not introducing a generalised
opacity but instead including the velocity field in the formal
solution of the radiative transfer. Negative opacity will
occur in non-monotonic velocity fields, thus any numerical scheme for the formal solution must be
able to handle both positive and negative velocity gradients.
Numerically, the formal solution of the radiative transfer problem is then
no longer an initial-value problem but a boundary-value problem. A formal solution of
this situation was described by Baron & Hauschildt (2004) and the revised formal
solution in this paper is derived from that solution. In addition, the formal
solution incorporates the two discretisation schemes for the wavelength
derivative and their mixing described by Hauschildt & Baron (2004).
It it important to note that the new formal solution must be consistent with the
solution to the scattering problem, e.g. an Accelerated
-iteration (ALI) (Scharmer 1981) as used
in this work.
An immediate application of this new solution is to both one-dimensional model atmospheres of pulsating giant stars and shock fronts of all kinds, such as the interaction of a supernova envelope with the interstellar medium producing both forward and reverse shocks. In the course of multidimensional modelling of astrophysical flows, the use of these solutions will become unavoidable since arbitrary velocity fields occur frequently, due to e.g. Rayleigh-Taylor instabilities. In fact it is impossible to perform comoving radiative transfer in arbitrary velocity fields by means of a characteristic method without the use of a formal solution that totally avoids the occurrence of negative generalised opacities.
We derive the revised formal solution with a different definition of the opacity in Sect. 2. In Sect. 3, we demonstrate that this solution produces results consistent with established solutions and present brief conclusions in Sect. 4.
2 The construction of the formal solution
We solve the equation of radiative transfer by following the solution
along characteristic rays. In this form,
the transport of the specific
intensity I is described along a photon path (with path length s) and is
independent of the dimensionality of the underlying atmosphere:
where
where
The form of Eq. (1) is the same for all geometries and
dimensionalities. However, the form of the differential
and the coupling term
will differ.
To formally solve Eq. (1), the wavelength derivative
must be discretised. We adopt
the notation of Hauschildt & Baron (2004), where two possible discretisations of
the wavelength derivative are combined in a Crank-Nicholson-like scheme.
Since we allow for arbitrary velocity fields, the formal solution must
allow for an arbitrary sense of wavelength derivative that is, the upwind direction may correspond either to longer
or shorter wavelengths. To insure the stability of the discretisation, local upwind schemes are introduced
(Baron & Hauschildt 2004) depending on the coupling term
.
We assume
a sorted wavelength grid
,
and the wavelength dependence is represented by the wavelength index. The
wavelength derivative can then be written as:
where the
![]() |
(3) |
It should be noted that the
For mixing parameters of
for the two different
discretisations, the equation of radiative transfer then reads:
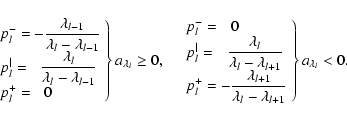
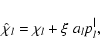
To solve Eq. (4) for monotonic velocity fields, it is customary to define a generalised opacity:
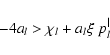
This approach in general, however, often fails because the generalised opacity in Eq. (5) may become negative if:
(note that the pl| coefficient always has the same sign as al). For strong wavelength couplings - as for instance in shock flows - the condition 6 is easily fulfilled. To avoid negative optical depths along the characteristics, the generalised opacity must be defined differently. In the
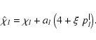
A positive generalised opacity is assured by the following definition:
which only incorporates the physical opacity and a purely positive contribution from the velocity field. The remaining term 4 al Il must then be incorporated into the formal solution of the equation of radiative transfer. This term then has the same effect as if it was included in the opacity definition. For positive al, the contribution to the formal solution is negative and therefore decreases the intensity along the ray in a way similar to an increase in opacity provides. For negative al, the contribution is positive which behaves like a negative opacity. This new solution indeed provides identical results to the previous discretisation method (see Sect. 3).
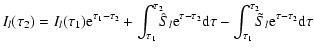
After integrating Eq. (4) along a photon path from path length s1 to
s2, the formal solution between two spatial points on a characteristic can then be
written in terms of optical depth, since the optical depth
along the
characteristic relates to the path length by means of
.
where
| |
= | ![]() |
(9) |
| = | (10) |
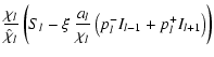
In a discrete atmosphere model, the integrals in Eq. (8) can be evaluated by means of piecewise linear- or parabolic interpolation of the auxiliary source functions:
![]() |
(11) | ||
![]() |
(12) |
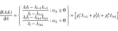
where the coefficients
The construction of the matrix equation for the formal solution as well as the
analytic construction scheme for a
operator described in
Baron & Hauschildt (2004) can be used without modification in the new formal
solution. These steps will therefore not be repeated here.
3 The test calculations
To compare the new solution with other solutions, we used a simplified test
setup (see also Hauschildt & Baron 2004 and Knop et al. 2007). The opacity consists of
a grey continuum and a single atomic line. The continuum opacity
is grey and varies with the radial structure according to
.
The expression
includes absorption
as well as scattering
,
which are related by a
thermalisation parameter
.
The corresponding opacities
,
and thermalisation
are used
for the - assumed to be Gaussian shaped - spectral line of the two-level-atom,
where its strength is parameterised relative to the continuum opacity
.
The atmosphere has an extension of
,
where
.
A radial
optical-depth scale is mapped onto the radial grid with the continuum opacity
and ranges from
.
To include wavelength
couplings in the atmosphere, a velocity field is imposed on the radial structure.
At first, we checked that, for an absent velocity field, the old and new formal
solutions provide identical results. Then we used monotonic velocity fields,
in order to compare the new formal
solutions with the well tested solution described in Hauschildt (1992). For
the velocity field, a linear law
with
was assumed.
![]() |
Figure 1:
Comparison of the comoving spectra for the cases |
| Open with DEXTER | |
In the upper panel of Fig. 1a, the comoving frame spectrum for a pure
absorptive continuum without a line -
and R = 0 - is
shown for
.
The new solution is plotted with a dashed black line,
while the old solution is represented by a solid grey line. The lower panel
of Fig. 1a illustrates the difference between the two solutions,
implying that both solutions reproduce the expected flat continuum and differ
about 1%. For comparison, the computations in
Fig. 1a were repeated for the case
and are shown
accordingly in Fig. 1b. The fully implicit
wavelength
discretisation had difficulties in reproducing a flat continuum because to its
diffusive behaviour, as also demonstrated by Hauschildt & Baron (2004).
This is also true for the new solution, as can be seen in the upper panel of
Fig. 1b; the new formal solution closely follows the old solution, as is
also evident in the lower panel of Fig. 1b. The
relative difference never exceeds 1%, which is less than the deviation of the continuum from
flatness.
Since no scattering was included in the opacity, there is no need for an ALI and a single
-step will solve directly the system. The comparisons between
the comoving spectra then directly yield the differences in the formal solutions.
In the next test, a scattering continuum opacity - of
- was added, but the line was still omitted. The results for
the case of
are shown in Fig. 2a, and for
in
Fig. 2b with the same colour codes as before. The top panels show
the comoving spectra and the relative differences are shown in the bottom panels.
The differences between the scattering continua are of the order of only
10-3%. The diffusive behaviour of the fully implicit solutions appears
again in the deviations from a flat continuum.
![]() |
Figure 2:
Same as in Fig. 1, apart from the fact that the spectral line is omitted and the continuum has a thermalisation parameter of
|
| Open with DEXTER | |
![]() |
Figure 3:
Same as in Fig. 1, apart from the fact that the spectral line is strongly scattering (
|
| Open with DEXTER | |
In further tests, a strong scattering line - with R=100 and
- was added to the continuum opacity
which is also affected by additional scattering -
.
The results for the
discretisation are shown in Fig. 3a. The upper panel again
shows the comoving spectrum with the new solution in dashed black and the old
solution in solid grey. The resulting line profile is a typical scattering line
in an expanding atmosphere. The apparent excellent match of the two solutions
is verified by the plot of the relative differences in the lower panel of
Fig. 3a. The maximal difference is of the order of 10-3%.
The same calculation has been performed for the
weighted wavelength
discretisation. The results are shown in Fig. 3b with the same colour
codes as before. The comoving spectra show a disturbed continuum in the
transition region between the line and the continuum, which can again be
attributed to the more diffusive behaviour of this wavelength discretisation.
However, again the match between the new and the old solution is excellent.
| |
Figure 4: Alternating velocity field in terms of optical depth. |
| Open with DEXTER | |
The excellent agreement between the old and new comoving spectra in the
presence of scattering - with relative differences of the order of
10-3% - may at first seem unusual because the differences in the formal
solution itself were of the order only of one percent (see Figs. 1a and
1b). However, in these cases, no ALI was needed due to the lack of
scattering. In the scattering cases, an ALI was performed. Since only exact elements from the
-operator have been used in the
construction of the
-operator, the operators derived from the old and new
formal solutions also differ. From the excellent agreement of the final results,
it is obvious that these differences cancel each other and enable far closer agreement for
the moments of the radiation field in the ALI than the formal
solution for a given source function.
In the preceding tests, there was no need to employ the new solution because the velocity fields were monotonic. To test the new solution for alternating wavelength couplings, a non-monotonic, alternating velocity field was used.
To demonstrate the robustness of the new solution, we performed
calculations for an alternating velocity profile
- shown in Fig. 4 - that penetrates into the deep layers of
the atmosphere. This run of the velocity profile was not even remotely possible
within the old framework, and hence no comparison with the old solution is shown.
The comoving spectrum is shown in Fig. 5. The peculiar features and
broadness of the line result from the extreme velocity fields in the
atmosphere. The
discretisation had to be used, since the formal solution
was ill-conditioned in the
case.
This calculation was not intended to model a physical atmosphere. It instead was intended to demonstrate the robustness of the new solution for even extreme wavelength-coupling conditions.
![]() |
Figure 5:
Co-moving spectrum for the presence of the non-monotonic velocity
field shown in Fig. 4 for |
| Open with DEXTER | |
We note that the removal of the 4 al Il term from the opacity and its addition
as an explicit source term has apparently little influence on the solution.
In all of our test calculations, all differences with respect to established
solutions were minor. In the case of scattering in the line as well as
in the continuum the differences become almost negligible. In comparison,
the different discretisations had a far more dominant effect on the
solution than the addition of the explicit term, as can be seen in the case of
the
weighting for which the diffusive behaviour is traced out. We should note further
that the speed of convergence of the formal solution did not change
significantly.
The new solution method appears to be well suited to general radiative-transfer modelling involving non-monotonic velocity fields. This has immediate applications to 1D spherical symmetric atmosphere models, e.g. for pulsating atmospheres of variable stars as well as shock fronts in supernova flows.
It remains to be seen whether the different numerical nature of the solution, due to an additional explicit term, will be troublesome in some cases. Our test computations did not identify an example of numerically unstable behaviour during the exploration of the parameter space.
4 Conclusions
We have presented a new formal solution of the equation of radiative transfer. Its advantage with respect to established solutions lies in the avoidance of negative opacities that occur by design in non-monotonic velocity fields. It allows the computation of the arbitrarily wavelength-coupled, radiative-transfer equation that arises with complete avoidance of negative, generalised opacities that render the solution unstable. The new approach is required for any modelling that involves alternating wavelength couplings. Since one considers radiative transfer in multidimensional situations, non-monotonic velocity fields do naturally occur.
The relative differences between the new and old solutions was not found to exceed 1% in all test calculations and were in most cases several orders of magnitude smaller. Therefore, the new solution is a viable replacement of the old solutions and useful in modelling the atmospheres of variable stars or radiative transfer in hydrodynamically obtained structures.
Acknowledgements
This work was supported in part by SFB 676 from the DFG, NASA grant NAG5-12127, NSF grant AST-0707704, and US DOE Grant DE-FG02-07ER41517. This research used resources of the National Energy Research Scientific Computing Center (NERSC), which is supported by the Office of Science of the US Department of Energy under Contract No. DE-AC03-76SF00098; and the Höchstleistungs Rechenzentrum Nord (HLRN). We thank all these institutions for a generous allocation of computer time.
References
- Baron, E., & Hauschildt, P. H. 2004, A&A, 427, 987 [NASA ADS] [CrossRef] [EDP Sciences] (In the text)
- Chen, B., Kantowski, R., Baron, E., Knop, S., & Hauschildt, P. H. 2007, MNRAS, 380, 104 [NASA ADS] [CrossRef]
- Hauschildt, P. H. 1992, J. Quant. Spectrosc. Radiat. Transf., 47, 433 [NASA ADS] [CrossRef] (In the text)
- Hauschildt, P. H., & Baron, E. 2004, A&A, 417, 317 [NASA ADS] [CrossRef] [EDP Sciences] (In the text)
- Knop, S., Hauschildt, P. H., & Baron, E. 2007, A&A, 463, 315 [NASA ADS] [CrossRef] [EDP Sciences] (In the text)
- Mihalas, D. 1980, ApJ, 237, 574 [NASA ADS] [CrossRef] (In the text)
- Olson, G., & Kunasz, P. 1987, J. Quant. Spectrosc. Radiat. Transf., 38, 325 [NASA ADS] [CrossRef] (In the text)
- Scharmer, G. B. 1981, ApJ, 249, 720 [NASA ADS] [CrossRef] (In the text)
Footnotes
- ... term
- See Chen et al. (2007) for a more complete description.
All Figures
![]() |
Figure 1:
Comparison of the comoving spectra for the cases |
| Open with DEXTER | |
| In the text | |
![]() |
Figure 2:
Same as in Fig. 1, apart from the fact that the spectral line is omitted and the continuum has a thermalisation parameter of
|
| Open with DEXTER | |
| In the text | |
![]() |
Figure 3:
Same as in Fig. 1, apart from the fact that the spectral line is strongly scattering (
|
| Open with DEXTER | |
| In the text | |
| |
Figure 4: Alternating velocity field in terms of optical depth. |
| Open with DEXTER | |
| In the text | |
![]() |
Figure 5:
Co-moving spectrum for the presence of the non-monotonic velocity
field shown in Fig. 4 for |
| Open with DEXTER | |
| In the text | |
Copyright ESO 2009
Current usage metrics show cumulative count of Article Views (full-text article views including HTML views, PDF and ePub downloads, according to the available data) and Abstracts Views on Vision4Press platform.
Data correspond to usage on the plateform after 2015. The current usage metrics is available 48-96 hours after online publication and is updated daily on week days.
Initial download of the metrics may take a while.










![\begin{figure}
\par\mbox{\subfigure[]{\includegraphics[width=4.2cm]{0290fig1.eps...
...ill
\subfigure[]{\includegraphics[width=4.2cm]{0290fig2.eps} }}
\end{figure}](/articles/aa/full_html/2009/10/aa10290-08/Timg59.gif)
![\begin{figure}
\par\mbox{\subfigure[]{\includegraphics[width=4.2cm]{0290fig3.eps...
...ill
\subfigure[]{\includegraphics[width=4.2cm]{0290fig4.eps} }}
\end{figure}](/articles/aa/full_html/2009/10/aa10290-08/Timg61.gif)
![\begin{figure}
\par\mbox{\subfigure[]{\includegraphics[width=4.2cm]{0290fig5.eps...
...ill
\subfigure[]{\includegraphics[width=4.2cm]{0290fig6.eps} }}
\end{figure}](/articles/aa/full_html/2009/10/aa10290-08/Timg62.gif)
![\begin{figure}
\par\includegraphics[width=6.4cm,clip]{0290fig8.eps}
\end{figure}](/articles/aa/full_html/2009/10/aa10290-08/Timg65.gif)