| Issue |
A&A
Volume 496, Number 1, March II 2009
|
|
|---|---|---|
| Page(s) | 85 - 105 | |
| Section | Extragalactic astronomy | |
| DOI | https://doi.org/10.1051/0004-6361/200810640 | |
| Published online | 30 January 2009 | |
Molecular gas in NUclei of GAlaxies (NUGA)
XI. A complete gravity torque map of NGC 4579: new clues to bar evolution![[*]](/icons/foot_motif.gif)
S. García-Burillo1 - S. Fernández-García1 - F. Combes2 - L. K. Hunt3 - S. Haan4 - E. Schinnerer4 - F. Boone2 - M. Krips5 - I. Márquez6
1 - Observatorio Astronómico Nacional (OAN)-Observatorio de Madrid, Alfonso XII 3, 28014 Madrid, Spain
2 -
Observatoire de Paris, LERMA, 61 Av. de l'Observatoire, 75014 Paris, France
3 -
Istituto di Radioastronomia/CNR, Sez. Firenze, Largo Enrico Fermi 5, 50125 Firenze, Italy
4 -
Max-Planck-Institut für Astronomie, Königstuhl 17, 69117 Heidelberg, Germany
5 -
Center for Astrophysics, SMA project, 60 Garden Street, MS 78 Cambridge, MA-02138, USA
6 -
Instituto de Astrofísica de Andalucía (CSIC), Apdo 3004, 18080 Granada, Spain
Received 18 July 2008 / Accepted 14 January 2009
Abstract
In this paper we create a complete gravity torque map of the disk of the LINER/Seyfert 1.9 galaxy NGC 4579. We quantify the efficiency of angular momentum transport and search for signatures of secular evolution in the fueling process from r
15 kpc down to the inner r
50 pc around the active galactic nucleus (AGN). We use both the 1-0 and 2-1 line maps of 12CO obtained with the Plateau de Bure Interferometer (PdBI) as part of the NUclei of Galaxies-(NUGA)-project. The CO(1-0) and CO(2-1) PdBI maps at 2.0
1.3
and 1.0
0.6
resolution, respectively, include the short spacing correction provided by IRAM-30 m data. We derive the stellar potential from an NIR (K band) wide field image of the galaxy. The K-band image, which reveals a large-scale stellar bar and a weak nuclear oval, together with a high-resolution H I map of NGC 4579 obtained with the Very Large Array (VLA), allow us to extend the gravity torque analysis to the outer r
2 kpc disk.
The bulk of the gas response traced by the new CO PdBI+30 m maps of NGC 4579 presented here follows the expected gas flow pattern induced by the bar potential in the presence of two inner Lindblad resonances (ILR) at r
500 pc and r
1.3 kpc. The morphology of the outer disk traced by H I suggests that the neutral gas is currently piling up in a pseudo-ring formed by two winding spiral arms that are morphologically decoupled from the bar structure. The pseudo-ring is located inside the bar corotation (
6 kpc) and close to the predicted position of the ultra harmonic resonance (UHR) (
3.8 kpc). The derived gravity torque budget in NGC 4579 shows that inward gas flow is occurring on different spatial scales in the disk. In the outer disk, the decoupling of the spiral allows the gas to efficiently populate the UHR region, and thus produce net gas inflow on intermediate scales. The corotation barrier seems to be overcome by secular evolution processes. The gas in the inner disk (r
2 kpc) is efficiently funneled by gravity torques down to r
300 pc. Closer to the AGN (r < 200 pc), gas feels negative torques due to the combined action of the large-scale bar and the inner oval. The two m=2 modes act in concert to produce net gas inflow down to r
50 pc, providing clear smoking gun evidence of inward gas transport on short dynamical timescales (
1-3 rotation periods).
Key words: galaxies: individual: NGC 4579 - galaxies: ISM - galaxies: kinematics and dynamics - galaxies: nuclei -
galaxies: Seyfert - radio lines: galaxies
1 Introduction
Nuclear activity in galaxies is understood as the result of the feeding of supermassive black holes (SMBH), which are suspected to be a common component in most, perhaps all, galaxies with a significantly massive bulge (e.g., see review by Ferrarese & Ford 2005, and references therein). Active galactic nuclei (AGN) must be fed with material coming from the disk of the host galaxy. The gas supply, lying originally far away from the gravitational influence of the black hole, must lose virtually all of its angular momentum in the fueling process. While for high-luminosity AGNs, a good correlation between the presence of
kpc-scale non-axisymmetric perturbations and the existence of activity has been found (e.g., Hutchings & Neff 1992), a similar correlation in low-luminosity AGNs (LLAGNs) is weak at most (e.g., Mulchaey & Regan 1997; Knapen et al. 2000; Márquez et al. 2000; Combes 2003).
The search for a universal mechanism for AGN feeding in LLAGNs is probably complicated by the
brevity of the AGN duty cycle (
106-7 years), which might be shorter than the lifetime of the feeding mechanism itself (e.g., Wada 2004; Hopkins & Hernquist 2006; King & Pringle 2007). In spite of many theoretical and observational efforts, a solution to the LLAGN fueling problem has thus far remained elusive (e.g., see review by Martini 2004).
The study of the content, distribution and kinematics of interstellar gas is a key to understanding the origin and maintenance of nuclear activity in galaxies. The processes involved in AGN fueling encompass a wide range of scales, both spatial and temporal, which have to be studied. Probing the gas flow from the outer disk down to the central engine of an AGN host requires the use of specific tracers of the interstellar medium adapted to follow the change of phase of the gas as a function of radius. As most of the neutral gas in galactic nuclei is in the molecular phase, low-J rotational transitions of carbon monoxide (CO) are the best choice to undertake high spatial resolution (
1
)
interferometer mapping of the central kiloparsec disks of AGNs. On the other hand, the 21 cm line emission of atomic hydrogen (H I) is best suited to tracing the distribution and kinematics of neutral gas in the outer disk reservoirs of AGNs (r
5 kpc) with moderate spatial resolution (
10-20
)
using an interferometer.
The NUclei of GAlaxies-NUGA-project, described by García-Burillo et al. (2003a,b), is the first high-resolution (
0.5
-1
)
12CO survey of 12 nearby (D = 4-40 Mpc) LLAGNs including the full sequence of activity types (Seyferts, LINERs and transition objects). Observations, carried out with the IRAM Plateau de Bure Interferometer (PdBI), have been completed as of early 2004. NUGA surpasses in both spatial resolution (10-100 pc) and sensitivity (3
-detection limit
a few 10
)
the previous surveys of nearby AGN conducted at the Owens Valley Radio Observatory-OVRO (Baker 2000; Jogee et al. 2001) and at the Nobeyama Radio Observatory-NRO (Kohno et al. 2001). NUGA maps allow us to probe the gas flows at critical spatial scales (<100 pc) where secondary modes embedded in the kpc-scale perturbations are expected to take over in the fueling process. A bottom line result of NUGA is the identification of a wide range of morphologies in the central kpc-disks of these LLAGNs. This includes one-arm spirals or m=1 instabilities (NGC 4826: García-Burillo et al. 2003b; NGC 3718: Krips et al. 2005), symmetric rings (NGC 7217: Combes et al. 2004; NGC 3147: Casasola et al. 2008), as well as gas bars and two-arm spirals (NGC 4569: Boone et al. 2007; NGC 2782: Hunt et al. 2008; NGC 6574: Lindt-Krieg et al. 2008). This result suggests an evolutionary scenario where several mechanisms cooperate to feed the central engines of LLAGNs. More recently, we have completed a parallel H I survey of NUGA galaxies with the Very Large Array (VLA). The aim of this extension of the NUGA project is to use the H I emission as a probe of the distribution and kinematics of neutral gas in the outer disk regions of the galaxies (Haan et al. 2008a,2008b). The overall gas response to the stellar potential throughout the disk is characterized with the help of high-resolution optical and NIR images of the galaxies.
In a previous paper, García-Burillo et al. (2005, hereafter GB05) developed a method to study the efficiency of stellar gravity torques for the removal of gas angular momentum. In the four galaxies studied there, including NGC 4579, the subject of this paper, paradoxically no evidence of gas inflow was found. This method has been subsequently applied to two more NUGA galaxies (NGC 2782 and NGC 3147), but only in NGC 2782 did we find systematically negative torques down to the resolution limit of the images (Hunt et al. 2008; Casasola et al. 2008), certainly fueling the nuclear starburst, and perhaps later fueling the AGN. Indeed, finding ``smoking gun'' evidence of AGN fueling is proving to be quite challenging, perhaps because of the short-lived nature of the mechanisms responsible.
In this paper, we reanalyze the torque budget in NGC 4579 by including new CO(1-0) maps, H I maps, single-dish CO observations, and a new K-band image from which we derive the gravitational potential; the new evidence seems to suggest that NGC 4579 is the best NUGA case so far for gas inflow.
1.1 The LINER/Seyfert 1.9 NGC 4579
NGC 4579 is a SAB(rs)b galaxy classified as an intermediate type 1 object (LINER/Seyfert 1.9) by Ho et al. (1997). The AGN nature of NGC 4579 is confirmed by the detection of broad H
and UV lines (Stauffer 1982; Filippenko & Sargent 1985; Barth et al. 1996,2001; Maoz et al. 1998). It also has an unresolved nuclear hard X-ray (variable) source with a prominent broad Fe K
line (Terashima et al. 2000; Ho et al. 2001; Eracleous et al. 2002; Dewangan et al. 2004). A non-thermal radio continuum source is detected at the position of the AGN (Hummel et al. 1987; Ho & Ulvestad 2001; Ulvestad & Ho 2001; Krips et al. 2007). Hubble Space Telescope (HST) optical and UV images resolve the central kiloparsec disk of NGC 4579 and show a nuclear component surrounded by a highly structured disk (Pogge et al. 2000; Contini 2004).
GB05 used the PdBI CO(2-1) map of NGC 4579 to study the distribution and kinematics of molecular gas in the inner
1 kpc disk of NGC 4579. Only CO(2-1) data were used in this analysis, and the short spacing correction was not considered. Most of the molecular gas in the
central kiloparsec was seen to be concentrated in a two arm spiral structure traceable from
1 kpc down to r
200 pc.
The gravity torque map discussed by GB05 was derived from an I-band HST image of NGC 4579 covering the central
1.5 kpc disk. The inferred overall mass inflow budget was seen to be clearly negative down to
200 pc due to the action of the large-scale bar of NGC 4579 (Fig. 11 of GB05). However, GB05 concluded that inside
200 pc stellar torques are positive and, consequently, they do not help AGN feeding at present. The gas directly responsible for the Seyfert activity in NGC 4579 could have been brought to the center during a previous fueling phase, while the bar and the strong m=1 mode, identified in the stellar potential derived from the I-band image of the galaxy, would be emptying the region inside
200 pc. According to this study, AGN fueling is presently quenched in NGC 4579.
1.2 Aims of this paper
In this paper we re-determine the gravitational torque budget in the disk of NGC 4579, using a set of new data for the gas and the stellar distribution. The new torque map in the inner disk is derived using both the 1-0 and 2-1 line maps of 12CO obtained within the NUGA project. The maps used in this work include now the short spacing correction provided by the new IRAM-30 m data obtained in the two lowest-order transitions of CO, and thus give a more reliable estimate of the implied gas flow timescales, compared to the first estimate of GB05. Although the missing zero-spacing flux is expected not to have a dramatic influence on the value of gravity torques in the circumnuclear disks of galaxies (see discussion in Sect. 2.1 of GB05), it is worthwhile to test this hypothesis. Furthermore, we have obtained a K-band wide-field image of the galaxy from
which we derive the stellar potential. This allows us to minimize the effects of extinction that were present in the HST I-band image used in our first gravity torque analysis (GB05). Indeed, as we shall show, the m=1 mode in the HST I-band image of NGC 4579 was spurious, resulting from dust extinction. Finally, the large field-of-view of the K-band image, together with the availability of a new high-resolution and sensitivity H I map of NGC 4579 (Haan et al. 2008a), allow us to extend the gravity torque analysis to the outer disk of the galaxy. Our new complete gravity torque map of NGC 4579 makes it possible to quantify the efficiency of angular momentum transport from r
a few kpc down to the inner r
50 pc around the AGN and search for signatures of secular evolution in the accretion process. This is a key to testing the fueling scenario described by GB05. In particular, by studying the different spatial scales of the disk we can assess if dynamical decoupling is at work.
We will assume a distance to NGC 4579 of around 20 Mpc for consistency with GB05, which implies 1
100 pc. This is a good compromise between the different values reported in the literature ranging from D = 16.8 Mpc (Tully & Fisher 1988) to D = 22.6 Mpc (LEDA, 2006). Similarly to GB05 we will initially assume that the inclination angle and the position angle of NGC 4579's disk are i = 36
and PA = 95
,
respectively, in rough agreement with previous determinations based on kinematical model fitting (e.g., Rubin et al. 1999; Koopmann et al. 2001; Daigle et al. 2006) and photometric model fitting (e.g., Young & Currie 1998; Paturel et al. 2000). These parameters will be further discussed in Sect. 6. The basic observational parameters of NGC 4579 are listed in Table 1. We describe in Sect. 2 the observations used, including high-resolution CO and H I maps as well as ground-based NIR images of NGC 4579. Sections 3 to 6 describe the distribution and kinematics of molecular gas. We describe the stellar structure and star formation of NGC 4579 in Sect. 7. Section 8 computes from NIR images the gravitational potentials and forces, and deduces from the combined CO and H I maps the effective torques applied to the gas. From these torques, it is possible to derive timescales for gas flows and discuss whether gravity torques alone are
efficient enough to feed the current activity in NGC 4579. The general implications of these results for the current understanding of AGN feeding are summarized in Sect. 9.
Table 1: Observational parameters of NGC 4579.
2 Observations and reduction
2.1 Interferometer CO maps
Observations of NGC 4579 were carried out as part of the NUGA survey conducted with the PdBI during two years and finished by February 2003. We used the ABCD set of configurations and the six antennas of the array in dual frequency mode to reach the highest spatial resolution (<1
at the highest frequency) but also to maximize sensitivity to all spatial frequencies in the maps.
We observed simultaneously the emission of the J = 1-0 and J = 2-1 lines of CO in single fields of sizes 42
and 21
,
respectively, centered at
=
and
=
.
The first results derived from the analysis of the CO(2-1) maps only were discussed by GB05. During the observations the spectral correlator was split in two halves centered at the transition rest frequencies corrected for the recession velocity initially assumed
= 1516 km s-1. The correlator configuration covers a bandwidth of 580 MHz for each line, using four 160 MHz-wide units with an overlap of 20 MHz; this is equivalent to 1510 km s-1 (755 km s-1) at 115 GHz (230 GHz). Visibilities were obtained using on-source integration times of 20 min framed by short (
2 min) phase and amplitude calibrations on the nearby quasars 1156+295 and 3C 273. The absolute flux scale in our maps was derived to a 10% accuracy based on the observations of primary calibrators whose fluxes were determined from a combined set of measurements obtained at the 30 m telescope and the PdBI array. The bandpass calibration was carried out using 3C 273 and is accurate to better than 5%. The point source sensitivities derived from emission-free channels of 10 km s-1 width are 2.55 mJy beam-1 in CO(1-0) and 5.44 mJy beam-1 in
CO(2-1). Images of the continuum emission of the galaxy at 115 GHz and 230 GHz have been obtained by averaging those channels free of line emission.
The image reconstruction was done using standard IRAM/GAG software (Guilloteau & Lucas 2000). We used natural weighting and no taper to generate the 1-0 line maps with a field of view of 76.8
and 0.15'' sampling; the corresponding synthesized beam is 2.0''
1.3'', PA = 26
.
We also used natural weighting to generate 2-1 maps with a field of view of 51.2
and 0.10'' sampling; this enables us to achieve a spatial resolution <1'' (1.0''
0.6'', PA = 25
). The conversion factors
between Jy beam-1 and K are 36 K Jy-1 beam at 115 GHz, and 40 K Jy-1 beam at 230 GHz.
![]() |
Figure 1:
a) ( Left panel) CO(1-0) line emission profiles observed with the IRAM 30 m telescope in NGC 4579. We have observed with a 5 |
| Open with DEXTER | |
2.2 IRAM-30 m CO observations and short spacing correction
With the aim of including the short spacing correction in the final image, we have mapped the emission of the 2-1 and 1-0 lines of CO in NGC 4579 with the IRAM 30 m telescope. We have covered the central 28
(2.8 kpc) region of the galaxy using a grid of 5
5 points with a 7
spacing. The area covered is larger than the primary beam size of the PdBI at 230 GHz, and a significant fraction (
70
)
of the corresponding field of view at 115 GHz.
Observations were carried out in two observing runs between July 2002 and June 2004. At 115 GHz and 230 GHz, the telescope half-power beam widths are 22
and 12
,
respectively. The 3 mm and 1 mm receivers of the 30 m telescope were tuned to the redshifted frequencies of the lines. The backends were two 1 MHz filter banks and auto-correlator spectrometers. The velocity range covered was 1340 km s-1 for the 3 mm lines and 670 (for the inner part) to 1200 (for the outer part) km s-1 for the 1 mm lines. Typical system temperatures during the observations were
250 K at 3 mm and
600 K at 1 mm. All receivers were used in single side-band mode (SSB), with a high rejection of the image band: >15 dB at 1 mm and >20 dB at 3 mm. The latter assures that the calibration accuracy for the bulk of our data is better than 20
.
Throughout the paper, velocity-integrated line intensities (I) are given in antenna temperature scale,
.
The
scale relates to the main beam temperature scale,
,
by the equation
,
where
and
are the forward and beam efficiencies of the telescope at a given frequency. For the IRAM 30 m telescope
(1.75) at 115 GHz (230 GHz) and
Jy K-1. Wobbler switching mode was used to assure flat baselines, taking a reference position offset by 4
in azimuth. The pointing was regularly checked on continuum sources and the accuracy was 3
rms.
Short spacings were included in the combined PdBI+30 m image using the SHORT-SPACE task available in the GILDAS software (Guilloteau & Lucas 2000). The relative weights are chosen so as to guarantee that similar absolute weights are taken for the single-dish data and the interferometer data within a ring in the UV plane going from
to
(D = 15 m). In the combined map we recovered all the missing flux and simultaneously kept the spatial resolutions very close to those of the original PdBI maps. Throughout this paper we use the combined PdBI+30 m data cube, i.e., corrected by short spacings. We estimate that the old map including only the PdBI spacings published by GB05 recovers
65
of the total CO(1-0) flux measured with the new combined PdBI+30 m map. A similar retrieval factor is derived for the CO(2-1) line. The 1-
noise levels in 10 km s-1-wide channels for the PdBI+30 m images are 2.3 mJy beam-1 in CO(1-0) and 4.6 mJy beam-1 in CO(2-1).
The 30 m maps probe the CO emission of molecular gas in the central r
1.4 kpc of NGC 4579 (Fig. 1). The emission is spatially resolved in CO(2-1) and is suggestive of an elongated gas distribution, mostly along the east-west axis. This picture is confirmed by the higher resolution interferometer data (see Sect. 4).
2.3 H I maps
The 21 cm H I line emission in NGC 4579 was observed in 2003 and 2004 using the NRAO Very Large Array (VLA) in its C and D-configurations. A first analysis of the results obtained in NGC 4579 have been published by Haan et al. (2008a) as part of a comprehensive spectroscopic imaging H I survey conducted in a sample of 16 LLAGNs including all NUGA galaxies. This H I survey reaches a moderate spatial resolution (
30-40'') and high sensitivity (3-
detection limit of
1019 cm-2). Calibration procedures followed are fully described in Haan et al. (2008a). The data from this H I survey have been recently the basis of an overall study of the in/out-flow rates in 7 NUGA galaxies (Haan et al. 2008b). The H I maps of NGC 4579 used in this paper have been produced by robustly weighting the imaging data in order to maximize spatial resolution while maintaining high sensitivity. With this procedure we achieve a spatial resolution of 23.1''
21.6'' and a 1-
sensitivity limit of 0.51 mJy beam-1. Analysis was done with the Groningen Image Processing SYstem (GIPSY) as described by Haan et al. (2008a). The channel maps were combined to derive an H I intensity map with a flux threshold of 3
.
The H I emission in the disk of NGC 4579 lies well inside the primary beam field of view of 30'; therefore no attempt has been made to correct for primary beam attenuation.
2.4 Optical, UV and IR images
We used several optical, UV and IR images of NGC 4579 to study the star formation pattern and the stellar structure of the disk of the galaxy as described below.
![]() |
Figure 2:
12CO velocity-channel maps observed with the PdBI in the nucleus of NGC 4579 with a spatial resolution of 2.0
|
| Open with DEXTER | |
We first acquired from the HST archive
four broadband WFPC2 images of NGC 4579, including F502N ([OIII]), F658N (H
), F547M, and F791W. Continuum-subtracted H
and [OIII] emission line images were created by subtracting the associated continuum-band image, as described in Pogge et al. (2000). The optical images were combined using (crreject) to eliminate cosmic rays, and calibrated according to Holtzman et al. (1995). Sky values were assumed to be
zero since the galaxy filled the WFPC2 frames, an assumption which makes an error of
0.1 mag at most, in the corner of the images.
We used the ultraviolet (UV) image of NGC 4579 obtained with the Hubble Space Telescope's Advance Camera for Surveys (ACS) and its high-resolution channel detector (HRC) that provide
0.028
/pixel spatial resolution. This image corresponds to the F330W band whose central wavelength is
3300
(Maoz et al. 2005). The image is available already reduced with the Space Telescope Science Institute (STScI) pipeline.
In addition, we also include the far-ultraviolet (FUV) image of the GALEX satellite, whose band is centered at
= 1516
.
This image has been obtained with a total exposure time of 1586 s and covers a square region on the sky of size
.
The image is available already reduced with a slightly modified version of the GALEX data pipeline (Gil de Paz et al. 2007), expressed in intensity units and sky-subtracted.
![]() |
Figure 3:
Same as Fig. 2 but for the 2-1 line of CO. Spatial resolution reaches 1.0
|
| Open with DEXTER | |
IRAC images of NGC 4579 in bands 3.6
m and 8
m were retrieved from the Spitzer archive (Kennicutt et al. 2003). These images cover a region of the sky of size
1400
and have pixel size of
.
Images are reduced with the SINGS IRAC pipeline and are calibrated in MJy sr-1 units. We have recentered on the AGN and deprojected onto the galaxy plane both images to superpose these IR images onto the H I map.
![]() |
Figure 4: CO(1-0) line emission averaged over the area mapped with the 30 m telescope towards NGC 4579. |
| Open with DEXTER | |
Unlike GB05, where we used the HST I-band image to derive the stellar potential, here
we adopt the K-band image obtained with the INGRID NIR camera of the William Herschel Telescope (WHT) by Knapen et al. (2003). The field of view provided by the camera is 4.2
with a pixel size of 0.242
.
The details of the data reduction and calibration procedures for this image are described in Knapen et al. (2003).
3 Dynamical center and position of the AGN
Figures 2 and 3 show the velocity-channel maps of CO(1-0) and CO(2-1) emission in the central region of NGC 4579, respectively. The observed kinematical pattern is characteristic of a spatially resolved rotating structure of
2 kpc-radius. We detect extended emission above 3
levels from
= 1296 to 1666 km s-1 in the 1-0 line; this indicates that the overall CO(1-0) emission is centered around
1480
10 km s-1. The corresponding velocity range for the 2-1 line is
= 1306 to 1646 km s-1, i.e., the global emission is centered around
1476
10 km s-1. The CO(1-0) emission integrated over the central r
2.5 kpc region mapped with the 30 m telescope also shows a similar velocity centroid
1487
20 km s-1 (Fig. 4).
We derive the position of the AGN, at (
,
) = (-0.9'', 3'') = (
,
49'05.54''), from the detection of a point source in continuum emission at 115 GHz (with a flux of 11.5
0.3 mJy) and 230 GHz (with a flux of 11.0
1 mJy, see Fig. 5). Within the errors, this value coincides with previous determinations based on multi-frequency very-long-baseline interferometry (VLBI) observations of the non-thermal continuum emission of NGC 4579 (Anderson et al. 2004; Krips et al. 2007). As discussed by Krips et al. (2007), the spectral index of the continuum emission from 1 GHz to 230 GHz indicates that the spectrum of the AGN source is flat or slightly inverted, as frequently found in LLAGNs. In the following we adopt the AGN position as the dynamical center. This choice maximizes the symmetry of the global velocity field derived from the two CO lines (see Sect. 6.1).
Weak but still statistically significant emission has been detected in the 2-1 and 1-0 lines of CO coming from a spatially unresolved clump at the position of the AGN (see Fig. 5). Emission is detected at a
4-
level in integrated intensities over a velocity range
150 km s-1. This suggests the existence of a compact molecular source of radius r
40 pc, an upper limit determined by the beam size at 230 GHz. The velocity centroid of the CO emission detected in the central clump is
1466
20 km s-1 in the 2-1 line. The 1-0 spectrum towards the AGN is 20 km s-1 blueshifted with respect to this value. In the following we adopt
derived from the CO(2-1) spectrum as the best estimate of
.
We expect the kinematics of the central clump to be dominated by the axisymmetric gravitational potential of the galaxy on these scales. In addition, this value coincides within the errors with the centroid of velocities of the global CO emission on kpc scales, independently derived from the PdBI and 30 m maps used in this work. It also coincides with previous estimates of
based on single-dish CO data of NGC 4579 (Elfhag et al. 1996; Kenney & Young 1988).
![]() |
Figure 5:
a) ( Left panel) The continuum map at 1 mm obtained with the PdBI (in contours from 20% to 100%, in steps of 10% of the maximum = 10 mJy beam-1) is overlaid on the VLA radio-continuum image at 6 cm (in grey scale) taken from Ho & Ulvestad (2001). The AGN is clearly identified with a non-thermal point source. (
|
| Open with DEXTER | |
The adopted systemic velocity derived from CO is
50 km s-1 blueshifted with respect to the value determined from H I (
= 1519
10 km s-1 from RC3). The reasons for this discrepancy might be found in the interaction history of the galaxy.
NGC 4579 is one of the most H I deficient galaxies of the Virgo cluster and its H I disk is known to have suffered heavy ram-pressure stripping in the past well within the optical disk
(Kenney & Young 1986,1989; Haan et al. 2008a). Therefore the global kinematics of the H I disk are expected to have been perturbed due to the ICM-ISM interaction. However, molecular gas is known to be much less affected by ram-pressure (e.g., Kenney & Young 1986,1989; Vollmer et al. 2001). In such a scenario, the disagreement between the H I and CO values for
is not surprising if the H I kinematics retain some memory of the interaction. Since H I is virtually depleted inside r
2 kpc, the value of
derived from H I is sensitive to emission that comes from the outer disk of the galaxy, where the effects of ram-pressure stripping are known to be more dramatic. We therefore conclude that the value of
based on CO, besides symmetrizing the velocity field of the gas inside r
2 kpc, is more representative than the value derived from H I. Other estimates of
,
based on the study of optical emission lines or stellar kinematics, give values intermediate between those of CO and H I (e.g., Huchra et al. 1982; Héraudeau & Simien 1998).
The eastern (western) side of the CO distribution is globally red (blue)-shifted with respect to
(Figs. 2 and 3). This agrees qualitatively with the kinematical major axis of the circumnuclear disk being oriented roughly along the RA-axis, an orientation similar to that of the outer disk (r > 5-10 kpc) probed by H I and H
emission (Guhathakurta et al. 1988; Chemin et al. 2006; Haan et al. 2008a). The global kinematics are perturbed by non-circular motions (see Sect. 6). In this paper we will adopt a common PA = 95
at all radii in rough agreement with the values derived from H
and H I kinematics, as well as with isophotal fitting of galaxy images. This choice of PA will be motivated further in Sect. 6.1.
4 Molecular gas distribution
The velocity-integrated CO(1-0) flux obtained in the combined PdBI+30 m map within the 42'' primary beam field of the PdBI is
= 150 Jy km s-1. This is
90
of the total flux detected by Kenney & Young (1988) towards the central position of a raster map of NGC 4579, made along the major axis of the galaxy with the Five College Radio Astronomy Observatory (FCRAO) telescope
. Assuming a CO-to-H2 conversion factor typical of galaxy nuclei X =
= 2.3
1020 cm-2 K-1 km-1 s (Solomon & Barrett 1991), the total H2 mass derived from the PdBI+30 m map within the 42'' PdBI field of view is
5
10
.
Including the mass of helium, the corresponding total molecular gas mass is
=
= 1.36
7
10
.
The distribution of molecular gas is best seen in Figs. 6a and b, which show the CO intensity maps obtained by integrating the emission in velocity channels from v = 1256 to 1716 km s-1 using a 3-
clipping.
![]() |
Figure 6:
a) The CO(1-0) integrated intensity map obtained with the PdBI in the nucleus of NGC 4579. The map is shown in grey scale with contour levels 0.2, 0.5, 1, 1.7, 2.6, 3.7 and 5 Jy km s-1 beam-1. The filled ellipse at the bottom left corner represents the CO beam size. (
|
| Open with DEXTER | |
![]() |
Figure 7:
a) The CO(1-0) integrated intensity map obtained with the PdBI (contour levels are 0.2, 0.5, 1.0, 1.7, 2.6, 3.7 and 5 Jy km s-1 beam-1) is overlaid on the V-I color image from HST (color scale) observed in the nucleus of NGC 4579. (
|
| Open with DEXTER | |
The sensitivity of the CO(1-0) map is reduced beyond the primary beam radius at this frequency r = 21
(
2 kpc). This explains why we do not see in our maps the large-scale two-arm spiral structure detected in the single-dish CO(1-0) map of Kuno et al. (2007). This large-scale spiral develops from r
4 kpc to r
10 kpc and shows a good correspondence with the H I pseudo-ring detected by Haan et al. (2008a, see Fig. 12a). Normalized to a distance D = 20 Mpc, we estimate that the total molecular gas mass inside r
10 kpc amounts to
4
10
.
The integrated-intensity contours are overlaid on the HST V-I image in Fig. 7 and on the [OIII] emission in Fig. 8. It can be seen that there is
little molecular gas at r < 200 pc from the central engine. The most massive gas complexes, of a few
10
,
lie east and north of the nucleus at r
150 pc (complexes E and N in Fig. 8, respectively). Complexes E and N are connected by an arc of low-level CO(2-1) emission (complexes E' and N' in Fig. 8).
4.1 Gas components
Inside r
2 kpc we identify in the PdBI maps three main components in the distribution of the 2-1 and 1-0 line emission:
- The central disk: the 2-1 line map of Fig. 6b gives a sharp view of the distribution of molecular gas at radii r < 200 pc. The molecular clumps (complexes N, N', E', E) constitute together the molecular gas counterpart of a lopsided disk-like structure
that can be clearly identified as a dusty feature in the V-I color HST image of the galaxy (Fig. 7), and as a filled-in disk in the H
image (Fig. 13) discussed in Sect. 7. The AGN lies close to the southwestern edge of this central disk. As discussed in Sect. 3, there is also weak CO emission related to the AGN; this corresponds to a compact molecular gas structure (torus?)
of
=
10
.
- The inner spiral arms: the bulk (>80
)
of the molecular gas as traced by the two CO lines is piled up in two highly contrasted spiral lanes that lie at the leading edges of the
12 kpc-diameter bar, identified in the K-band image of Knapen et al. (2003; see also Eskridge et al. 2002; and Jarrett et al. 2003). This geometry is discussed more at length in Sect. 7, and is also illustrated in Figs. 12b and c, which show the deprojected version of the CO maps overlaid on the K-band image of the galaxy. The CO arms develop from r
300 pc to r
1.3 kpc. At closer examination, it can be seen that the CO spiral lane stretching north of the AGN (hereafter denoted as N-arm) is more regular and better delineated than its southern counterpart (hereafter referred to as S-arm). Moreover, the inner segment of the N-arm is significantly closer to the AGN compared to that of the S-arm (Fig. 7). As discussed in Sect. 7 (see also Fig. 13), a similar asymmetry is observed in H
emission. Furthermore, the N-arm is well correlated with a northern dust lane characterized by a red V-I color (Fig. 7). In contrast, the S-arm shows little, if any, color signature in the V-I color image of Fig. 7. This overall north-south asymmetry in the color image can be partly explained if we assume that the northern side of the disk is the near side of the galaxy. Nevertheless, the differences in the morphology of the N-arm and the S-arm, revealed by CO and H
,
are to a large extent intrinsic and thus cannot be explained only by a projection effect.
- The outer arc: further out, to the north, there is a chain of emission clumps detected in CO(1-0) (hereafter referred to as outer arc or O-arc). This component, only detected in the 1-0 line, has no clear southern equivalent. As shown in Fig. 7, the O-arc is well correlated with a chain of gas spurs characterized by a red V-I color. Furthermore, the O-arc is also detected in H
emission (see Fig. 13 and discussion in Sect. 7); this morphology, first described by Pogge (1989) as unusual,
resembles a one-sided, partially filled-in, ellipsoidal ring.
5 CO line ratios
The value of the 2-1/1-0 integrated intensity ratio (R21) is obtained after convolving the 2-1 map to the lower resolution of the 1-0 map, both maps including short spacings. R21 ranges from
0.4 to
1 inside the observed region (in
km s-1 units); the average ratio is
0.6. This ratio is close to the canonical value observed in spiral disks and is typical of optically thick molecular gas clouds (e.g., Braine & Combes 1992; García-Burillo et al. 1993). There is a radial trend in the excitation of the gas, as measured by the line ratio: close to the AGN, at r < 200 pc, R21
0.8-1 (over the central disk), whereas R21
0.4-0.6 at r > 500 pc (over the S-arm, the N-arm and the O-arc). Hints of a similar trend are found in other NUGA targets (e.g., García-Burillo et al. 2003b) and can be interpreted as evidence of external heating of molecular clouds by X-rays in the vicinity of the AGN (Baker et al. 2003).
6 Molecular gas kinematics
6.1 Rotation curve and dynamical mass
We show in Fig. 9 the isovelocity contour maps obtained from the CO(1-0)
and CO(2-1) data in the nucleus of NGC 4579 (applying a 4-
clipping). The kinematics of the molecular gas are consistent with those of a spatially resolved rotating structure. The sense of the rotation of the gas in the galaxy plane is counterclockwise assuming the northern side is the near side (see Sect. 4).
An estimate of the CO rotation curve (
)
can be obtained from position-velocity (p-v) diagrams taken along the major axis of NGC 4579 (Fig. 10), assuming that circular motions dominate the gas kinematics. We have fitted the major axis position angle
by maximizing the line-of-sight velocity gradient within r = 2 kpc, and obtain PA = 95
10
;
this value is consistent within the errors with previous findings based on H
and H I kinematics (Guhathakurta et al. 1988; Chemin et al. 2006; Haan et al. 2008a). It is also coincident with the PA given by isophotal fitting of optical images
(Young & Currie 1998; Paturel et al. 2000). To assess the validity of the adopted PA, we have made our own isophotal fitting of the 3.6
m IRAC image shown in Fig. 14; the value obtained from the fit confirms within the errors that PA = 95
10
.
Terminal velocities (
)
are derived by fitting
![]() |
Figure 8:
a) ( Left panel) Same contours for the CO(2-1) line as in Fig. 7 overlaid on the [OIII] line color image from HST of Pogge et al. (2000) (color scale) observed in the nucleus of NGC 4579. Complexes N, N', E' and E are highlighted. b) ( Right panels) CO(2-1) line spectra observed towards complexes N, N', E' and E. Velocities are relative to
|
| Open with DEXTER | |
![]() |
Figure 9:
CO(1-0) ( upper panel) and CO(2-1) ( lower panel) isovelocities contoured over false-color velocity maps. Velocities span the range (-200 km s-1, 200 km s-1) in steps of 25 km s-1. Velocity scale is relative to
|
| Open with DEXTER | |
A simple rotation curve model can be fitted using the CO+H I data from both sides of the
major axis. We choose a rotation law characteristic of a logarithmic gravitational potential, described by
![]() |
(1) |
where
The mass inside a certain radius r can be inferred using M(r) = C
r
/G, where G is the constant of gravity, M(r) is the mass inside a sphere of radius r, and C is a constant varying between 0.6 and 1, depending on the disk mass model assumed. If we take a value of C = 0.8 intermediate between the values appropriate for spherical (1) and flat disk (0.6) distributions, M(r = 2 kpc)
4
10
.
This implies that the molecular gas mass fraction inside r = 2 kpc is
2
.
This fraction decreases to
0.6
at r = 50 pc.
From the best fit of
,
we have derived the frequency curves, shown in Fig. 11:
,
and
.
These curves can be used to estimate the position of the main resonances in the disk in the context of the epicyclic approximation as discussed in Sect. 7, where we compare the morphology of the molecular disk to the distribution shown by other tracers of the ISM and the stellar structure in the disk of NGC 4579.
![]() |
Figure 10:
a) Position-velocity diagram of CO(1-0) along the mayor axis of NGC 4579 (PA = 95 |
| Open with DEXTER | |
6.2 Streaming motions
The kinematics of molecular gas in the central r
2 kpc of NGC 4579 reveal the presence of
non-circular motions that modulate the overall rotation pattern of the disk described in Sect. 6.1. Deviations are detected with uneven strength over the inner spiral arms (N-arm and S-arm), the outer arc (O-arc), and, most noticeably, over the central disk, as described below:
- The central disk: the radial velocities of the gas in the central disk-like structure deviate by up to >100 km s-1 from the expected pattern of circular rotation. CO emission from the E complex, mostly prominent in the 2-1 line, is detected at negative radial velocities (
-70 km s-1) that are forbidden by circular rotation at this location of the ``disk'' (see Figs. 8 and 10). If the gas flows inside the plane, this would imply that the gas at E is counter-rotating at a deprojected speed of v
120 km s-1. Complex N, which lies close to the kinematic minor axis of the galaxy, also shows non-circular motions: instead of a zero average velocity, we measured
-50 km s-1 (see Figs. 8 and 10); this can be interpreted as gas moving outward within the plane. The CO kinematics observed in complexes N' and E' indicate instead positive radial velocities for the gas:
+75 km s-1 at N' and
+25 km s-1 at E'. Altogether, the radial velocities measured along a line intersecting complexes N, N', E' and E show a gradient that is reversed with respect to that expected if circular rotation prevailed.
![\begin{figure}
\par\includegraphics[width=8.5cm,clip]{0640f11.eps}
\end{figure}](/articles/aa/full_html/2009/10/aa10640-08/Timg107.gif)
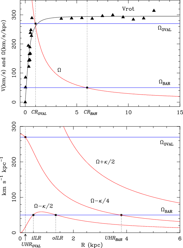
Figure 11: a) ( Upper panel) Rotation curve
and angular speed curve
fitted from the CO and H I data of NGC 4579 (triangles are data points). A value for the bar pattern speed
50 km s-1 kpc-1 puts the corotation radius of the bar at
6 kpc. Similarly, a corresponding pattern speed value of
270 km s-1 kpc-1 puts the corotation radius of the oval at
1 kpc. b) ( Lower panel) Frequency curves
and
.
If
50 km s-1 kpc-1, the ultra harmonic resonance (UHR) of the bar lies at
3.8 kpc. We estimate the existence of an extended ILR region with two ILRs lying at
500 pc (inner ILR = iILR) and
1.3 kpc (outer ILR = oILR), respectively. With
270 km s-1 kpc-1 the UHR of the oval is at
200 pc.Open with DEXTER - The inner spiral arms: the isovelocity maps of Fig. 9 reveal a steep transverse velocity gradient across the S-arm. An inspection of the major axis p-v diagrams of Fig. 10 indicates that the gas is strongly slowed down to zero rotation velocities when it encounters the S-arm at
+3
.
Downstream the S-arm (at
+7
), gas is accelerated: rotation velocities
= (
)/sin(i)
170/sin(36)
290 km s-1 are reached when the gas leaves the arm. A similar but more shallow transverse gradient is detected across the N-arm.
- The outer arc: Fig. 9 shows that the O-arc is also associated with peculiar motions. The radial velocities measured in adjacent regions of the N-arm and O-arc can differ by up to 150 km s-1. This is illustrated in Fig. 10 which shows the p-v plots along the major and minor axis of the galaxy.
6.3 An outflow of molecular gas in NGC 4579?
Alternatively, the overall morphology and velocity pattern of the central disk could be qualitatively explained by a scenario where the gas is flowing away from the nucleus in extra-planar motions, as mentioned by GB05. The [OIII] line and UV continuum maps obtained with HST can be used to tentatively identify a one-sided fan-shaped morphology in the emission coming from the central r
100 pc of NGC 4579 (Pogge et al. 2000; Contini 2004), suggestive of an AGN-powered outflow of hot gas. The morphology of the neutral gas disk at r
150 pc, evidenced by the V-I color image of the galaxy, would indicate that the gas is piling up in a shell. The shell could be a signature of gas entrainment by the outflow (see Fig. 8). The expanding shell scenario could explain the kinematics of the N and E complexes as a signature of out-of-the-plane motions projected along the line of sight towards the observer. The positive radial velocities measured towards complexes N' and E' can be explained if out of the plane motions are projected away from the observer. In this scenario AGN feeding would be presently quenched on these scales.
The outflow scenario for NGC 4579 is not flawless, however. Firstly, based on the current data, the putative outflow of hot gas in NGC 4579 does not have the mass and energies typically required to produce a corresponding outflow in the neutral gas (e.g., see the case of NGC 4528 discussed by Krause et al. 2007). Furthermore, in NGC 4579 there is no evidence of a radio jet, which should be the driving agent of the outflow. Finally, there is no information on the kinematics of the ionized gas that may be indicative of outflow motions. On the whole, the outflow scenario can be considered as merely speculative.
7 Comparison with other tracers
In this section we compare the CO maps of NGC 4579 with the distribution shown by other tracers of the ISM and with the stellar structure of the galaxy. This information is used to estimate the location of the resonances in NGC 4579, a key to the interpretation of the gas-flow in the disk of the galaxy.
![]() |
Figure 12:
a) ( Upper panel) We overlay the H I intensity map obtained with the VLA (in contours from 0.04 to 0.28 in steps of 0.03 Jy km s-1 beam-1) on the K-band WHT image (color scale) obtained for the nucleus of NGC 4579; both images have been deprojected onto the galaxy plane. Units on X/Y axes (
|
| Open with DEXTER | |
![]() |
Figure 13:
Same contours as in Fig. 7 overlaid on the H |
| Open with DEXTER | |
![]() |
Figure 14:
a) ( Upper panel) Superposition of the H I intensity map (black contours), the 3.6 |
| Open with DEXTER | |
![]() |
Figure 15:
a) ( Upper panel) The 12CO(2-1) integrated intensity map obtained with the PdBI (same contours as in Fig. 7) is overlaid on the UV image of the central region of NGC 4579 obtained with the ACS/HRC in the F330W band (in grey scale). b) ( Lower panel) The K-band contours are overlaid on the UV-image of the galaxy. To highlight the orientation of the bar and the oval, we show three ellipses fitted to the nuclear oval in the inner r < 100 pc (thick dashed contours); the orientation of the isophotes changes towards the outer region, as shown by the fitted ellipse at r |
| Open with DEXTER | |
7.1 The large-scale bar
The 2.2
m K-band image of NGC 4579 published by Knapen et al. (2003) shows a prominent stellar bar in the disk. The bar is oriented along PA
56
(measured east from north in the plane of the sky). Once deprojected onto the plane of the galaxy (assuming PA = 95
and i = 36
), the position angle of the bar (PA
)
measured from the major axis becomes: tan(PA
) = tan(
)/cos(i), which implies
45
,
as shown in Fig. 12. An isophotal analysis made on the K-band image of the galaxy gives an approximate diameter-size for the bar of D
10-12 kpc. This coincides with the value derived from a similar analysis of the 3.6
m Spitzer/IRAC image shown as white contours in the upper panel of Fig. 14. This bar size is compatible within the errors with the value calculated from the Fourier decomposition of the potential, which favors a slightly larger bar (D
14 kpc), as discussed in Sect. 8.2.1.
In the following, we will suppose that the corotation resonance lies at the end of the bar:
6
1 kpc, i.e., allowing for a 20
uncertainty in
.
This is a plausible scenario for the well-developed although relatively weak bar of NGC 4579 (see Sect. 8). An estimate of the bar pattern speed (
)
is thus obtained using the
curve derived from CO if we rely on the epicyclic approximation; this yields
50
10 km s-1 kpc-1 (see Fig. 11). The two ILRs lie approximately at r
500 pc (inner ILR = iILR) and r
1.3 kpc (outer ILR = oILR) for
50 km s-1 kpc-1 (Fig. 11).
This value of
allows the bar to have an extended ILR region, a requirement imposed by the observed distribution and kinematics of molecular gas in the central r
2 kpc disk. In the context of this approximation we can put an upper limit to the pattern speed of the bar of NGC 4579:
60 km s-1 kpc-1; this value of
would impose the existence of a single ILR at
800 pc, a scenario incompatible with observations, which require the existence of two ILRs. With
50 km s-1 kpc-1, the O-arc would correspond to the oILR, a resonance which is currently being depopulated due to gas inflow down to a region inside the iILR of the bar (see discussion in
Sect. 8.2). The latter explains the molecular gas concentration in the inner spiral arms (N-arm and S-arm), formed as a mixture of x2 and x1 precessing orbits. On its way to the nucleus, molecular gas is forming stars in the inner spiral arms, as evidenced by the detected H
emission, more intense in the case of the N-arm (see Fig. 13), as discussed in Sect. 7.4.
7.2 The nuclear oval and nuclear UV ring
The K-band image of NGC 4579 shows evidence of a previously unnoticed weak oval distortion present in the inner r
150 pc (Fig. 15). This nested structure was not detected in the I-band HST image originally used in the first gravity torque analysis of NGC 4579 (GB05). The oval is oriented along
70
(measured from +X axis in the plane of the galaxy), and therefore is not aligned with the large-scale bar. Misalignment can be taken as evidence of decoupling of the nested structure. The reality of this weak distortion is confirmed by the analysis of the
Fourier decomposition of the potential described in Sect. 8. The lower panel of Fig. 15 shows a zoomed view of the central r
300 pc-region.
The oval appears to be roughly cospatial with an off-centered ellipsoidal ring detected in the HST UV image of the galaxy, first discussed by Contini (2004). The UV ring has an average radius r
150-200 pc and has been recently described by Comerón et al. (2008) as an ultra-compact nuclear ring.
The nuclear UV ring can be interpreted as a resonance of the oval distortion. The best guess assigns the ultra harmonic resonance (UHR) of the oval to the UV ring: if the pattern speed of the oval is
270
10 km s-1 kpc-1, the UHR of the oval should lie at
200 pc and its corotation at
1 kpc (Fig. 11). With this choice we can explain the decoupling of the oval with respect to the large-scale bar, as the corotation of the oval would be close to the oILR of the large-scale bar. This resonance overlap is a prerequisite to the decoupling of nuclear bars/ovals (e.g., García-Burillo et al. 1998; Hunt et al. 2008). The putative oval distortion is admittedly weak; nevertheless, because the Fourier decomposition points to such a feature, it neatly sets the stage for the resonances (e.g., nuclear UV ring) seen at other wavelengths.
As discussed in Sect. 8.2, the oval perturbation could favor gas fueling to the AGN at present. In particular, the decoupling scenario would explain the depopulation of the oILR of the large-scale bar, under the combined action of the bar and the nuclear oval. A similar time sequence is nicely illustrated by the numerical simulations adapted to follow the nuclear bar decoupling in the double-barred galaxy NGC 2782, discussed by Hunt et al. (2008).
7.3 The gas distribution in the outer disk (r > 4 kpc)
The 21 cm H I map of NGC 4579 gives a sharp view of the gas distribution in the outer disk of the galaxy (from r
4 to 15 kpc). Figure 12a shows the H I map superimposed on the K-band deprojected image. Similarly, Fig. 14 shows the H I map superimposed on the Spitzer/IRAC 3.6, 8.0
m images (top panel),
and the FUV GALEX images (bottom). The 8
m Spitzer/IRAC and the FUV GALEX images provide a detailed picture of the star formation in the disk. For an Sb galaxy such as NGC 4579, >70
of
the total emission at 8
m is of non-stellar origin and is produced by warm dust heated by star formation activity (e.g., Pahre et al. 2004). The H I distribution in the disk shows a central depression in the inner r
4 kpc, mimicking a ring. The H I pseudo-ring is partly incomplete and has an average diameter of
12 kpc. At close sight, the H I pseudo-ring appears to be the superposition of two winding spiral arms. The inner segments
of the spiral arms are better identified in the 8
m Spitzer/IRAC and the GALEX images; the ring-like structure seen in the 8
m and FUV emission neatly delineates the inner edge of the H I pseudo-ring. Further out, the arms unfold in the disk over 180
in azimuth and end up forming the pseudo-ring detected in H I. Most remarkably, the spiral arms are not connected to the two bar ends located at (r,
) = (6 kpc, 45
)
and (6 kpc, 225
). Instead, the two-arm spiral structure starts at a different azimuth (
90
from the bar ends) and, also, at a significantly smaller radius in the disk: (r,
) = (4 kpc, 135
)
and (4 kpc, 315
).
On the whole, this geometry suggests that the bar and the spiral are decoupled and thus do not share a common pattern speed. It is accepted that spirals and bars can rotate at differing angular speeds in barred spiral galaxies, a scenario first advocated by Sellwood & Sparke (1988) who contemplate that, under decoupling, outer spirals can rotate at lower
.
As recently shown by numerical simulations (e.g., Combes 2008, and references therein), decoupling is more likely in the case of weak bars, of which the NGC 4579's bar is a good example. As discussed in Sect. 8.2, this situation favors gas fueling to the central regions, as the corotation barrier imposed by the bar could be thus overcome. The morphology of the outer disk revealed by H I in NGC 4579 suggests that the neutral gas is currently piling up in an inner ring located well inside the corotation of the bar. This scenario is confirmed by the coincidence of the inner edge of the H I pseudo-ring with the predicted position of the UHR of the bar, around
3.8 kpc, as illustrated in Fig. 11.
7.4 The star formation rate in NGC 4579
The star formation pattern in the inner disk (r
2 kpc) of NGC 4579 has been previously described by Pogge et al. (2000) and Contini (2004), based on HST optical and UV images (see also descriptions by GB05 and Comerón et al. 2008). Most of the H
emission in the region 200 pc < r < 2 kpc comes from a two-arm spiral structure with a geometry similar to that of the CO inner spiral arms, described in Sect. 4 (see Fig. 13). In addition, part of the H
emission is related to the CO outer arc. Closer to the AGN (r < 200 pc), the bulk of the H
emission is seen to come from a slightly off-centered disk. At close sight, several subcomponents can be identified in this disk. There is a point-like nuclear source of
0.27
-size, located at the dynamical center of the galaxy; the emission of this component has been interpreted as due to photo-ionization by the AGN (Maoz et al. 2005). Furthermore, the [OIII] line and UV maps reveal also a one-sided fan-shaped morphology in the emission in the inner r
100 pc of NGC 4579 (Pogge et al. 2000; Contini 2004). On larger scales, the HST UV image of the galaxy, shows an off-centered ring at r
150-200 pc (see Sect. 7.2 and Comerón et al. 2008). As described in Sect. 7.3, star formation in the outer disk, as traced by the UV continuum emission seen by GALEX, arises from a pseudo-ring characterized by a geometry similar to that of the H I pseudo-ring.
In order to quantify the amount of gas transformed into stars, we have used the HST H
and GALEX UV images described above to calculate the corresponding star formation rates (SFR) on different regions throughout the disk of the galaxy. SFR values are derived using the empirical formulae given by Kennicutt (1998). We first estimate the SFR in the inner disk; more precisely, we define SFR
as the integrated SFR inside the region 300 pc < r < 2 kpc. To correct for extinction, and thus have a more accurate evaluation of SFR
,
we have used the CO(1-0) PdBI map to derive the H2 column density map, using the CO-to-H2 conversion factor of Solomon & Barrett (1991): X =
= 2.3
1020 cm-2 K-1 km-1 s. The AV map is then derived using the commonly-used N(H2)-to-Av conversion factor of Bohlin et al. (1978): N(H2)/AV = 1021 cm-2 mag-1. Adopting a screen-geometry for the obscuring dust in front of the HII regions, we must scale the Av map by a factor 1/2, if HII regions are assumed to lie in the mid-plane of the galaxy. This scaled extinction map, with Av typically ranging from
3 to
15, is used to derive
,
following Cardelli et al. (1989):
= 0.828
Av. We derive SFR
0.10
yr-1, confirming that the nuclear starburst of NGC 4579 is only moderate. In a second step, we use SFR
to calculate the SFR throughout the disk of the galaxy by scaling the integrated fluxes measured in the GALEX UV image at the corresponding radii. We define SFR
as the SFR integrated inside the region 4 kpc < r < 10 kpc, and derive SFR
1.30
yr-1. SFR
is just the total SFR integrated to the limit of the GALEX image.
SFR
and SFR
contain the bulk of the total SFR of NGC 4579 estimated as
SFR
1.70
yr-1. In Sect. 8.2.3 these SFRs will be compared to the corresponding inflow rates driven by gravity torques in these regions, relevant to understand the overall gravity torque budget.
![]() |
Figure 16:
Strength (Q1, Q2 and QT) and phases ( |
| Open with DEXTER | |
8 Gravity torques
8.1 Methodology
Firstly we have derived a good representation of the stellar potential for the disk of NGC 4579. To do so we have used the K-band image of the galaxy published by Knapen et al. (2003), assuming that this image is virtually free from dust extinction or stellar population biases. This working hypothesis better applies to the K-band image than to the I-band image originally used by GB05 to derive the gravity torque budget in NGC 4579. The K-band image has been deprojected according to the angles PA = 95
and i = 36
,
assumed in Sect. 1. Figure 12 shows the overlay of the deprojected gas distribution as derived from the CO and H I maps with the deprojected K-band image of NGC 4579.
To reproduce the vertical mass distribution, the K-band image was convolved using an isothermal plane model of constant scale height, equal to
1/12th of the radial scale length of the image. We also adopted a constant mass-to-light (M/L) ratio, obtained by fitting the rotation curve to the CO and H I data. The potential -
- was then calculated by a Fourier transform method and decomposed in the different m-modes as follows
![]() |
(2) |
where
According to Combes & Sanders (1981), the strength of the m-Fourier component is defined as: Qm(R) as
| (3) |
Similarly, the strength of the total non-axisymmetric perturbation is obtained by
![]() |
(4) |
where
The forces per unit mass (Fx and Fy) are calculated from the derivatives of
at each pixel; the gravity torques per unit mass - t(x,y) - can be then computed by
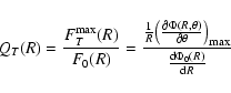
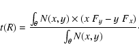
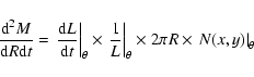
| t(x,y) = x Fy -y Fx. | (5) |
The sense of the circulation of the gas in the galaxy plane (counterclockwise in NGC 4579; see Sect. 6) defines whether the sign of t(x,y) is positive (negative) if the torque accelerates (decelerates) locally the gas in the disk. Note that the specific torque field t(x,y) does not depend on the present distribution of the gas. However, we use the t(x,y) map to infer the angular momentum variations by assuming that the gas column density (N(x,y)) derived from the CO line maps (in the inner disk) and from the H I map (in the outer disk) is a good estimate of the probability of finding gas particles at this location at present. The torque field is then weighted by N(x,y) at each pixel to derive the time derivative of the angular momentum surface density in the galaxy plane,
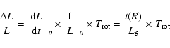
To estimate the net radial gas flow globally induced by the torque field in the galaxy disk, we have computed the torque per unit mass averaged over the azimuth
as a function of radius R, using N(x,y) as weighting function
![]() |
(6) |
By definition, t(R) is the azimuthally-averaged time derivative of the specific angular momentum - L - of the gas, i.e., t(R) =
where
Following the approach of GB05, we can estimate the gas mass inflow (-sign)/outflow (+sign) rate driven by the stellar potential per unit length as a function of radius (in units of
yr-1 pc-1 in Figs. 21a to 23a) according to
![]() |
(8) |
where
Similarly, the inflow/outflow rates integrated out to a certain radius R can be derived as
![]() |
(9) |
Figures 21b to 23b display these integrated rates in units of
![]() |
Figure 17:
Same as Fig. 16d but zooming on the inner r |
| Open with DEXTER | |
![]() |
Figure 18: a) ( Upper panel) We overlay the H I contours with the map of the (dimensionless) effective angular momentum variation, as defined in text. b) ( Middle panel) The same as a) but for CO(1-0). c) ( Lower panel) The same as a) but for CO(2-1). Maps are deprojected onto the galaxy plane. |
| Open with DEXTER | |
8.2 The gravity torque budget in NGC 4579
8.2.1 The stellar potential
To derive the stellar potential
used in the gravity torque calculation of NGC 4579, we have followed an adaptive approach.
in the inner r
2 kpc disk has been derived using a grid of 256
256 pixels with 0.15
pixel-1 on the K-band image. This representation of
is the best adapted to derive the torque field on CO. On the other hand, a spatially smoothed version of the NIR image, with 256
256 pixels and 1.15
pixel-1, has been used to calculate
in the outer disk up to r
15 kpc. The ensuing torque field on H I is derived from this representation of the stellar potential.
Figure 16 shows the Q values derived as a function of radius. The large-scale bar (m=2) is clearly detected in the smoothed version of
(Figs. 16a and b). The area of influence of the bar, determined by the dominance of the m=2 mode over other secondary modes extends up to r
7-8 kpc in the disk. For r
8 kpc,
Q1+Q3+Q4
Q2, an indication that the bar mode is not dominant on these scales of the outer disk. This puts an upper limit to the size of the bar (r < 7-8 kpc). As discussed in Sect. 7.1, the isophotal analysis of the NIR images of the galaxy gives a smaller size for the bar: r
5-6 kpc. The finally adopted value for
= 6
1 kpc is a reasonable compromise between the two determinations above and it accounts for the overall gas response in the disk.
On the whole, the bar is moderately strong: the Q2 strength of the bar is maximum at r
3 kpc where it reaches a value of
0.1. Moreover, the phase of the bar
stays noticeably constant at a value
-0.8 radians, i.e., at an angle
45
,
measured counterclockwise from +X-axis in Fig. 12. This also confirms the value of
derived from the isophotal analysis of Sect. 7.1. The inner representation of
also reveals the bar at r < 2 kpc (Figs. 16c and d), with a similarly constant phase and, not surprisingly, with an average lower strength, Q2
0.02-0.03 (at these radii we are inside the peak of Q2). Of particular note, the high-resolution version of
unveils the oval distortion with a size and an orientation similar to those derived in Sect. 7.2. This is illustrated in Fig. 17, which shows how the phase of the m=2 mode changes in the inner r
700 pc disk of the galaxy. The presence of a misaligned oval is betrayed by a significant
25
change in the phase of the m=2 mode.
gradually shifts from the large-scale bar orientation,
-0.8 radians for 200 pc < r < 7 kpc (
45
), to
-1.2 radians (
70
)
at r
100 pc.
There are discrepancies, most likely attributable to dust extinction, between the stellar potential obtained from the K-band image of NGC 4579, and the representation of
obtained by GB05 from the I-band HST image of the galaxy. Firstly, the strong m=1 mode detected in the I-band image is much weaker in the new evaluation of
.
As illustrated in Fig. 7 of GB05, the m=1 mode seemed to overtake the potential strength of the bar at r < 500 pc: Q1 was seen to vary between
0.02 and
0.10, while Q2
0.02. This is in contrast to the new result shown in Fig. 16c: Q2>Q1, except for the inner r
50 pc, i.e., below the limit of the spatial resolution of the image
. This has consequences on the interpretation of the lopsidedness identified in the gas
distribution and kinematics probed by CO. Lopsidedness cannot be clearly attributed to the action of a true m=1 mode in the stellar potential. As a second important difference, the oval identified in the K-band image was not present in the I-band image of GB05. The reported discrepancies in
can be attributed to the residual effects of extinction which are noticeable in the central r
2 kpc of the I-band image.
Taken together, these differences are relevant to explaining the new version of the gravity torque budget in NGC 4579, described in Sect. 8.2.2.
![]() |
Figure 19:
The average fraction of the angular momentum transferred from/to the gas in one rotation -
|
| Open with DEXTER | |
![]() |
Figure 20:
Same as Fig. 19, but here showing the results obtained for
|
| Open with DEXTER | |
8.2.2 Gas-flow timescales in NGC 4579
Figure 18 shows the 2D pattern of gravitational torques obtained throughout the disk of NGC 4579, from r
15 kpc down to the inner r
50 pc around the AGN. The derived torques change sign following a characteristic 2D butterfly pattern. Quadrants I-to-IV will define hereafter the regions where the signs of the torques driven by the dominant perturbation of the stellar potential are expected to be constant.
Assuming that the gas is rotating counterclockwise, Fig. 18 shows that, although H I emission is distributed along the four quadrants, the majority of the gas is seen to lie along the leading edges of the large-scale bar where torques are negative (quadrants II(-) and IV(-)), especially on intermediate scales (4 kpc < r < 8 kpc). Figure 19a shows that the azimuthally averaged torques are systematically negative from r
10 kpc down to r
4 kpc. This result suggests that the corotation barrier of the bar in NGC 4579 (at
6 kpc) has been overcome due to secular evolution processes. If the gas response was the canonical spiral pattern coupled to the bar, the corotation would separate in the disk the regions where torques are positive (from corotation to the outer Lindblad resonance (OLR)) from those where torques are negative (from corotation to the oILR). Positive torques would tend to form a ring at the OLR. However, a decoupling of the spiral allows the gas to efficiently populate the UHR region inside corotation and thus produce net gas inflow on intermediate scales in the disk. A similar scenario has been suggested to explain the gravity torque maps of some of the NUGA galaxies recently analyzed by Haan et al. (2008b). The implied timescales for angular momentum transfer in NGC 4579 are
5-10 rotation periods. On its way to the nucleus, the gas stops in the outer disk close to the UHR of the bar, where torques become negligible (Fig. 19a).
In the inner disk, Fig. 18 shows that the bulk of the CO emission along the inner spiral arms lies where torques are strong and negative (quadrants II(-) and IV(-)). The corresponding azimuthally averaged torques, shown in Fig. 19, are mostly negative from r
1.3 kpc down to r
300 pc. This indicates a net gas inflow from the oILR down to a region inside the iILR of the bar. As for the outer disk, the implied timescales for angular momentum transfer are also
5-10 rotation periods. This result is in agreement with our first calculation published by GB05 (see Fig. 11 of GB05) regarding the sign of the torques. However the gravity torques shown in Figs. 19b and c are comparatively stronger at the same radii, in particular those contributing to gas inflow. The changing picture can be attributed to the new
used in this work but, also, to the new N(x,y)-values that now include the short spacing correction for CO. This is illustrated in
Fig. 20 where we compare the
curves obtained with the new
used in this work, but with two different versions of N(x,y), derived from the PdBI-only CO data (used by GB05), and from the short spacing corrected PdBI+30 m data (this work), respectively. In summary, we find that the gas in the inner disk is funneled from the oILR to a region inside the iILR at r
300 pc. There is a barrier of positive torques between r
200 pc (i.e., close to the UHR of the oval perturbation) and r
300 pc (Figs. 19b and c).
Closer to the AGN (r < 200 pc), the bulk of the CO emission is concentrated north of the nucleus (complex N) in the trailing quadrant of the large-scale bar I(+), where stellar torques are positive. However, the rest of the central disk complexes from r
50 pc to r
150 pc, identified in the CO(2-1) map, feel negative torques due to the combined action of the large-scale bar and the inner oval. The two m=2 modes act in concert to produce net gas inflow down to the spatial resolution of our observations (see Fig. 19c).
This result is different to that reported in GB05, where the evidence of AGN fueling at r < 200 pc was lacking. The implied timescales for angular momentum transfer are extremely short:
1-3 rotation periods.
![]() |
Figure 21:
a) ( Upper panel) We represent the radial variation of the mass inflow(-) or outflow(+) rate of gas per unit radial length (
|
| Open with DEXTER | |
![]() |
Figure 22: Same as Fig. 21 but here based on the gas distribution as derived from CO(1-0) data. |
| Open with DEXTER | |
![]() |
Figure 23: Same as Fig. 21 but here based on the gas distribution as derived from CO(2-1) data. |
| Open with DEXTER | |
8.2.3 Mass transfer rates in NGC 4579
In terms of mass inflow/outflow rates, the feeding budget integrated out to a certain radius is clearly negative in the outer disk of NGC 4579 (r > 4 kpc). As shown in Fig. 21,
goes from virtually zero inflow at r
4 kpc to
-0.3
yr-1 at r
10 kpc. The minimum of
,
indicative of the largest inflow rate per unit length, is reached at r
5.5 kpc, a position close to the corotation of the bar. As argued in Sect. 8.2.2, this paradoxical result can be explained if the gas response in the outer disk is decoupled from the bar potential. The inflow rate integrated on these scales (
[4 kpc < r < 10 kpc]
-0.3
yr-1) is a factor
4 lower than the gas feeding needs implied by the current SFR integrated on this region (SFR
1.3
yr-1, as derived in Sect. 7.4). Note, however, that on these scales, the
estimated from H I is a lower limit to the total inflow rate, as it does not include the contribution from molecular gas at these radii.
In the inner disk, the integrated mass feeding budget is systematically negative from r
2 kpc down to r
400 pc. As shown in Figs. 22 and 23,
goes from
-0.5
yr-1 at the iILR (at 500 pc) to
-1.5
yr-1 at the oILR (at 1.3 kpc). This is a factor
5 larger than the corresponding
inflow rates measured for the outer disk (r > 4 kpc). The minimum of
,
indicative of the largest inflow rate per unit length, is reached in the vicinity of the iILR. The inflow rate integrated on these scales (
[400 pc < r < 2 kpc]
-1.5
yr-1) is an order of magnitude higher than the gas feeding rate required to sustain the current SFR in this region (SFR
0.10
yr-1, as derived in Sect. 7.4). The timescale for gas consumption by star formation is significantly larger than the dynamical timescale for inflow in the inner disk at present.
Closer to the AGN (r < 200 pc), the integrated mass budget derived from the CO(2-1) map shows negative torques down to r
50 pc. The minimum of
,
indicative of the largest inflow rate per unit length, is reached inside the UHR of the oval, at r
100 pc. The integrated inflow rate measured at r
50 pc, the position closest to the AGN where
can be estimated down to the limit imposed by the spatial resolution of our observations, is
-8
10
yr-1. This inflow rate can satisfactorily explain the AGN activity of NGC 4579: the inferred
lies within the range of the mass accretion rates derived from the typical bolometric luminosities in low-luminosity AGNs (
10-2 to
10
yr-1 from Seyfert to LINERs; see compilation by Jogee 2006).
9 Summary and conclusions
In this paper we have studied the efficiency of angular momentum transport in the LINER/Seyfert 1.9 spiral NGC 4579 using a complete gravity torque map of the disk of the galaxy. Gas flow rates from the outer disk region at r
15 kpc down to the inner disk at
a few 10 pc are derived to search for signatures of secular evolution in the fueling process. The CO maps obtained with the PdBI and the 30 m telescope as part of the NUGA survey are used to derive the gravity torque budget in the circumnuclear regions. Gravity torques on the outer disk gas are derived using the H I map obtained with the VLA. The stellar potential is derived from a K-band wide field image of the galaxy. We summarize the main results of our study as follows:
- By analyzing the distribution and kinematics of the gas and their relation to other tracers of the ISM and the stellar structure we identify signs of dynamical decoupling of several patterns on different spatial scales of the disk. The K-band image reveals a stellar bar of diameter D
12 kpc and moderate strength, as well as a nested weak oval distortion in the inner r
150 pc of the disk. The bar and the oval are not aligned, a signature of dynamical decoupling. Molecular gas in the inner r
2 kpc disk is distributed in two spiral arms, an outer arc, and a central lopsided disk-like structure. The morphology of the outer disk revealed by H I shows that the neutral gas is currently piling up in a pseudo-ring at r
4 kpc. The pseudo-ring is formed by two winding spiral arms that are morphologically decoupled from the bar structure; this suggests that the spirals and the bar do not share a common pattern speed.
- We have estimated the pattern speeds and principal resonances of the bar and the oval
in the disk of the galaxy. In the scenario of dynamical decoupling, the oval has a higher pattern speed compared to the primary bar. The gas response in the circumnuclear regions traced by the CO maps follows the expected gas flow pattern induced by the bar potential in the presence of two ILRs at r
500 pc (iILR) and r
1.3 kpc (oILR). We can explain the decoupling of the oval with respect to the large-scale bar, as the corotation of the oval would be close to the oILR of the large-scale bar. The pseudo-ring detected in H I is located inside the bar corotation (
6 kpc) and close to the predicted position of the UHR of the bar (
3.8 kpc).
- The derived gravity torque budget in NGC 4579 shows that the fueling process is at work on different spatial scales in the disk. In the outer disk, the decoupling of the spiral allows the gas to efficiently populate the UHR region inside corotation and thus produce net gas inflow on intermediate scales. This suggests that the corotation barrier of the bar has been overcome due to secular evolution processes. The gas stops close to the UHR of the bar, where torques become negligible. The gas in the inner disk is efficiently funneled by gravity torques from the oILR down to r
300 pc. Closer to the AGN (r < 200 pc), gas feels negative torques due to the combined action of the large-scale bar and the inner oval. The two m=2 modes act in concert to produce net gas inflow down to the spatial resolution of our observations, providing a clear smoking gun evidence of fueling.
- In the inner disk, the mass feeding budget is systematically negative from r
2 kpc down to r
400 pc. The inflow rate integrated on these scales (
-1.5
yr-1) is an order of magnitude higher than the gas feeding rate required to sustain the current SFR in this region. Closer to the AGN (r < 200 pc), the torques are negative down to r
50 pc. The integrated inflow rate measured at r
50 pc is
-8
10-3
yr-1. This inflow rate is consistent with the requirements of the AGN activity of NGC 4579.
Acknowledgements
We acknowledge the IRAM staff from the Plateau de Bure and from Grenoble for carrying out the observations and help provided during the data reduction. We thank Roberto Neri for fruitful discussions. I.M. acknowledges financial support from the Spanish Ministerio de Ciencia y Tecnología (grant AYA2007-62190) and from the Junta de Andalucía (grant TIC-144).
References
- Anderson, J. M., Ulvestad, J. S., & Ho, L. C. 2004, ApJ, 603, 42 [NASA ADS] [CrossRef] (In the text)
- Athanassoula, E. 1992, MNRAS, 259, 345 [NASA ADS] (In the text)
- Baker, A. J. 2000, Ph.D. Thesis (In the text)
- Baker, A. J., Jogee, S., Sakamoto, K., & Scoville, N. Z. 2003, Active Galactic Nuclei: From Central Engine to Host Galaxy, 290, 479 [NASA ADS] (In the text)
- Barth, A. J., Reichert, G. A., Filippenko, A. V., et al. 1996, AJ, 112, 1829 [NASA ADS] [CrossRef] (In the text)
- Barth, A. J., Ho, L. C., Filippenko, A. V., Rix, H.-W., & Sargent, W. L. W. 2001, ApJ, 546, 205 [NASA ADS] [CrossRef]
- Bohlin, R. C., Savage, B. D., & Drake, J. F. 1978, ApJ, 224, 132 [NASA ADS] [CrossRef] (In the text)
- Boone, F., Baker, A. J., Schinnerer, E., et al. 2007, A&A, 471, 113 [NASA ADS] [CrossRef] [EDP Sciences] (In the text)
- Braine, J., & Combes, F. 1992, A&A, 264, 433 [NASA ADS] (In the text)
- Buta, R., & Combes, F. 1996, Fund. Cosmic Phys., 17, 95 [NASA ADS] (In the text)
- Canzian, B. 1993, ApJ, 414, 487 [NASA ADS] [CrossRef] (In the text)
- Cardelli, J. A., Clayton, G. C., & Mathis, J. S. 1989, ApJ, 345, 245 [NASA ADS] [CrossRef] (In the text)
- Casasola, V., Combes, F., García-Burillo, S., et al. 2008, A&A, 490, 61 [NASA ADS] [CrossRef] [EDP Sciences] (In the text)
- Chemin, L., Balkowski, C., Cayatte, V., et al. 2006, MNRAS, 366, 812 [NASA ADS] (In the text)
- Combes, F. 2003, in Active Galactic Nuclei: from Central Engine to Host Galaxy, ed. S. Collin, F. Combes, & I. Shlosman, ASP Conf. Ser., 290, 411 (In the text)
- Combes, F. 2008, IAU Symp., 245, 151 [NASA ADS] (In the text)
- Combes, F., & Sanders, R. H. 1981, A&A, 96, 164 [NASA ADS] (In the text)
- Combes, F., García-Burillo, S., Boone, F., et al. 2004, A&A, 414, 857 [NASA ADS] [CrossRef] [EDP Sciences] (In the text)
- Comerón, S., Knapen, J. H., Beckman, J. E., & Shlosman, I. 2008, A&A, 478, 403 [NASA ADS] [CrossRef] [EDP Sciences] (In the text)
- Contini, M. 2004, MNRAS, 354, 675 [NASA ADS] [CrossRef] (In the text)
- Daigle, O., Carignan, C., Amram, P., et al. 2006, MNRAS, 367, 469 [NASA ADS] [CrossRef] (In the text)
- Dewangan, G. C., Griffiths, R. E., Di Matteo, T., & Schurch, N. J. 2004, ApJ, 607, 788 [NASA ADS] [CrossRef] (In the text)
- Elfhag, T., Booth, R. S., Hoeglund, B., Johansson, L. E. B., & Sandqvist, A. 1996, A&AS, 115, 439 [NASA ADS] (In the text)
- Eracleous, M., Shields, J. C., Chartas, G., & Moran, E. C. 2002, ApJ, 565, 108 [NASA ADS] [CrossRef] (In the text)
- Eskridge, P. B., Frogel, J. A., Pogge, R. W., et al. 2002, ApJS, 143, 73 [NASA ADS] [CrossRef] (In the text)
- Ferrarese, L., & Ford, H. 2005, Space Sci. Rev., 116, 523 [NASA ADS] [CrossRef] (In the text)
- Filippenko, A. V., & Sargent, W. L. W. 1985, ApJS, 57, 503 [NASA ADS] [CrossRef] (In the text)
- García-Burillo, S., Guelin, M., & Cernicharo, J. 1993, A&A, 274, 123 [NASA ADS] (In the text)
- García-Burillo, S., Sempere, M. J., Combes, F., & Neri, R. 1998, A&A, 333, 864 [NASA ADS] (In the text)
- García-Burillo, S., Combes, F., Eckart, A., et al. 2003a, in Active Galactic Nuclei: from Central Engine to Host Galaxy, ed. S. Collin, F. Combes, & I. Shlosman, ASP Conf. Ser., 423 (In the text)
- García-Burillo, S., Combes, F., Hunt, L. K., et al. 2003b, A&A, 407, 485 [NASA ADS] [CrossRef] [EDP Sciences] (In the text)
- García-Burillo, S., Combes, F., Schinnerer, E., Boone, F., & Hunt, L. K. 2005, A&A, 441, 1011 [NASA ADS] [CrossRef] [EDP Sciences] (In the text)
- Gil de Paz, A., Boissier, S., Madore, B. F., et al. 2007, ApJS, 173, 185 [NASA ADS] [CrossRef] (In the text)
- Guilloteau, S., & Lucas, R. 2000, in Imaging at Radio through Submillimeter Wavelengths, ed. J. G. Mangum, & S. J. E. Radford, ASP Conf. Ser., 299 (In the text)
- Guhathakurta, P., van Gorkom, J. H., Kotanyi, C. G., & Balkowski, C. 1988, AJ, 96, 851 [NASA ADS] [CrossRef] (In the text)
- Haan, S., Schinnerer, E., Mundell, C. G., García-Burillo, S., & Combes, F. 2008a, AJ, 135, 232 [NASA ADS] [CrossRef] (In the text)
- Haan, S., Schinnerer, E., Emsellem, E., et al. 2008b [arXiv:0811.1988]
- Héraudeau, P., & Simien, F. 1998, A&AS, 133, 317 [NASA ADS] [CrossRef] [EDP Sciences] (In the text)
- Ho, L. C., & Ulvestad, J. S. 2001, ApJS, 133, 77 [NASA ADS] [CrossRef] (In the text)
- Ho, L. C., Filippenko, A. V., & Sargent, W. L. W. 1997, ApJS, 112, 315 [NASA ADS] [CrossRef] (In the text)
- Ho, L. C., Feigelson, E. D., Townsley, L. K., et al. 2001, ApJ, 549, L51 [NASA ADS] [CrossRef] (In the text)
- Holtzman, J. A., Burrows, C. J., Casertano, S., et al. 1995, PASP, 107, 1065 [NASA ADS] [CrossRef] (In the text)
- Hopkins, P. F., & Hernquist, L. 2006, ApJS, 166, 1 [NASA ADS] [CrossRef] (In the text)
- Huchra, J. P., Wyatt, W. F., & Davis, M. 1982, AJ, 87, 1628 [NASA ADS] [CrossRef] (In the text)
- Hummel, E., van der Hulst, J. M., Keel, W. C., & Kennicutt, R. C., Jr. 1987, A&AS, 70, 517 [NASA ADS] (In the text)
- Hunt, L. K., Combes, F., García-Burillo, S., et al. 2008, A&A, 482, 133 [NASA ADS] [CrossRef] [EDP Sciences] (In the text)
- Hutchings, J. B., & Neff, S. G. 1992, AJ, 104, 1 [NASA ADS] [CrossRef] (In the text)
- Jarrett, T. H., Chester, T., Cutri, R., Schneider, S. E., & Huchra, J. P. 2003, AJ, 125, 525 [NASA ADS] [CrossRef] (In the text)
- Jogee, S. 2006, Physics of Active Galactic Nuclei at all Scales, 693, 143 [NASA ADS] (In the text)
- Jogee, S., Baker, A. J., Sakamoto, K., et al. 2001, in The Central Kiloparsec of Starbursts and AGN: The La Palma Connection, ASP Conf. Ser., 249, 612 (In the text)
- Kenney, J. D., & Young, J. S. 1986, ApJ, 301, L13 [NASA ADS] [CrossRef] (In the text)
- Kenney, J. D., & Young, J. S. 1988, ApJS, 66, 261 [NASA ADS] [CrossRef] (In the text)
- Kenney, J. D. P., & Young, J. S. 1989, ApJ, 344, 171 [NASA ADS] [CrossRef]
- Kennicutt, R. C., Jr. 1998, ARA&A, 36, 189 [NASA ADS] [CrossRef] (In the text)
- Kennicutt, R. C., Jr., Armus, L., Bendo, G., et al. 2003, PASP, 115, 928 [NASA ADS] [CrossRef] (In the text)
- King, A. R., & Pringle, J. E. 2007, MNRAS, 377, L25 [NASA ADS] (In the text)
- Knapen, J. H., Shlosman, I., & Peletier, R. F. 2000, ApJ, 529, 93 [NASA ADS] [CrossRef] (In the text)
- Knapen, J. H., de Jong, R. S., Stedman, S., & Bramich, D. M. 2003, MNRAS, 344, 527 [NASA ADS] [CrossRef] (In the text)
- Kohno, K., Matsushita, S., Vila-Vilaró, B., et al. 2001 in The Central Kiloparsec of Starbursts and AGN: The La Palma Connection, ASP Conf. Ser., 249, 672 (In the text)
- Koopmann, R. A., Kenney, J. D. P., & Young, J. 2001, ApJS, 135, 125 [NASA ADS] [CrossRef] (In the text)
- Krause, M., Fendt, C., & Neininger, N. 2007, A&A, 467, 1037 [NASA ADS] [CrossRef] [EDP Sciences] (In the text)
- Krips, M., Eckart, A., Neri, R., et al. 2005, A&A, 442, 479 [NASA ADS] [CrossRef] [EDP Sciences] (In the text)
- Krips, M., Eckart, A., Krichbaum, T. P., et al. 2007, A&A, 464, 553 [NASA ADS] [CrossRef] [EDP Sciences] (In the text)
- Kuno, N., Sato, N., Nakanishi, H., et al. 2007, PASJ, 59, 117 [NASA ADS] (In the text)
- Lindt-Krieg, E., Eckart, A., Neri, R., et al. 2008, A&A, 479, 377 [NASA ADS] [CrossRef] [EDP Sciences] (In the text)
- Maoz, D., Koratkar, A., Shields, J. C., et al. 1998, AJ, 116, 55 [NASA ADS] [CrossRef] (In the text)
- Maoz, D., Nagar, N. M., Falcke, H., & Wilson, A. S. 2005, ApJ, 625, 699 [NASA ADS] [CrossRef] (In the text)
- Márquez, I., Durret, F., Masegosa, J., et al. 2000, A&A, 360, 431 [NASA ADS] (In the text)
- Martini, P. 2004, in Coevolution of Black Holes and Galaxies, ed. L. C. Ho (Cambridge University Press), 170 (In the text)
- Mulchaey, J. S., & Regan, M. W. 1997, ApJ, 482, L135 [NASA ADS] [CrossRef] (In the text)
- Pahre, M. A., Ashby, M. L. N., Fazio, G. G., & Willner, S. P. 2004, ApJS, 154, 235 [NASA ADS] [CrossRef] (In the text)
- Palacios, J., Garcia-Vargas, M. L., Diaz, A., Terlevich, R., & Terlevich, E. 1997, A&A, 323, 749 [NASA ADS] (In the text)
- Paturel, G., Fang, Y., Petit, C., Garnier, R., & Rousseau, J. 2000, A&AS, 146, 19 [NASA ADS] [CrossRef] [EDP Sciences] (In the text)
- Pogge, R. W. 1989, ApJS, 71, 433 [NASA ADS] [CrossRef] (In the text)
- Pogge, R. W., Maoz, D., Ho, L. C., & Eracleous, M. 2000, ApJ, 532, 323 [NASA ADS] [CrossRef] (In the text)
- Regan, M. W., & Teuben, P. 2003, ApJ, 582, 723 [NASA ADS] [CrossRef] (In the text)
- Rubin, V. C., Waterman, A. H., & Kenney, J. D. P. 1999, AJ, 118, 236 [NASA ADS] [CrossRef] (In the text)
- Sellwood, J. A., & Sparke, L. S. 1988, MNRAS, 231, 25P [NASA ADS] (In the text)
- Sanders, D. B., Mazzarella, J. M., Kim, D.-C., Surace, J. A., & Soifer, B. T. 2003, AJ, 126, 1607 [NASA ADS] [CrossRef]
- Solomon, P. M., & Barrett, J. W. 1991, in Dynamics of Galaxies and their Molecular Cloud Distributions, ed. F. Combes, & F. Casoli (Kluwer Academic Publishers), from the IAU Symp., 146, 235 (In the text)
- Stauffer, J. R. 1982, ApJ, 262, 66 [NASA ADS] [CrossRef] (In the text)
- Terashima, Y., Ho, L. C., Ptak, A. F., et al. 2000, ApJ, 535, L79 [NASA ADS] [CrossRef] (In the text)
- Tully, R. B., & Fisher, J. R. 1988, Catalog of Nearby Galaxies, ed. R. B. Tully, & J. R. Fisher (Cambridge, UK: Cambridge University Press), 224 (In the text)
- Ulvestad, J. S., & Ho, L. C. 2001, ApJ, 562, L133 [NASA ADS] [CrossRef] (In the text)
- Vollmer, B., Braine, J., Balkowski, C., Cayatte, V., & Duschl, W. J. 2001, A&A, 374, 824 [NASA ADS] [CrossRef] [EDP Sciences] (In the text)
- Wada, K. 2004, in Coevolution of Black Holes and Galaxies, ed. L. C. Ho (Cambridge University Press), 187 (In the text)
- Young, C. K., & Currie, M. J. 1998, A&AS, 127, 367 [NASA ADS] [CrossRef] [EDP Sciences] (In the text)
Footnotes
- ... evolution
- Based on observations carried out with the IRAM Plateau de Bure Interferometer. IRAM is supported by INSU/CNRS (France), MPG (Germany) and IGN (Spain).
- ... archive
- Based on observations made with the NASA/ESA Hubble Space Telescope, obtained from the data archive at the Space Telescope Science Institute. STScI is operated by the Association of Universities for Research in Astronomy, Inc. under NASA contract NAS 5-26555.
- ... telescope
- Note that the two flux estimates are directly comparable as the FWHM of the FCRAO at 115 GHz is 45'', i.e., similar to the corresponding PdBI primary beam size at this frequency
- ... image
- The peak of Q1 at r
50-100 pc identified in Fig. 16a is an artifact created by the spatial smoothing performed to derive the large-scale representation of
,
and as such is unreliable.
- ...
NGC 4579
- Originally estimated by GB05 at r
200 pc.
All Tables
Table 1: Observational parameters of NGC 4579.
All Figures
![]() |
Figure 1:
a) ( Left panel) CO(1-0) line emission profiles observed with the IRAM 30 m telescope in NGC 4579. We have observed with a 5 |
| Open with DEXTER | |
| In the text | |
![]() |
Figure 2:
12CO velocity-channel maps observed with the PdBI in the nucleus of NGC 4579 with a spatial resolution of 2.0
|
| Open with DEXTER | |
| In the text | |
![]() |
Figure 3:
Same as Fig. 2 but for the 2-1 line of CO. Spatial resolution reaches 1.0
|
| Open with DEXTER | |
| In the text | |
![]() |
Figure 4: CO(1-0) line emission averaged over the area mapped with the 30 m telescope towards NGC 4579. |
| Open with DEXTER | |
| In the text | |
![]() |
Figure 5:
a) ( Left panel) The continuum map at 1 mm obtained with the PdBI (in contours from 20% to 100%, in steps of 10% of the maximum = 10 mJy beam-1) is overlaid on the VLA radio-continuum image at 6 cm (in grey scale) taken from Ho & Ulvestad (2001). The AGN is clearly identified with a non-thermal point source. (
|
| Open with DEXTER | |
| In the text | |
![]() |
Figure 6:
a) The CO(1-0) integrated intensity map obtained with the PdBI in the nucleus of NGC 4579. The map is shown in grey scale with contour levels 0.2, 0.5, 1, 1.7, 2.6, 3.7 and 5 Jy km s-1 beam-1. The filled ellipse at the bottom left corner represents the CO beam size. (
|
| Open with DEXTER | |
| In the text | |
![]() |
Figure 7:
a) The CO(1-0) integrated intensity map obtained with the PdBI (contour levels are 0.2, 0.5, 1.0, 1.7, 2.6, 3.7 and 5 Jy km s-1 beam-1) is overlaid on the V-I color image from HST (color scale) observed in the nucleus of NGC 4579. (
|
| Open with DEXTER | |
| In the text | |
![]() |
Figure 8:
a) ( Left panel) Same contours for the CO(2-1) line as in Fig. 7 overlaid on the [OIII] line color image from HST of Pogge et al. (2000) (color scale) observed in the nucleus of NGC 4579. Complexes N, N', E' and E are highlighted. b) ( Right panels) CO(2-1) line spectra observed towards complexes N, N', E' and E. Velocities are relative to
|
| Open with DEXTER | |
| In the text | |
![]() |
Figure 9:
CO(1-0) ( upper panel) and CO(2-1) ( lower panel) isovelocities contoured over false-color velocity maps. Velocities span the range (-200 km s-1, 200 km s-1) in steps of 25 km s-1. Velocity scale is relative to
|
| Open with DEXTER | |
| In the text | |
![]() |
Figure 10:
a) Position-velocity diagram of CO(1-0) along the mayor axis of NGC 4579 (PA = 95 |
| Open with DEXTER | |
| In the text | |
![]() |
Figure 11:
a) ( Upper panel) Rotation curve
|
| Open with DEXTER | |
| In the text | |
![]() |
Figure 12:
a) ( Upper panel) We overlay the H I intensity map obtained with the VLA (in contours from 0.04 to 0.28 in steps of 0.03 Jy km s-1 beam-1) on the K-band WHT image (color scale) obtained for the nucleus of NGC 4579; both images have been deprojected onto the galaxy plane. Units on X/Y axes (
|
| Open with DEXTER | |
| In the text | |
![]() |
Figure 13:
Same contours as in Fig. 7 overlaid on the H |
| Open with DEXTER | |
| In the text | |
![]() |
Figure 14:
a) ( Upper panel) Superposition of the H I intensity map (black contours), the 3.6 |
| Open with DEXTER | |
| In the text | |
![]() |
Figure 15:
a) ( Upper panel) The 12CO(2-1) integrated intensity map obtained with the PdBI (same contours as in Fig. 7) is overlaid on the UV image of the central region of NGC 4579 obtained with the ACS/HRC in the F330W band (in grey scale). b) ( Lower panel) The K-band contours are overlaid on the UV-image of the galaxy. To highlight the orientation of the bar and the oval, we show three ellipses fitted to the nuclear oval in the inner r < 100 pc (thick dashed contours); the orientation of the isophotes changes towards the outer region, as shown by the fitted ellipse at r |
| Open with DEXTER | |
| In the text | |
![]() |
Figure 16:
Strength (Q1, Q2 and QT) and phases ( |
| Open with DEXTER | |
| In the text | |
![]() |
Figure 17:
Same as Fig. 16d but zooming on the inner r |
| Open with DEXTER | |
| In the text | |
![]() |
Figure 18: a) ( Upper panel) We overlay the H I contours with the map of the (dimensionless) effective angular momentum variation, as defined in text. b) ( Middle panel) The same as a) but for CO(1-0). c) ( Lower panel) The same as a) but for CO(2-1). Maps are deprojected onto the galaxy plane. |
| Open with DEXTER | |
| In the text | |
![]() |
Figure 19:
The average fraction of the angular momentum transferred from/to the gas in one rotation -
|
| Open with DEXTER | |
| In the text | |
![]() |
Figure 20:
Same as Fig. 19, but here showing the results obtained for
|
| Open with DEXTER | |
| In the text | |
![]() |
Figure 21:
a) ( Upper panel) We represent the radial variation of the mass inflow(-) or outflow(+) rate of gas per unit radial length (
|
| Open with DEXTER | |
| In the text | |
![]() |
Figure 22: Same as Fig. 21 but here based on the gas distribution as derived from CO(1-0) data. |
| Open with DEXTER | |
| In the text | |
![]() |
Figure 23: Same as Fig. 21 but here based on the gas distribution as derived from CO(2-1) data. |
| Open with DEXTER | |
| In the text | |
Copyright ESO 2009
Current usage metrics show cumulative count of Article Views (full-text article views including HTML views, PDF and ePub downloads, according to the available data) and Abstracts Views on Vision4Press platform.
Data correspond to usage on the plateform after 2015. The current usage metrics is available 48-96 hours after online publication and is updated daily on week days.
Initial download of the metrics may take a while.
![\begin{figure}
\par\includegraphics[angle=-90,width=15.5cm,clip]{0640f1.eps}
\end{figure}](/articles/aa/full_html/2009/10/aa10640-08/Timg58.gif)
![\begin{figure}
\par\includegraphics[width=16cm,clip]{0640f2.eps}
\end{figure}](/articles/aa/full_html/2009/10/aa10640-08/Timg69.gif)
![\begin{figure}
\par\includegraphics[width=16cm,clip]{0640f3.eps}
\end{figure}](/articles/aa/full_html/2009/10/aa10640-08/Timg74.gif)
![\begin{figure}
\par\includegraphics[width=8cm,clip]{0640f4.eps}
\end{figure}](/articles/aa/full_html/2009/10/aa10640-08/Timg77.gif)
![\begin{figure}
\par\includegraphics[width=17.45cm,clip]{0640f5.eps}
\end{figure}](/articles/aa/full_html/2009/10/aa10640-08/Timg85.gif)
![\begin{figure}
\par\includegraphics[width=8.5cm,clip]{0640f6.eps}
\end{figure}](/articles/aa/full_html/2009/10/aa10640-08/Timg93.gif)
![\begin{figure}
\par\includegraphics[width=8.5cm,clip]{0640f7.eps}
\end{figure}](/articles/aa/full_html/2009/10/aa10640-08/Timg94.gif)
![\begin{figure}
\par\includegraphics[width=14.5cm,clip]{0640f8.eps}
\end{figure}](/articles/aa/full_html/2009/10/aa10640-08/Timg99.gif)
![\begin{figure}
\par\includegraphics[width=8.2cm,clip]{0640f9.eps}
\end{figure}](/articles/aa/full_html/2009/10/aa10640-08/Timg100.gif)

![\begin{figure}
\par\includegraphics[width=16.5cm,clip]{0640f10.eps}
\end{figure}](/articles/aa/full_html/2009/10/aa10640-08/Timg106.gif)
![\begin{figure}
\par\includegraphics[width=7.5cm,clip]{0640f12.eps}
\end{figure}](/articles/aa/full_html/2009/10/aa10640-08/Timg110.gif)
![\begin{figure}
\par\includegraphics[width=8.5cm,clip]{0640f13.eps}
\end{figure}](/articles/aa/full_html/2009/10/aa10640-08/Timg111.gif)
![\begin{figure}
\par\includegraphics[width=8.5cm,clip]{0640f14.eps}
\end{figure}](/articles/aa/full_html/2009/10/aa10640-08/Timg112.gif)
![\begin{figure}
\par\includegraphics[width=8.5cm,clip]{0640f15.eps}
\end{figure}](/articles/aa/full_html/2009/10/aa10640-08/Timg113.gif)
![\begin{figure}
\par\includegraphics[width=13.5cm,clip]{0640f16.eps}
\end{figure}](/articles/aa/full_html/2009/10/aa10640-08/Timg126.gif)






![\begin{figure}
\par\includegraphics[width=8.5cm,clip]{0640f17.eps}
\end{figure}](/articles/aa/full_html/2009/10/aa10640-08/Timg152.gif)
![\begin{figure}
\par\includegraphics[width=8.5cm,clip]{0640f18.eps}
\end{figure}](/articles/aa/full_html/2009/10/aa10640-08/Timg153.gif)
![\begin{figure}
\par\includegraphics[width=8.5cm,clip]{0640f19.eps}
\end{figure}](/articles/aa/full_html/2009/10/aa10640-08/Timg154.gif)
![\begin{figure}
\par\includegraphics[width=8.5cm,clip]{0640f20.eps}
\end{figure}](/articles/aa/full_html/2009/10/aa10640-08/Timg155.gif)
![\begin{figure}
\par\includegraphics[width=8.5cm,clip]{0640f21.eps}
\end{figure}](/articles/aa/full_html/2009/10/aa10640-08/Timg156.gif)
![\begin{figure}
\par\includegraphics[width=8.5cm,clip]{0640f22.eps}
\end{figure}](/articles/aa/full_html/2009/10/aa10640-08/Timg157.gif)
![\begin{figure}
\par\includegraphics[width=8.5cm,clip]{0640f23.eps}
\end{figure}](/articles/aa/full_html/2009/10/aa10640-08/Timg158.gif)