| Issue |
A&A
Volume 496, Number 1, March II 2009
|
|
|---|---|---|
| Page(s) | 25 - 30 | |
| Section | Cosmology (including clusters of galaxies) | |
| DOI | https://doi.org/10.1051/0004-6361/200811095 | |
| Published online | 30 January 2009 | |
An analysis of electron distributions in galaxy clusters by means of the flux ratio of iron lines FeXXV and XXVI
D. A. Prokhorov1,2 - F. Durret1 - V. Dogiel 3 - S. Colafrancesco4,5,6
1 - Institut d'Astrophysique de Paris, CNRS, UMR 7095,
Université Pierre et Marie Curie, 98bis Bd Arago, 75014
Paris, France
2 -
Moscow Institute of Physics and Technology,
Institutskii lane, 141700 Moscow Region, Dolgoprudnii, Russia
3 -
Lebedev Physical Institute, 117924 Moscow, Russia
4 -
ASI Science Data Center, ASDC c/o ESRIN,
via G. Galilei 00044 Frascati, Italy
5 -
ASI, Viale Liegi 26, Roma, Italy
6 -
INAF - Osservatorio Astronomico di Roma,
via Frascati 33, 00040 Monteporzio, Italy
Received 6 October 2008 / Accepted 5 December 2008
Abstract
Aims. The interpretation of hard X-ray emission from galaxy clusters is still ambiguous and different proposed models can be probed using various observational methods. Here we explore a new method based on Fe-line observations.
Methods. Spectral-line emissivities have usually been calculated by assuming a Maxwellian electron distribution. In this paper, a generalized approach to calculating the iron-line flux for a modified Maxwellian distribution is considered.
Results. We calculated the flux ratio of iron lines for various possible populations of electrons proposed to account for measurements of hard X-ray excess-emission from the clusters A2199 and Coma. We found that the influence of the suprathermal electron population on the flux ratio is more significant in low temperature clusters (as Abell 2199) than in high temperature clusters (as Coma).
Key words: radiation mechanisms: non-thermal - galaxies: clusters: general - X-rays: galaxies: clusters
1 Introduction
Observations with BeppoSAX have detected hard X-ray tails in the X-ray spectra of some galaxy clusters such as the Coma cluster (Fusco-Femiano et al. 1999) and Abell 2199 (Kaastra et al. 1998, 1999). These tails, which have been reproduced by power-law spectra, are in excess of the thermal bremsstrahlung X-ray emission from the hot intracluster medium (ICM). The evidence and the nature of hard tails in these and other clusters was discussed by Rephaeli et al. (2008). The hard X-ray fluxes from galaxy clusters are usually interpreted as being due to either inverse Compton scattering (ICS) of relativistic electrons on relic photons (Sarazin & Lieu 1998) or as bremsstrahlung emission from nonthermal, subrelativistic electrons (see e.g. Sarazin & Kempner 2000), or from thermal electrons with a Maxwellian spectrum distorted by the particle acceleration mechanism (Dogiel 2000; Dogiel et al. 2007).
The more traditional interpretation based on the ICS emission from
a relativistic, electron population faces a serious problem. The
combination of hard X-ray and radio observations of the Coma
cluster within the ICS model is a strong indication of a low
magnetic-field strength,
G, much lower than the
values derived from Faraday rotation measurements (see e.g. Clarke
et al. 2001). The situation in Abell 2199 is more extreme because
no extended, diffuse, radio emission is detected from this
cluster. The discovery of the hard X-ray emission of the cluster
A2199 implies a weak ICM magnetic field of ![]()
G, if
the hard X-ray emission is ICS (Kempner & Sarazin 2000).
Bremsstrahlung radiation from suprathermal electrons with energies higher than 10 keV (nonthermal electrons or thermal electrons with a distorted Maxwellian spectrum) may explain the hard X-ray excess emission observed in the Coma cluster and Abell 2199 (e.g. Sarazin & Kempner 2000; Dogiel 2000). This is an alternative to the traditional but problematic inverse Compton scattering interpretation. These subrelativistic electrons would form a particle population in excess of that of the thermal gas. A possible explanation for this population would be that they are particles being accelerated to higher energies, either by intracluster shocks or by turbulence in the ICM (e.g. Dogiel 2000).
The most reliable way resolving whether the observed hard X-rays are due to ICS or are evidence of a modified thermal distribution in clusters is to probe such a distribution directly.
The Sunyaev-Zel'dovich (SZ) effect signal, the spectrum of which depends on the electron distribution function in clusters of galaxies, can be used to discriminate among different interpretations of the X-ray excess (Colafrancesco 2007; Dogiel et al. 2007). A study of the influence of suprathermal electrons on the SZ effect was completed for the Coma and Abell 2199 clusters by Blasi et al. (2000) and Shimon & Rephaeli (2002). However, realistical models of suprathermal electrons in Coma and Abell 2199 predict a spectral distortion of the cosmic microwave background radiation due to these electrons that is only a small fraction of the corresponding SZ effect produced by the hot intracluster gas (see e.g. Shimon & Rephaeli 2002; Dogiel et al. 2007). Therefore, the observation of the impact of suprathermal electrons on the cosmic microwave background will be challenging from the experimental side (see Dogiel et al. 2007).
In this paper, we consider a new way of discriminating between the
different interpretations of the X-ray excess, namely the flux
ratio of the emission lines due to FeK
transitions: FeXXV
(helium-like) and FeXXVI (hydrogen-like). This flux ratio is
extremely sensitive to the population of electrons with energies
higher than the ionization potential of a FeXXV ion (which is
8.8 keV) and is a promising tool for revealing the
presence of suprathermal electrons in galaxy clusters.
A generalized approach to calculating iron line fluxes is
considered in Sect. 2. The flux ratio of the emission lines due to
the FeK
transitions is calculated for the modified thermal
distributions in the clusters Abell 2199 and Coma in Sect. 3. The
possibility of separating the thermal and non-thermal components
by using the shape of the bremsstrahlung continuum spectrum is
discussed in Sect. 4. We draw our conclusions in Sect. 5.
2 The flux ratio of the FeXXV and XXVI iron lines
Since the fluxes of the FeXXV and FeXXVI lines have the same dependence on the metal abundance, as well as on the emission measure, their ratio is independent of these parameters. This iron line ratio can therefore be used to determine the temperature of the intracluster gas (e.g. Nevalainen et al. 2003). In this section, we propose a generalized approach to calculate the iron-line flux ratio for modified Maxwellian electron distributions.
2.1 Ionization and recombination rates
The ionization rates, recombination rates, and emissivity in a spectral line have usually been calculated for a Maxwellian electron distribution (e.g. Arnaud & Raymond 1992). However, in many low-density astrophysical plasmas, the electron distribution may differ from a Maxwellian distribution. The influence of the shape of the electron distribution on the ionization and recombination rates in various physical conditions was examined by Porquet et al. (2001).
A Maxwellian distribution is generally assumed to describe the electron distribution in galaxy clusters. The modified Maxwellian electron distributions that are expected in galaxy clusters with a hard X-ray excess seem to be described reasonably by a Maxwellian distribution at low energy and by a power-law distribution at higher energy (e.g. Sarazin & Kempner 2000).
It is convenient to express the electron distribution in terms of
the reduced energy x=E/kT:
| (1) |
where
We consider a collisional process with cross section
,
varying with the energy E of the incident electron. The
corresponding rate coefficient
(cm3 s-1), either
for a Maxwellian distribution or a modified thermal distribution,
f(x), is obtained by averaging the product of the cross section
by the electron velocity over the electron distribution function:
![]() |
(2) |
where
For recombination processes, no threshold energy is involved and
.
The rates are denoted by
,
and
for the
ionization, radiative and dielectronic recombination-processes,
respectively, for a Maxwellian electron distribution.
In equilibrium, the ionic fractions do not depend on the electron
density, and the ionic fraction ratio
of two adjacent
stages FeXXV and FeXXVI for a Maxwellian distribution can be
expressed by:
![]() |
(3) |
where
For the direct ionization cross-section of FeXXV, we use the
parametric formula in Arnaud & Rothenflug (1985):
![]() |
(4) |
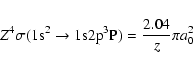
where u=E/Ij, Uj=1-1/uj, E is the incident electron energy, and Ij is the collisional ionization potential for the level j considered.
The sum is performed over the subshells j of the ionized ion, and for the ion FeXXV, the 1s subshell is considered (Arnaud & Raymond 1992). The parameters A, B, C, and D (in units of 10-14 cm2 eV2) and I (in eV) are taken from Arnaud & Raymond (1992). The autoionization process of the FeXXV ion can be neglected (Arnaud & Raymond 1992).
The ratio of the ionization rate in a modified Maxwellian
distribution to that for a Maxwellian distribution is:
![]() |
(5) |
where
The recombination of a free electron can proceed either by means
of a radiative free-bound transition
or by a
radiationless dielectronic recombination.
The radiative recombination rates are less affected by a modified
thermal distribution than the ionization rates, since the cross
section for recombination decreases with energy and there is no
threshold. To estimate the radiative recombination-rate ratio, we
follow the methods used by Owocki & Scudder (1983) and Porquet et al. (2001). The ratio of the radiative recombination rate in a
modified Maxwellian distribution to that for a Maxwellian
distribution is:
Following the method of Porquet et al. (2001), we used the value
The dielectronic recombination is a resonant process involving
bound states at discrete energies Ei and can be computed by
summing the contribution of many such bound states. Following the
method used by Owocki & Scudder (1983), we assume that the
corresponding dielectronic recombination cross section can be
approximated by:
![]() |
(7) |
where
The ratio of the dielectronic recombination rate in a modified
Maxwellian distribution to that in a Maxwellian distribution is:
![]() |
(8) |
For the ion FeXXVI, there is one bound state of energy E1=5.3 keV. If the break energy up to which the electron distribution is Maxwellian is higher than this bound state energy, then the dielectronic recombination rate is not influenced by the suprathermal electrons.
Thus, the ionic fraction ratio
of two adjacent
stages FeXXV and FeXXVI for a modified Maxwellian distribution can
be written as:
![]() |
(9) |
2.2 Excitation rates and iron line flux ratio
In the coronal model (see e.g. Mewe 1999), the line spectrum is
dominated by radiative decay following electron impact excitation,
plus a smaller contribution of recombination lines. We assume here
that all iron ions that are to be excited are in the ground state
(see e.g. Mewe & Gronenschild 1981). Considering only the
dominant process of collisional excitation (Tatischeff 2003), the
volume emissivity
(in units of photons cm-3 s-1) of a particular line transition
in an ion Fe+i can be written as
where
The excitation rates
are
functionals that are calculated by averaging the product of the
corresponding cross section and electron velocity over the
electron distribution functions f(x):
![]() |
(11) |
where
The emission lines due to FeK
transitions of ions FeXXV
and FeXXVI are at 6.7 keV and 6.9 keV, respectively. Ions with
closed-shell configurations are more stable than those with
partially filled shells; thus, He-like FeXXV, whose ground state
is 1s2, is dominant over a large temperature range, because its
ionization rate is relatively low compared to those of adjacent
ions (e.g. Arnaud & Raymond 1992). The strongest line emission is
then the He-like FeK
line complex at 6.7 keV, which
corresponds to the transitions
,
,
.
At high temperatures (e.g.,
kT=8 keV), the hydrogen-like iron line (
transition) at 6.9 keV also becomes intense.
The electron-impact-excitation-scaled cross-sections of the
helium-like ion FeXXV (including impact excitation from
to
,
,
levels) are taken from the article
of Bazylev & Chibisov (1981):
![]() |
(12) |
![]() |
(13) |
![]() |
(14) |
where a0 is the Bohr radius, z is the incident electron energy in threshold units, and Z is the ion nuclear charge.
The electron-impact-excitation-scaled cross-section for the
hydrogen-like ion FeXXVI is taken from the paper of Fisher et al.
(1997):
![]() |
(15) |
There are also contributions from excitations to higher levels, which may radiatively decay to the upper levels of the He-like triplet and H-like doublet. These so-called cascade effects cannot generally be ignored. The electron-impact-excitation-scaled cross-sections of an iron ion from its ground state to the higher levels are taken from the article of Bazylev & Chibisov (1981).
Taking into account electron-impact-excitation, the flux ratio of
the iron lines FeXXV and FeXXVI is then
![]() |
(16) |
where the volume emissivities
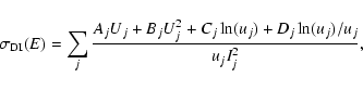
According to Eq. (10), the expression for the flux ratio in
terms of ionic fractions and excitation rates is given by
![]() |
(17) |
where the rate coefficients are
![]() |
(18) |
All necessary transition probabilities Aac are taken from Ralchenko et al. (2008).
However, in plasmas in collisional ionization equilibrium,
radiative recombination contributes about 10% of the total line
flux. We calculated the rate coefficients for the contribution of
radiative recombination to spectral-line formation with Eq. (A.9)
in Mewe et al. (1985). The influence of the suprathermal, electron
population on the radiative recombination rates was described by
Owocki & Scudder (1983) (see Eq. (6)). Although, as
noted below, the ratio of the radiative recombination rates
depends slightly on the presence of suprathermal
electrons in the spectrum, the ionic fractions of FeXXVI and of
FeXXVII, and, therefore, the line emissivities vary with the
presence of suprathermal electrons.
Taking into account both electron-impact-excitation and radiative
recombination the line flux ratio is given by
![]() |
(19) |
where
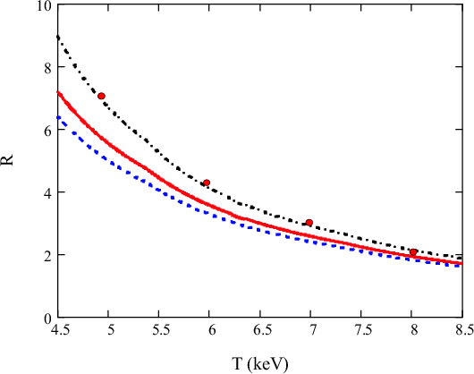
Figure 1 shows the iron-line flux ratios for the pure Maxwellian distribution calculated in this section (dot-dashed line) and those obtained from the MEKAL model (points) by Nevalainen et al. (2003).
3 An analysis of electron spectra in clusters
Bremsstrahlung from suprathermal electrons has been invoked as a possible explanation for hard X-ray tails in the X-ray spectra of some galaxy clusters. In this section, we calculate the impact of suprathermal electrons on the FeXXV and FeXXVI emission-line flux ratio in the clusters A2199 and Coma.
![]() |
Figure 1:
Iron-line flux ratios R for a Maxwellian electron
distribution (dot-dashed line), a modified Maxwellian distribution
|
| Open with DEXTER | |
3.1 The galaxy cluster Abell 2199
A2199 is a bright cluster at redshift z=0.03. Its average gas
temperature is kT=4.7 keV (Kaastra et al. 1999). Spatially
resolved spectroscopy indicates a hard tail in the X-ray spectrum
of this galaxy cluster (Kaastra et al. 1998). To understand the
nature of this hard tail, Sarazin & Kempner (2000) applied a
non-thermal bremsstrahlung model with an electron distribution
function
given by:
| |
= | ||
| = | (20) |
where
The ratio of the radiative recombination rates
(see Eq. (6)) is 1.013 for the
electron distribution function
.
Since
the break energy of 3kT is higher than the bound-state energy 5.3 keV for the cluster temperature, the ratio of the dielectronic
recombination rates is 1. Therefore, the recombination rates are
not affected by suprathermal electrons.
In Fig. 1, we compare the flux ratios R for a Maxwellian
electron distribution (dot-dashed line) and for a modified
Maxwellian distribution
(dashed line) in
the temperature range 4.5 keV
< kT < 8.5 keV.
For the galaxy cluster A2199 (kT=4.7 keV), the flux ratio R for a
modified Maxwellian distribution
decreases
by ![]()
with respect to the case of a Maxwellian
distribution. This value of the flux ratio would correspond to a
thermal, electron spectrum (i.e. without suprathermal electrons)
with an effective temperature of kT = 5.4 keV.
3.2 The Coma cluster
The Coma cluster is a rich, hot, nearby (z=0.02) galaxy cluster. Its average temperature is kT=8.2 keV as derived from XMM-Newton observations (Arnaud et al. 2001).
Hard X-ray radiation was detected in excess of thermal emission in the Coma cluster by its first Beppo-SAX observation (Fusco-Femiano et al. 1999), and confirmed by a second independent observation after a time interval of about 3 yr (Fusco-Femiano et al. 2004). The reliability of the Fusco-Femiano et al. (1999, 2004) analyses was discussed further by Rossetti & Molendi (2004, 2007) and by Fusco-Femiano et al. (2007).
The presence of a second component in the X-ray spectrum of the Coma cluster was also derived from two RXTE observations (Rephaeli & Gruber 2002).
The spectrum of background and accelerated electrons was found by Gurevich
(1960) from a kinetic equation describing stochastic particle acceleration:
where the parameter
The ratio of the radiative recombination rates
(see Eq. (6)) is 1.01 for the
electron distribution function
.
For
values kT in the range 4.5-8.5 keV, the values of
are found in the range 1.0005-1.0025.
Therefore, the recombination rates are unaffected by suprathermal
electrons.
In Fig. 1, we compare the flux ratios R for the Maxwellian
electron distribution (dot-dashed line) and the modified
Maxwellian distribution
(solid line) in
the temperature range 4.5 keV <kT< 8.5 keV.
For the Coma cluster (kT=8.2 keV), the flux ratio R for a
modified Maxwellian distribution
decreases
by ![]()
with respect to the case of a Maxwellian
distribution. This value of the flux ratio would correspond to a
thermal, electron spectrum (i.e. without suprathermal electrons)
with the effective temperature of kT = 8.6 keV.
3.3 A synthetic low temperature cluster
In Sects. 3.1 and 3.2, iron-line flux ratios were calculated for
low-temperature and high-temperature galaxy clusters (Abell 2199
and Coma respectively). As shown in Fig. 1, the impact of a
suprathermal, electron population on the iron-line flux ratio is
stronger in low-temperature clusters. For a specific example we
demonstrate how the effective temperature inferred from the flux
ratio of the iron lines can yield important constraints on the
fraction of suprathermal electrons. For this purpose, a synthetic
cluster with temperature kT=4.7 keV and an electron distribution
function
is considered. The dependence of
the effective temperature on the fraction of suprathermal
electrons is shown in Fig. 2.
![]() |
Figure 2: Dependence of the effective temperature kT (given in units of keV) on the fraction of suprathermal electrons in a cluster of temperature 4.7 keV. |
| Open with DEXTER | |
Since the effective temperature varies significantly with the suprathermal, electron fraction, the iron flux ratio can be used to reveal a suprathermal, electron population in low temperature clusters and in cluster cool cores.
4 The continuum spectrum
Non-thermal electrons change the flux ratio R and lead to an apparently higher temperature derived from the iron line ratio (i.e. the effective temperature, see Sect. 3 and Fig. 2). Alternatively, the temperature can be measured from the bremsstrahlung-spectrum curvature. However, in the presence of non-thermal electrons, these same electrons will also generate non-thermal bremsstrahlung, which alters the shape of the continuum spectrum. We present a method for determining the temperature of the thermal part of a more complex electron distribution from the bremsstrahlung spectrum. A disagreement between both temperatures will depend on the strength of the non-thermal electron component.
To separate the contributions of thermal (low-energy) and non-thermal (high-energy) electron components to the bremsstrahlung spectrum, we study the features of the energy flux spectrum.
The bremsstrahlung energy flux can be given by
where V is the cluster volume, d is the distance to the galaxy cluster, and
An analysis of RXTE measurements of the Coma cluster (Rephaeli &
Gruber 2002) provided evidence of the presence of a second
spectral component at energies up to
20 keV, since the fit
for a single isothermal model was of poor quality. When a second
thermal component was added, the best-fit temperatures of the
primary and secondary components were then
kT1=7.5 keV and
the very high value
keV. The contribution of
the second component
to the low-energy continuum spectrum
is flat as noted above. Therefore, the thermal and non-thermal
components can, in principle, be separated by studying the shape
of the continuum spectrum.
From Eq. (22), we calculated the energy fluxes
of the Coma cluster in the range 4-20 keV
for a Maxwellian electron distribution and for a modified
Maxwellian distribution
,
as shown in Fig. 3. The values of the cluster parameters (e.g. temperature, and
density) were taken from Dogiel (2000). The difference between the
total 4-20 keV fluxes (i.e. the total 4-20 keV flux of the second
spectral component) was
7%. The spectral components must
be separated to obtain the temperature from the bremsstrahlung,
continuum spectrum.
![]() |
Figure 3:
The energy flux
|
| Open with DEXTER | |
5 Conclusions
We have shown in this paper that the iron-line flux ratio depends on the presence of suprathermal electrons proposed to account for measurements of hard X-ray excess emission from galaxy clusters. The influence of the energetic, suprathermal, electron population on the iron-line flux ratio is more significant in low temperature clusters (such as Abell 2199) than in high temperature clusters (as Coma) because the fraction of thermal electrons with energies higher than the helium-like iron ionization-potential in low temperature clusters is smaller than that in high temperature clusters.
Since the decrease in the flux ratio of He-like
to
H-like
lines is expected for modified Maxwellian
distributions in A2199 and Coma with respect to the case of a
Maxwellian distribution, the observation of the flux ratio is a tool
for testing the nonthermal, electron, bremsstrahlung model, and
discriminating between different interpretations of the X-ray
excess. To demonstrate the presence and measure the strength of
the non-thermal electron component, we propose comparing the
temperatures obtained from the iron-line flux ratio and the
low-energy continuum spectrum.
The spectral resolution of XMM-Newton is sufficient for measuring
the flux ratio of the iron lines in hot temperature clusters. The
constraint of the flux ratio for Coma within a radius 5
is
1.6+0.9-0.6 (Nevalainen et al. 2003). However, the
XMM-Newton sensitivity in this high-temperature regime is
insufficient to reveal the contribution from suprathermal
electrons in the Coma cluster (see Fig. 1).
At low temperatures (e.g. kT<5 keV), the FeXXVI line is weak and is below the noise level of the available XMM-Newton data (Nevalainen et al. 2003). Therefore, the iron-line flux ratio cannot be measured by XMM-Newton in cooler clusters. On the other hand, the flux ratio of the iron lines in low temperature clusters is measurable with data from XMM-Newton, if the fraction of suprathermal electrons is sufficiently high (see Fig. 2).
Suzaku is also able to measure these two Fe lines in hot clusters due to its good spectral resolution (e.g. Fujita et al. 2008).
We have considered the He-like triplet and the H-like doublet iron
lines in this paper. Although XMM-Newton and Suzaku can
distinguish the He-like from the H-like complex, their spectral
resolution of
100 eV causes that the observed line features
do not only consist of the pure He-like triplet and H-like
doublet, but each of these is blended with a multitude of
satellite lines (e.g. Gabriel 1972; Dubau et al. 1981). For
instance, for a temperature of 4.5 keV, about
30% of the
flux from both line complexes is due to these satellite lines. To
analyse the influence of satellite lines on the measurement
precision of the iron-line flux ratio, we calculated the flux
ratio
of the two (6.6-6.7 keV) and (6.9-7.0 keV) blends
using a line list
,
and found that in the temperature range [4.5-8.5 keV] the values
of R and
differ by less than 5%.
Therefore, the blend flux ratio
as well
as the ratio R can be used to measure the temperature in this
temperature range.
The autoionizing levels responsible for the satellites are excited
by electrons at precisely the energies
(see
Eq. (40) from Mewe & Gronenschild 1981) corresponding to those
levels. Since the energies
are lower than the energy
at which the electron distributions in the Abell 2199 and Coma clusters deviate from a Maxwellian distribution, the
exciting electrons belong to the thermal part of the electron
distribution. Taking into account this fact and the dependence of
the ionicfractions on the distribution function (see Sect. 2.1),
we estimate that the decreases in the flux ratios
for
modified Maxwellian distributions in A2199 and Coma with respect
to a Maxwellian distribution are 30% and 10%, respectively.
New high-spectral-resolution instruments with higher sensitivity,
such as XEUS, are needed to resolve the lines and measure the flux
ratio of the iron
lines with the purpose of testing
these hard X-ray tail interpretations.
Acknowledgements
We are grateful to Jelle Kaastra and Jean-Luc Sauvageot for valuable discussions and to the referee for constructive comments.
D.P. and V.D. are partly supported by the RFBR grant 08-02-00170-a, the NSC-RFBR Joint Research Project 95WFA0700088 and by the grant of the President of the Russian Federation ``Scientific School of Academician V. L. Ginzburg''.
References
- Arnaud, M., & Rothenflug, R. 1985, A&AS, 60, 425 [NASA ADS] (In the text)
- Arnaud, M., & Raymond, J. 1992, ApJ, 398, 394 [NASA ADS] [CrossRef] (In the text)
- Arnaud, M., Aghanim, N., Gastaud, R., et al. 2001, A&A, 365, L67 [NASA ADS] [CrossRef] [EDP Sciences] (In the text)
- Bazylev, V. A., & Chibisov, M. I. 1981, Sov. Phys. Usp., 4, 617 (In the text)
- Blasi, P., Olinto, A. V., & Stebbins, A. 2000, ApJ, 535, L71 [NASA ADS] [CrossRef] (In the text)
- Clarke, T. E., Kronberg, P. P., & Böhringer, H. 2001, ApJ, 547, L111 [NASA ADS] [CrossRef] (In the text)
- Colafrancesco, S. 2007, NewAR, 51, 394 [NASA ADS] [CrossRef] (In the text)
- Dogiel, V. A. 2000, A&A, 357, 66 [NASA ADS] (In the text)
- Dogiel, V. A., Colafrancesco, S., Ko, C. M., et al. 2007, 461, 433 (In the text)
- Dubau, J., Gabriel, A. H., Loulergue, M., et al. 1981, MNRAS, 195, 705 [NASA ADS] (In the text)
- Fisher, V. I., Ralchenko, Yu. V., Bernshtam, V., et al. 1997, Phys. Rev. A, 55 [CrossRef] 329 (In the text)
- Fujita, Y., Hayashida, K., Nagai, M., et al. 2008, PASJ, 60, 1133 [NASA ADS] (In the text)
- Fusco-Femiano, R., Dal Fiume, D., Feretti, L., et al. 1999, ApJ, 513, L21 [NASA ADS] [CrossRef] (In the text)
- Fusco-Femiano, R., Orlandini, M., Brunetti, G., et al. 2004, ApJ, 602, L73 [NASA ADS] [CrossRef] (In the text)
- Fusco-Femiano, R., Landi, R., & Orlandini, M. 2007, ApJ, 654, L9 [NASA ADS] [CrossRef] (In the text)
- Gabriel, A. H. 1972, MNRAS, 160, 99 [NASA ADS] (In the text)
- Ginzburg, V. L. 1979, Theoretical physics and astrophysics (Pergamon Press) (In the text)
- Gurevich, A. V. 1960, Sov. Phys. JETP, 38, 1150 (In the text)
- Hayakawa, S. 1969, Cosmic Ray Physics (Wiley)
- Kaastra, J. S., Bleeker, J. A. M., & Mewe, R. 1998, Nucl. Phys. B, 69, 567 (In the text)
- Kaastra, J. S., Lieu, R., Mittaz, J. P. D., et al. 1999, ApJ, 519, L119 [NASA ADS] [CrossRef] (In the text)
- Kempner, J. C., & Sarazin, C. L. 2000, ApJ, 530, 282 [NASA ADS] [CrossRef] (In the text)
- Mewe, R., Gronenschild, E. H. B. M. 1981, ApSS, 45, 11 [NASA ADS] (In the text)
- Mewe, R., Gronenschild, E. H. B. M., & van den Oord, G. H. J. 1985, ApSS, 62, 197 [NASA ADS] (In the text)
- Mewe, R. 1999, in X-ray Spectroscopy in Astrophysics (Springer-Verlag), 109 (In the text)
- Nevalainen, J., Lieu, R., Bonamente, M., et al. 2003, ApJ, 584, 716 [NASA ADS] [CrossRef] (In the text)
- Owocki, S. P., & Scudder, J. D. 1983, ApJ, 270, 758 [NASA ADS] [CrossRef] (In the text)
- Porquet, D., Arnaud, M., & Decourchelle, A. 2001, A&A, 373, 1110 [NASA ADS] [CrossRef] [EDP Sciences] (In the text)
- Petrosian, V. 2001, ApJ, 557, 560 [NASA ADS] [CrossRef]
- Ralchenko, Yu., Kramida, A. E., Reader, J., et al. 2008, NIST Atomic Spectra Database (version 3.1.5), http://physics.nist.gov/asd3 (In the text)
- Rephaeli, Y., & Gruber, D. E. 2002, ApJ, 579, 587 [NASA ADS] [CrossRef] (In the text)
- Rephaeli, Y., Nevalainen, J., Ohashi, T., et al. 2008, SSRv, 134, 71 [NASA ADS] (In the text)
- Rossetti, M., & Molendi, S. 2004, A&A, 414, 41 [NASA ADS] [CrossRef] (In the text)
- Rossetti, M., & Molendi, S. 2007 [arXiv:astro-ph/0702417] (In the text)
- Sarazin, C. L., & Lieu, R. 1998, ApJ, 494, L177 [NASA ADS] [CrossRef] (In the text)
- Sarazin, C. L., & Kempner, J. C. 2000, ApJ, 533, 73 [NASA ADS] [CrossRef] (In the text)
- Shimon, M., & Rephaeli, Y. 2002, ApJ, 575, 12 [NASA ADS] [CrossRef] (In the text)
- Tatischeff, V. 2003, EAS Pub. Ser., 7, 79 [CrossRef] (In the text)
Footnotes
All Figures
![]() |
Figure 1:
Iron-line flux ratios R for a Maxwellian electron
distribution (dot-dashed line), a modified Maxwellian distribution
|
| Open with DEXTER | |
| In the text | |
![]() |
Figure 2: Dependence of the effective temperature kT (given in units of keV) on the fraction of suprathermal electrons in a cluster of temperature 4.7 keV. |
| Open with DEXTER | |
| In the text | |
![]() |
Figure 3:
The energy flux
|
| Open with DEXTER | |
| In the text | |
Copyright ESO 2009
Current usage metrics show cumulative count of Article Views (full-text article views including HTML views, PDF and ePub downloads, according to the available data) and Abstracts Views on Vision4Press platform.
Data correspond to usage on the plateform after 2015. The current usage metrics is available 48-96 hours after online publication and is updated daily on week days.
Initial download of the metrics may take a while.









![\begin{displaymath}S^{ga}_{{\rm Fe}^{+i}}[f(x)] =
\left(\frac{2kT}{m_{{\rm e}}}\...
...x^{1/2}\sigma^{{\rm Fe}^{+i}}_{{\rm ex}}(x k T) f(x) {\rm d}x,
\end{displaymath}](/articles/aa/full_html/2009/10/aa11095-08/img46.gif)








![\begin{figure}
\par\includegraphics[width=7.5cm,clip]{1095fig1.eps}
\end{figure}](/articles/aa/full_html/2009/10/aa11095-08/Timg77.gif)

![\begin{figure}
\par\includegraphics[width=7.5cm,clip]{1095fig2.eps}
\end{figure}](/articles/aa/full_html/2009/10/aa11095-08/Timg91.gif)

![\begin{figure}
\par\includegraphics[width=7.5cm,clip]{1095fig3.eps}
\end{figure}](/articles/aa/full_html/2009/10/aa11095-08/Timg106.gif)