| Issue | 
											A&A
									 Volume 496, Number 2, March III 2009				 | |
|---|---|---|
| Page(s) | 521 - 526 | |
| Section | Planets and planetary systems | |
| DOI | https://doi.org/10.1051/0004-6361:200810774 | |
| Published online | 14 January 2009 | |
The HARPS search for southern extra-solar planets
XVI. HD 45364, a pair of planets in a 3:2 mean motion resonance![[*]](/icons/foot_motif.gif) ,
,![[*]](/icons/foot_motif.gif)
A. C. M. Correia1 - S. Udry2 - M. Mayor2 - W. Benz3 - J.-L. Bertaux4 - F. Bouchy5 - J. Laskar6 - C. Lovis2 - C. Mordasini3 - F. Pepe2 - D. Queloz2
1 - Departamento de Física, Universidade de Aveiro, Campus de
  Santiago, 3810-193 Aveiro, Portugal  
  
  
2 - Observatoire de Genève, Université de Genève, 51 ch.
  des Maillettes, 1290 Sauverny,  Switzerland  
  
  
3 - Physikalisches Institut, Universität Bern, Silderstrasse 5, 
3012 Bern, Switzerland 
4 - Service d'Aéronomie du CNRS/IPSL, Université de Versailles
  Saint-Quentin, BP3, 91371 Verrières-le-Buisson, France 
5 - Institut d'Astrophysique de Paris, CNRS, Université Pierre et Marie Curie, 98bis Bd Arago, 75014 Paris, France 
  
6 - IMCCE, CNRS-UMR8028, Observatoire de Paris, UPMC, 77 avenue Denfert-Rochereau, 75014 Paris, France
Received 8 August 2008 / Accepted 6 November 2008
Abstract
Precise radial-velocity measurements with the   HARPS spectrograph
  reveal the presence of two planets orbiting the solar-type star HD 45364.
  The companion masses are 
 and
and 
 ,
  with semi-major axes of a=0.681 AU and 0.897 AU, and eccentricities of
  e=0.168 and 0.097, respectively. A dynamical analysis of the system further
  shows a 3:2 mean motion resonance between the two planets, which prevents close
  encounters and ensures the stability of the system over 5 Gyr. This is the first
  time that such a resonant configuration has been observed for extra-solar planets,
  although there is an analogue in our Solar System formed by Neptune and Pluto. This
  singular planetary system may provide important constraints on planetary formation
  and migration scenarios.
,
  with semi-major axes of a=0.681 AU and 0.897 AU, and eccentricities of
  e=0.168 and 0.097, respectively. A dynamical analysis of the system further
  shows a 3:2 mean motion resonance between the two planets, which prevents close
  encounters and ensures the stability of the system over 5 Gyr. This is the first
  time that such a resonant configuration has been observed for extra-solar planets,
  although there is an analogue in our Solar System formed by Neptune and Pluto. This
  singular planetary system may provide important constraints on planetary formation
  and migration scenarios.
Key words: stars: individual: HD 45364 - stars: planetary systems - techniques: radial velocities - methods: observational
1 Introduction
At present, about 25% of the known exoplanets are in multi-planetary systems. The older the radial-velocity planet-search surveys, the higher the fraction of multi-planet families detected in these programs. Taking into account the still strong bias against long-period and/or low-mass planet detection, and the enhanced difficulty of fully characterizing systems with more than one planet, the fraction of known multi-planet systems is certainly still a lower limit. It appears likely that a high number, if not the majority, of planet-host stars form systems of planets rather than isolated, single planetary companions.
Among the known multi-planet systems, a significant fraction are in mean motion resonances, the majority of which are in low-order resonances. The 2:1 resonance is the most common (HD 73526, HD 82943, HD 128311, GJ 876), but other configurations are observed as well, such as the 3:1 resonance in HD 75732 or the 5:1 resonance in HD 202206. These resonances most probably arise from evolutionary processes as migrating planets forming in the protoplanetary disc become trapped. In our Solar System, we also find mean motion resonances in the satellites of the giant planets, or between these planets and several asteroids. The most well-known example is the Io-Europa-Ganymede system in a 4:2:1 resonance, or the Neptune-Pluto system in a 3:2 resonance. While the satellites are believed to achieve resonant configurations after tidal evolution of their orbits, the resonances between planets and asteroids were probably formed after the inward or outward migration of the planets during the early stages of the evolution of the Solar System.
The presence of two or more interacting planets in a system dramatically increases our potential ability to constrain and understand the processes of planetary formation and evolution. The dynamical analysis of such systems is then very useful, first for constraining the system evolution history and second for determining the system ``structure'' in terms of orbital content.
Multi-planet systems are naturally found in planet-search programs. However, improving the precision of the radial-velocity measurements greatly helps their detection and complete characterization. The HARPS search for southern extra-solar planet is an extensive radial-velocity survey of some 2000 stars of the solar neighborhood conducted with the HARPS spectrograph on the ESO 3.6-m telescope at La Silla (Chile) in the framework of the Guaranteed Time Observations granted to the HARPS building consortium (Mayor et al. 2003). About half of the HARPS GTO time is dedicated to very high-precision measurements of non-active stars selected from the CORALIE planet-search program (Udry et al. 2000) and stars with already known giant planets, while searching for lower mass companions. This program reveals itself as very efficient in finding multi-Neptune (Lovis et al. 2006) and multi-Super Earth systems (Mayor et al. 2009).
From the HARPS high-precision survey, we present an interesting system of two planets in a 3:2 mean motion resonance around HD 45364, a configuration not observed previously among extra-solar planet, but similar to the Neptune-Pluto pair in the Solar System. Section 2 gathers useful stellar information about HD 45364, its derived orbital solution is described in Sect. 3, and the dynamical analysis of the system is discussed in Sect. 4. Finally, conclusions are drawn in Sect. 5.
2 Stellar characteristics of HD 45364
The basic photometric (K0V, V=8.08, 
B - V = 0.72)
and astrometric (
 mas) properties of HD 45364 were
taken from the Hipparcos catalogue (ESA  1997). They are recalled
in Table 1 with inferred quantities such as the
absolute magnitude (
 mas) properties of HD 45364 were
taken from the Hipparcos catalogue (ESA  1997). They are recalled
in Table 1 with inferred quantities such as the
absolute magnitude (
 )
and the stellar physical
characteristics derived from the HARPS spectra by Sousa et al. (2008).
For the complete high-precision HARPS sample (including HD 45364), these authors
provided homogeneous estimates of effective temperature   (
)
and the stellar physical
characteristics derived from the HARPS spectra by Sousa et al. (2008).
For the complete high-precision HARPS sample (including HD 45364), these authors
provided homogeneous estimates of effective temperature   (
 K), metallicity ([Fe/H] =
 K), metallicity ([Fe/H] = 
 ),  and surface gravity (
),  and surface gravity (
 )
of the stars. A projected low rotational velocity of the star,
)
of the stars. A projected low rotational velocity of the star, 
 km s-1 was derived from a 
calibration of the width of the cross-correlation function used in the 
radial-velocity estimate (Santos et al.  2002).
 km s-1 was derived from a 
calibration of the width of the cross-correlation function used in the 
radial-velocity estimate (Santos et al.  2002).
HD 45364 is a non-active star in our sample with an activity indicator 
 of -4.94. No significant radial-velocity jitter is thus 
expected for the star.  From the activity indicator, we also derive a stellar 
rotation period
of -4.94. No significant radial-velocity jitter is thus 
expected for the star.  From the activity indicator, we also derive a stellar 
rotation period 
 day (following  Noyes et al.  1984).
 day (following  Noyes et al.  1984).
HD 45364 has a subsolar metallicity with [Fe/H] = -0.17 unlike most of the
gaseous giant-planet host stars (Santos et al.  2004).  According to simulations 
of planet formation based on the core-accretion paradigm, moderate 
metal-deficiency does not, however, prevent planet formation 
(Ida & Lin  2004; Mordasini et al.  2008). Taking into account its subsolar metallicity, 
Sousa et al. (2008) derived a mass of 0.82  for the star.  
From the color index, the derived effective temperature, and the corresponding 
bolometric correction, we estimated the star luminosity to be 0.57
for the star.  
From the color index, the derived effective temperature, and the corresponding 
bolometric correction, we estimated the star luminosity to be 0.57  .
.
Table 1: Observed and inferred stellar parameters of HD 45364.
3 Orbital solution for the HD 45364 system
The   HARPS observations of HD 45364 started in December 2003 
and have now been going for about four years and a half. From the first stages of 
the observations, peculiar variations in the radial velocities (Fig. 1)
have shown the presence of one or more companions in the system. 
After 58 measurements, we are now able to determine the nature of these bodies.
Using a genetic algorithm combined with the iterative Levenberg-Marquardt method
(Press et al.  1992), we first attempted to fit the complete set of radial velocities
using a model with two Keplerian orbits. This fit yields an adjustment of 
 and
and 
 with two planets, one at P=225.8 day, e=0.174, and a minimum mass of
with two planets, one at P=225.8 day, e=0.174, and a minimum mass of 
 ,
and another at P=343.9 day, e=0.097, and a minimum 
mass of
,
and another at P=343.9 day, e=0.097, and a minimum 
mass of 
 .
.
| ![\begin{figure}
\par\includegraphics*[height=8.5cm,angle=270]{0774fig1.ps}
\end{figure}](/articles/aa/full_html/2009/11/aa10774-08/Timg53.gif) | Figure 1: HARPS radial velocities for HD 45364, superimposed on a 3-body Newtonian orbital solution (Table 2). | 
| Open with DEXTER | |
Due to the proximity of the two planets and their high minimum masses, the
gravitational interactions between these two bodies are strong.  
This prompts us to fit the observational data using a 3-body Newtonian model,
assuming co-planar motion perpendicular to the plane of the sky, similarly to
what has been done for the system HD 202206 (Correia et al.  2005). 
The orbital parameters corresponding to the the best fitted solution are listed
in Table 2. 
We get identical results for 
 and velocity
residuals as obtained with the two-Keplerian fit. 
Although there is no significant improvement in the fit, an important difference
exists: the new orbital parameters for both planets show some 
deviations from the two-Keplerian case. In particular, the arguments of the
periastrons (
and velocity
residuals as obtained with the two-Keplerian fit. 
Although there is no significant improvement in the fit, an important difference
exists: the new orbital parameters for both planets show some 
deviations from the two-Keplerian case. In particular, the arguments of the
periastrons ( )
show a difference of some degrees.
We then conclude that, despite being unable to detect the
planet-planet interaction in the present data, the orbits undergo important
perturbations, and we expect to detect this gravitational
interaction in the future. In Fig. 2, we plot the two best fit models
evolving in time and clearly observe detectable deviations between the
two curves that appear within ten years. The 3-body Newtonian fit provides a more accurate approximation of the HD 45364 planetary system, and the orbital parameters thus determined will be adopted as reference henceforward (Table 2).
)
show a difference of some degrees.
We then conclude that, despite being unable to detect the
planet-planet interaction in the present data, the orbits undergo important
perturbations, and we expect to detect this gravitational
interaction in the future. In Fig. 2, we plot the two best fit models
evolving in time and clearly observe detectable deviations between the
two curves that appear within ten years. The 3-body Newtonian fit provides a more accurate approximation of the HD 45364 planetary system, and the orbital parameters thus determined will be adopted as reference henceforward (Table 2). 
Table 2: Orbital parameters for the two bodies orbiting HD 45364, obtained with a 3-body Newtonian fit to observational data (Fig. 1).
| ![\begin{figure}
\par\includegraphics*[height=8.5cm,angle=270]{0774fig2.ps}
\end{figure}](/articles/aa/full_html/2009/11/aa10774-08/Timg76.gif) | Figure 2: 
Radial velocity differences between the two independent 
    Keplerian model and the 3-body Newtonian model (Table 2).  Data coincides at JD = 2453776 (Feb. 9 | 
| Open with DEXTER | |
We also fitted the data with a 3-body Newtonian model for which
the inclination of the orbital planes, as well as the node of the outer planet orbit, were free to vary.  We were able to find a wide variety of configurations, some with low inclination values
for one or both planets, that slightly improved our fit to a minimum 
 and
and 
 .
However, all of these determinations are uncertain, and since we also increase the number of free parameters by three, we cannot say that there has been an
improvement with respect to the solution presented in Table 2. 
The inclination of the orbits therefore remain unknown, as do their true masses.
.
However, all of these determinations are uncertain, and since we also increase the number of free parameters by three, we cannot say that there has been an
improvement with respect to the solution presented in Table 2. 
The inclination of the orbits therefore remain unknown, as do their true masses.
The residuals around the best fit solution are small, but remain slightly
larger than the internal errors (Fig. 1). We may then ask if there are other companions with different orbital periods. For this purpose, we used a genetic algorithm, since we were unable to 
clearly isolate any significant peak in the frequency analysis of the residuals.
The inclusion of additional companions in the system allows us to reduce
the value of 
 slightly, although this can be justified as a natural consequence of
increasing the number of free parameters. 
Identical adjustments can be obtained with many orbital periods, as
different as 5 or 18 days, frequently with very high eccentricity values.
Therefore, no other companion can be conclusively detected in the
residuals from the orbital solution listed in Table 2.
The best fit solution was obtained by adding a linear drift to the data, with
slightly, although this can be justified as a natural consequence of
increasing the number of free parameters. 
Identical adjustments can be obtained with many orbital periods, as
different as 5 or 18 days, frequently with very high eccentricity values.
Therefore, no other companion can be conclusively detected in the
residuals from the orbital solution listed in Table 2.
The best fit solution was obtained by adding a linear drift to the data, with
 /yr,
allowing us to reduce the value of
/yr,
allowing us to reduce the value of 
 to 2.42 and the
to 2.42 and the
 ,
while the orbital parameters of the two planets remain nearly the same.
The solution in Table 2 must then be considered to be the best
determination achievable so far, and a longer tracking of the system will
provide more accurate orbital parameters for the HD 45364 system.
,
while the orbital parameters of the two planets remain nearly the same.
The solution in Table 2 must then be considered to be the best
determination achievable so far, and a longer tracking of the system will
provide more accurate orbital parameters for the HD 45364 system.
4 Dynamical analysis
We now briefly analyze the dynamics and stability of the planetary system given in Table 2. Due to the two planets' proximity and high values of the masses, we expect that both planets are affected by strong planetary perturbations from each other. The present orbits of the two planets almost cross (Fig. 6), and unless a resonant mechanism is present to avoid close encounters, the system cannot be stable.
4.1 The 3:2 mean motion resonance
Table 3: Fundamental frequencies for the orbital solution in Table 2.
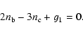
The ratio between the orbital periods of the two planets determined 
by the fitting process (Table 2) is 
 ,
suggesting that the system may be trapped in a 3:2
mean motion resonance. To test the accurancy of this scenario, we performed a frequency analysis of the  orbital solution listed in Table 2 computed over 100 kyr.
The orbits of the planets are integrated with the symplectic integrator SABAC4 of Laskar & Robutel (2001), using a step size of 0.02 years. We conclude that in the nominal solution of Table 2, the two planets in the HD 45364 system indeed show a
3:2 mean motion resonance, with resonant argument:
,
suggesting that the system may be trapped in a 3:2
mean motion resonance. To test the accurancy of this scenario, we performed a frequency analysis of the  orbital solution listed in Table 2 computed over 100 kyr.
The orbits of the planets are integrated with the symplectic integrator SABAC4 of Laskar & Robutel (2001), using a step size of 0.02 years. We conclude that in the nominal solution of Table 2, the two planets in the HD 45364 system indeed show a
3:2 mean motion resonance, with resonant argument:
The fundamental frequencies of the systems are the two mean motions
 and
and  ,
the two secular frequencies of the 
periastrons g1 and g2, and the libration frequency of the resonant argument
,
the two secular frequencies of the 
periastrons g1 and g2, and the libration frequency of the resonant argument
 (Table 3). These frequencies are not independent because, due to the 3:2 resonance,  we have up to the precision of the determination of the frequencies (
(Table 3). These frequencies are not independent because, due to the 3:2 resonance,  we have up to the precision of the determination of the frequencies ( 10-10),
10-10), 
|  | (2) | 
The resonant argument
 is in libration around
is in libration around  ,
with a libration period
,
with a libration period 
 yr, and an associated 
amplitude of about 68.44 degrees (Fig. 3a, Table 4). 
For the complete solution, the libration amplitude can reach
more than 80 degrees because additional periodic terms are present. 
In Table 4, we provide a quasi-periodic  decomposition of the resonant angle
 yr, and an associated 
amplitude of about 68.44 degrees (Fig. 3a, Table 4). 
For the complete solution, the libration amplitude can reach
more than 80 degrees because additional periodic terms are present. 
In Table 4, we provide a quasi-periodic  decomposition of the resonant angle 
 in terms of decreasing amplitude. All the quasi-periodic terms are easily identified as integer combinations of the  fundamental frequencies (Table 3). Since the resonant angle is modulated by a relatively short period of about 18 years, the observation of the system over a few additional decades may provide an estimate of the libration amplitude and thus a strong constraint on the orbital parameters of the system.
in terms of decreasing amplitude. All the quasi-periodic terms are easily identified as integer combinations of the  fundamental frequencies (Table 3). Since the resonant angle is modulated by a relatively short period of about 18 years, the observation of the system over a few additional decades may provide an estimate of the libration amplitude and thus a strong constraint on the orbital parameters of the system.
| ![\begin{figure}
\par\includegraphics*[width=9cm,clip]{0774fig3.ps}
\end{figure}](/articles/aa/full_html/2009/11/aa10774-08/Timg89.gif) | Figure 3: 
Variation in the resonant argument, 
 | 
| Open with DEXTER | |
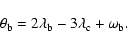
Although the mean motions  and
and  can be associated with the two
planets b and c, respectively, it is not the case for the secular 
frequencies g1 and g2, and incidentally, both periastrons precess with mean 
frequency g1 that is retrograde, with a period of 474.115 years. The two
periastrons are thus  locked in an antipodal state, and the difference
can be associated with the two
planets b and c, respectively, it is not the case for the secular 
frequencies g1 and g2, and incidentally, both periastrons precess with mean 
frequency g1 that is retrograde, with a period of 474.115 years. The two
periastrons are thus  locked in an antipodal state, and the difference 
 is in libration around
is in libration around  with an amplitude of about
with an amplitude of about 
 (Fig. 3b). As a result, the argument
(Fig. 3b). As a result, the argument  
 librates around
librates around  with the same libration frequency
with the same libration frequency 
 .
.
| ![\begin{figure}
\par\includegraphics*[width=17cm,clip]{0774fig4.ps}
\end{figure}](/articles/aa/full_html/2009/11/aa10774-08/Timg91.gif) | Figure 4: 
Stability analysis of the nominal fit (Table 2) 
  of the HD 45364 planetary system. For a fixed initial condition 
  of the outer  a) and inner planet  b), the phase space of the system is explored by varying the semi-major axis  | 
| Open with DEXTER | |
Table 4:  
Quasi-periodic decomposition of the resonant angle 
 for an integration  over 100 kyr of the orbital solution in
  Table 2.
for an integration  over 100 kyr of the orbital solution in
  Table 2.
| ![\begin{figure}
\par\includegraphics*[width=15.4cm]{new_version_figures/0774fig5.eps}
\end{figure}](/articles/aa/full_html/2009/11/aa10774-08/Timg95.gif) | Figure 5: 
Evolution of the HD 45364 planetary system over 100 kyr in the
  co-rotating frame of the inner planet ( left) and outer planet ( right). x and
  y are spatial coordinates in a frame centered on the star and rotating
  with the frequency  | 
| Open with DEXTER | |
4.2 Stability analysis
To analyze the stability of the nominal solution and confirm the presence of the 3:2 resonance, we performed a global frequency analysis (Laskar 1993) in the vicinity of the nominal solution (Fig. 4), in the same way as achieved for the HD 202206 system by Correia et al. (2005). For each planet, the system is integrated on a regular 2D mesh of initial conditions, with varying semi-major axis and eccentricity, while the other parameters are retained at their nominal values. The solution is integrated over 10 kyr for each initial condition and a stability indicator is computed to be the variation in the measured mean motion over the two consecutive 5 kyr intervals of time. For regular motion, there is no significant variation in the mean motion along the trajectory, while it can vary significantly for chaotic trajectories. The result is reported in color in Fig. 4, where ``red'' represent the strongly chaotic trajectories, and ``dark blue'' the extremely stable ones. In both plots (Figs. 4a,b), it appears that the only stable zone that exists in the vicinity of the nominal solution are the stable 3:2 resonant zones.
It is quite remarkable that, in contrast to the findings of
Correia et al. (2005) for the 5:1 resonance in 
the HD 202206 system, there is perfect coincidence between
the stable 3:2 resonant islands, and curves of minimal  obtained in comparing with the observations.
Since these islands are the only stable zones in the vicinity, this
picture presents a very coherent view of dynamical analysis and radial
velocity measurments, which reinforces the confidence that the present system 
is in a 3:2 resonant state.
obtained in comparing with the observations.
Since these islands are the only stable zones in the vicinity, this
picture presents a very coherent view of dynamical analysis and radial
velocity measurments, which reinforces the confidence that the present system 
is in a 3:2 resonant state.  
In Fig. 5, we plot the evolution of the HD 45364 planetary system over 100 kyr in the rotating frame of the inner and the outer planet, respectively. Due to the 3:2 mean motion resonance trapping, the relative positions of the two planets are repeated and never become closer than about 0.37 AU, preventing close encounters and the consequent destruction of the system. The paths of the planets in the rotating frame illustrate the relationship between the resonance and the frequency of conjunctions with the internal or external planet. The inner planet is in a 3:2 resonance with the outer planet, so the orbital configuration of the system is repeated every 3 orbits of the inner planet and every 2 orbits of the outer planet. In this particular frame, we are also able to see the libration of each planet around its equilibrium position.
4.3 Orbital evolution
From the previous stability analysis, it is clear that the HD 45364 planetary system listed in Table 2 is trapped in a 3:2 mean motion resonance and stable over a Gyr timescale. Nevertheless, we tested directly this by performing a numerical integration of the orbits over 5 Gyr using the symplectic integrator SABAC4 of Laskar & Robutel (2001) with a step size of 0.02 years. The results displayed in Fig. 6 show that the orbits indeed evolve in a regular way, and remain stable throughout the simulation, which corresponds to the estimated age of the star.
Because of the strong gravitational interactions between the two planets, both orbital
eccentricities present significant variations.
The eccentricity of the inner planet is within 
 ,
while that
of the outer planet is within
,
while that
of the outer planet is within 
 .
We also observe rapid secular variations in the orbital parameters, mostly driven by
the rapid secular frequency g1, of period
.
We also observe rapid secular variations in the orbital parameters, mostly driven by
the rapid secular frequency g1, of period 
 yr
(Table 3). These secular variations in the orbital elements occur much more rapidly than in
our Solar System, which should enable them to be detected directly from
observations.
 yr
(Table 3). These secular variations in the orbital elements occur much more rapidly than in
our Solar System, which should enable them to be detected directly from
observations.
5 Discussion and conclusion
We have reported the detection of two planets orbiting the star
HD 45364, with orbital periods of 228 and 342 days, and minimum
masses of 0.187 and 0.658 
 ,
respectively.
A dynamical analysis of the system has further shown a 3:2 mean motion resonance between
the two planets, which ensures its stability over 5 Gyr despite the proximity of
the two orbits. This is the first time that such an orbital resonant configuration has been observed for extra-solar planets, although an analogue does exist in our Solar System
composed by Neptune and Pluto. However, while Neptune evolves in an almost circular orbit and is much more massive than Pluto (which is the largest member of the asteroid family of the Plutinos), the two planets around HD 45364 have masses comparable to those of Saturn and
Jupiter, and are evolving in orbits with moderate eccentricity.
,
respectively.
A dynamical analysis of the system has further shown a 3:2 mean motion resonance between
the two planets, which ensures its stability over 5 Gyr despite the proximity of
the two orbits. This is the first time that such an orbital resonant configuration has been observed for extra-solar planets, although an analogue does exist in our Solar System
composed by Neptune and Pluto. However, while Neptune evolves in an almost circular orbit and is much more massive than Pluto (which is the largest member of the asteroid family of the Plutinos), the two planets around HD 45364 have masses comparable to those of Saturn and
Jupiter, and are evolving in orbits with moderate eccentricity.
| ![\begin{figure}
\par\includegraphics*[width=8.5cm]{0774fig6.ps}
\end{figure}](/articles/aa/full_html/2009/11/aa10774-08/Timg100.gif) | Figure 6: 
Long-term evolution of the HD 45364 planetary system over 5 Gyr
  starting with the orbital solution from Table 2.  The panel shows a face-on view of the system. x and y are spatial  coordinates in a frame centered on the star. Present orbital solutions are traced  with solid lines and each dot corresponds to the position of the planet every
  100 kyr. The semi-major axes (in AU) are almost constant (
 | 
| Open with DEXTER | |
Dynamically, the system is extremely interesting. 
In the nominal solution, the resonant angle 
 is in    libration around
is in    libration around  ,
with a libration period of 18.16 years
and a dominating amplitude of 68.44 degrees.
Such an orbital configuration may have been reached through the dissipative process
of planet migration during the early stages of the system evolution.  
However, after being captured in resonance, 
 subsequent migration produces a significant
increase in planetary eccentricities, unless a damping mechanism is applied.
Since the eccentricities of the two planets around HD 45364 are relatively
small (Table 2), migration may cease shortly after capture in resonance
occurs, or, according to Crida et al. (2008), an inner disc must be present.
This singular planetary system may then provide important constraints on planetary
formation and migration scenarios.
,
with a libration period of 18.16 years
and a dominating amplitude of 68.44 degrees.
Such an orbital configuration may have been reached through the dissipative process
of planet migration during the early stages of the system evolution.  
However, after being captured in resonance, 
 subsequent migration produces a significant
increase in planetary eccentricities, unless a damping mechanism is applied.
Since the eccentricities of the two planets around HD 45364 are relatively
small (Table 2), migration may cease shortly after capture in resonance
occurs, or, according to Crida et al. (2008), an inner disc must be present.
This singular planetary system may then provide important constraints on planetary
formation and migration scenarios.
The strong gravitational interactions between the planets may also allow us to model their effect more accurately in the near future. With the current precision of HARPS, about 1 m/s for HD 45364, we expect to detect the signature of planet-planet interactions in data in a few decades. The planet-planet interactions may provide important information about the inclination of the orbital planes and allow us to determine the precise masses of both planets.
Acknowledgements
We acknowledge support from the Swiss National Research Found (FNRS), the Geneva University, Fundação Calouste Gulbenkian (Portugal), and French CNRS.
References
- Correia, A. C. M., Udry, S., Mayor, M., et al. 2005, A&A, 440, 751 [NASA ADS] [CrossRef] [EDP Sciences] (In the text)
- Crida, A., Sándor, Z., & Kley, W. 2008, A&A, 483, 325 [NASA ADS] [CrossRef] [EDP Sciences] (In the text)
- ESA. 1997, VizieR Online Data Catalog, 1239 (In the text)
- Ida, S., & Lin, D. N. C. 2004, ApJ, 616, 567 [NASA ADS] [CrossRef]
- Laskar, J. 1990, Icarus, 88, 266 [NASA ADS] [CrossRef]
- Laskar, J. 1993, Physica D Nonlinear Phenomena, 67, 257 [NASA ADS] [CrossRef]
- Laskar, J., & Robutel, P. 2001, Celestial Mechanics and Dynamical Astronomy, 80, 39 [NASA ADS] [CrossRef] (In the text)
- Lovis, C., Mayor, M., Pepe, F., et al. 2006, Nature, 441, 305 [NASA ADS] [CrossRef] (In the text)
- Mayor, M., Pepe, F., Queloz, D., et al. 2003, The Messenger, 114, 20 [NASA ADS] (In the text)
- Mayor, M., Udry, S., Lovis, C., et al. 2009, A&A, 493, 639 [NASA ADS] [CrossRef] [EDP Sciences] (In the text)
- Mordasini, C., Alibert, Y., Benz, W., & Naef, D. 2008, ASP Conf., 398, 235 [NASA ADS]
- Noyes, R. W., Hartmann, L. W., Baliunas, S. L., Duncan, D. K., & Vaughan, A. H. 1984, ApJ, 279, 763 [NASA ADS] [CrossRef] (In the text)
- Press, W. H., Teukolsky, S. A., Vetterling, W. T., & Flannery, B. P. 1992, Numerical recipes in FORTRAN. The art of scientific computing (Cambridge: University Press, 2n [NASA ADS]d ed.) (In the text)
- Santos, N. C., Israelian, G., & Mayor, M. 2004, A&A, 415, 1153 [NASA ADS] [CrossRef] [EDP Sciences] (In the text)
- Santos, N. C., Mayor, M., Naef, D., et al. 2002, A&A, 392, 215 [NASA ADS] [CrossRef] [EDP Sciences] (In the text)
- Sousa, S. G., Santos, N. C., Mayor, M., et al. 2008, A&A, 487, 373 [NASA ADS] [CrossRef] [EDP Sciences] (In the text)
- Udry, S., Mayor, M., Naef, D., et al. 2000, A&A, 356, 590 [NASA ADS] (In the text)
Footnotes
- ... resonance![[*]](/icons/foot_motif.gif)  
- Based on observations made with the HARPS instrument on the ESO 3.6 m telescope at La Silla Observatory under the GTO programme ID 072.C-0488.
- ...![[*]](/icons/foot_motif.gif)  
- The table with the radial velocities is only available in electronic form at the CDS via anonymous ftp to cdsarc.u-strasbg.fr (130.79.128.5) or via http://cdsweb.u-strasbg.fr/cgi-bin/qcat?J/A+A/496/521
All Tables
Table 1: Observed and inferred stellar parameters of HD 45364.
Table 2: Orbital parameters for the two bodies orbiting HD 45364, obtained with a 3-body Newtonian fit to observational data (Fig. 1).
Table 3: Fundamental frequencies for the orbital solution in Table 2.
Table 4:   
Quasi-periodic decomposition of the resonant angle 
 for an integration  over 100 kyr of the orbital solution in
  Table 2.
for an integration  over 100 kyr of the orbital solution in
  Table 2.
All Figures
| ![\begin{figure}
\par\includegraphics*[height=8.5cm,angle=270]{0774fig1.ps}
\end{figure}](/articles/aa/full_html/2009/11/aa10774-08/Timg53.gif) | Figure 1: HARPS radial velocities for HD 45364, superimposed on a 3-body Newtonian orbital solution (Table 2). | 
| Open with DEXTER | |
| In the text | |
| ![\begin{figure}
\par\includegraphics*[height=8.5cm,angle=270]{0774fig2.ps}
\end{figure}](/articles/aa/full_html/2009/11/aa10774-08/Timg76.gif) | Figure 2: 
Radial velocity differences between the two independent 
    Keplerian model and the 3-body Newtonian model (Table 2).  Data coincides at JD = 2453776 (Feb. 9 | 
| Open with DEXTER | |
| In the text | |
| ![\begin{figure}
\par\includegraphics*[width=9cm,clip]{0774fig3.ps}
\end{figure}](/articles/aa/full_html/2009/11/aa10774-08/Timg89.gif) | Figure 3: 
Variation in the resonant argument, 
 | 
| Open with DEXTER | |
| In the text | |
| ![\begin{figure}
\par\includegraphics*[width=17cm,clip]{0774fig4.ps}
\end{figure}](/articles/aa/full_html/2009/11/aa10774-08/Timg91.gif) | Figure 4: 
Stability analysis of the nominal fit (Table 2) 
  of the HD 45364 planetary system. For a fixed initial condition 
  of the outer  a) and inner planet  b), the phase space of the system is explored by varying the semi-major axis  | 
| Open with DEXTER | |
| In the text | |
| ![\begin{figure}
\par\includegraphics*[width=15.4cm]{new_version_figures/0774fig5.eps}
\end{figure}](/articles/aa/full_html/2009/11/aa10774-08/Timg95.gif) | Figure 5: 
Evolution of the HD 45364 planetary system over 100 kyr in the
  co-rotating frame of the inner planet ( left) and outer planet ( right). x and
  y are spatial coordinates in a frame centered on the star and rotating
  with the frequency  | 
| Open with DEXTER | |
| In the text | |
| ![\begin{figure}
\par\includegraphics*[width=8.5cm]{0774fig6.ps}
\end{figure}](/articles/aa/full_html/2009/11/aa10774-08/Timg100.gif) | Figure 6: 
Long-term evolution of the HD 45364 planetary system over 5 Gyr
  starting with the orbital solution from Table 2.  The panel shows a face-on view of the system. x and y are spatial  coordinates in a frame centered on the star. Present orbital solutions are traced  with solid lines and each dot corresponds to the position of the planet every
  100 kyr. The semi-major axes (in AU) are almost constant (
 | 
| Open with DEXTER | |
| In the text | |
Copyright ESO 2009
Current usage metrics show cumulative count of Article Views (full-text article views including HTML views, PDF and ePub downloads, according to the available data) and Abstracts Views on Vision4Press platform.
Data correspond to usage on the plateform after 2015. The current usage metrics is available 48-96 hours after online publication and is updated daily on week days.
Initial download of the metrics may take a while.
 
  2006).  
     We also plot the velocity residuals of the 3-body fit (Fig.
2006).  
     We also plot the velocity residuals of the 3-body fit (Fig. 
 yr, and a principal amplitude of about
 yr, and a principal amplitude of about 
 (Table
(Table  is in libration around
is in libration around  -g2 (corresponding to a period
-g2 (corresponding to a period 
 yr), and a maximum amplitude of about
 yr), and a maximum amplitude of about 
 and eccentricity
and eccentricity    of the other planet, respectively. The step size is 0.001 AU in semi-major axis and 0.005 in eccentricity. For each initial condition, the  full system is integrated numerically over 10 kyr and a stability criterion 
  is derived  with the frequency analysis of the mean longitude
  (
of the other planet, respectively. The step size is 0.001 AU in semi-major axis and 0.005 in eccentricity. For each initial condition, the  full system is integrated numerically over 10 kyr and a stability criterion 
  is derived  with the frequency analysis of the mean longitude
  ( and
and 
 ), but the eccentricities undergo significant variations
  (
), but the eccentricities undergo significant variations
  (
 and
and 
 ). The fundamental periods
  related to the precession of the periastrons are
). The fundamental periods
  related to the precession of the periastrons are 
 yr and
 yr and 
  
 yr.
 yr.