| Issue |
A&A
Volume 496, Number 2, March III 2009
|
|
|---|---|---|
| Page(s) | 351 - 360 | |
| Section | Cosmology (including clusters of galaxies) | |
| DOI | https://doi.org/10.1051/0004-6361:200810888 | |
| Published online | 20 January 2009 | |
Could the Fermi Large Area Telescope
detect
-rays from dark matter
annihilation in the dwarf galaxies of the Local Group?
L. Pieri1,2,3 - A. Pizzella3 - E. M. Corsini3 - E. Dalla Bontà3 - F. Bertola3
1 - Consorzio Interuniversitario di Fisica Spaziale,
Villa Gualino, Viale Settimio Severo, 63, 10133 Torino, Italy
2 -
Istituto Nazionale di Fisica Nucleare - Sezione di Padova,
via Marzolo 8, 35131 Padova, Italy
3 -
Dipartimento di Astronomia, Università di Padova,
vicolo dell'Osservatorio 3, 35122 Padova, Italy
Received 1 September 2008 / Accepted 27 November 2008
Abstract
Context. The detection of
-rays from dark matter (DM) annihilation is among the scientific goals of the Fermi Large Area Telescope (formerly known as GLAST) and Cherenkov telescopes.
Aims. In this paper we investigate the chances of such a discovery, selecting some nearby dwarf spheroidal galaxies (dSph) as a target, and adopting the DM density profiles derived from both astronomical observations and N-body simulations. We also make use of recent studies about the presence of black holes and of a population of sub-subhalos inside the Local Group (LG) dwarfs to carry out boost factor studies.
Methods. We study the detectability with the Fermi-LAT of the
-ray flux from DM annihilation in four of the nearest and highly DM-dominated dSph galaxies of the LG, namely Draco, Ursa Minor, Carina, and Sextans, for which state-of-art DM density profiles were available. We assume the DM is made of weakly interacting massive particles such as the lightest supersymmetric particle and compute the expected
-ray flux for estimations of the unknown underlying particle physics parameters. We then compute the boost factors due to the presence of DM clumps and of a central supermassive black hole. Finally, we compare our predictions with the Fermi-LAT sensitivity maps.
Results. We find that the dSph galaxies shine above the Galactic smooth halo: e.g., the Galactic halo is brighter than the Draco dSph only for angles smaller than 2.3 degrees above the Galactic Center. We also find that the presence of a cusp or a constant density core in the DM mass density profile does not produce any relevant effects in the
-ray flux due to the fortunate combination of the geometrical acceptance of the Fermi-LAT detector and the distance of the galaxies. Moreover, no significant enhancement is given by the presence of a central black hole or a population of sub-subhalos.
Conclusions. We conclude that, even for the most optimistic scenario of particle physics, the
-ray flux from DM annihilation in the dSph galaxies of the LG would be too low to be detected with the Fermi-LAT.
Key words: galaxies: halos - galaxies: Local Group - galaxies: dwarf - cosmology: dark matter - gamma rays: observations - gamma rays: theory
1 Introduction
Since the first evidence of the presence of dark matter (DM) in the universe, scientists have worked to understand its nature and distribution. This investigation involves different fields of research such as particle physics, cosmology and, observational astronomy (e.g. Spergel et al. 2003; Bahcall et al. 1999).
The Fermi Large Area Telecope (Fermi-LAT) will test theories in which DM candidates are the lightest supersymmetric particles (LSPs) such as the neutralinos, arising in supersymmetric extensions of the Standard Model of particle physics (SUSY), or the lightest Kaluza-Klein particles (LKKPs) such as the B(1)s, first excitation of the hypercharge gauge boson in theories with universal extra dimensions (see Bertone et al. 2005; Bergström 2000, and references therein). Typical values for the mass of these candidates range from about 50 GeV up to several TeV.
Cosmological models, mainly based on N-body simulations in a
-cold dark matter (CDM) framework, successfully reproduce
relevant characteristics of the universe such as the cosmic microwave
background anisotropy and the large scale structure of the
universe. They also predict well-defined properties of DM haloes,
whose radial mass density distribution follows a
universal law, and it is described by a steep power law for a wide range
of masses ranging from dwarf galaxies to galaxy clusters
(see, e.g., Navarro et al. 1997,2004; Diemand et al. 2005; Moore et al. 1998; Navarro et al. 1996; Moore et al. 1999).
However, the astronomical community is still debating whether
DM haloes are characterized by a central density cusp. In fact, haloes
with a constant density core are in most cases preferred to account
for the observed kinematics of galaxies (see Binney 2004, for a
review).
Generally speaking, the uncertainty in the choice of the density
profile can result in several orders of magnitude of uncertainty
in the
-ray flux prediction, which already suffers from the
high uncertainties arising from the unknown underlying particle physics
(Fornengo et al. 2004).
For this reason it would be important to derive the DM density profile of galaxies directly from the available kinematic
data. Although data-sets for the very inner part of the galaxies are
scarce and affected by large errors, the situation is not better in
N-body simulations, whose resolution goes down to 0.05 times
the virial radius at most.
Using real data we have the advantage of deriving a flux
prediction which takes into account the peculiarity of each galaxy,
without any model-dependent generalization which would increase the
astrophysical uncertainties.
The expected
-ray flux at the telescope from a given source is
directly proportional to the DM density squared along the line-of-sight (LOS), and inversely proportional to the square of its distance.
The best targets are therefore nearby dense objects such as the local
dwarf spheroidal galaxies (see Mateo 1998, for a review).
Indeed, in the last decade, the large collecting area of the 8-m class
telescopes and the use of multi-fiber spectrographs have allowed astronomers
to obtain high-resolution spectra of a large number of stars. This
made it possible to isolate the galaxy member stars, to measure their
radial velocity with an accuracy of a few
and to build accurate
dynamical models of a number of such systems
(see Gilmore et al. 2007, and references therein).
Annihilation of
-rays in dSph galaxies would give a clean
signal because of the absence of high astrophysical uncertainties in
modeling the expected background and could hopefully be detected with
upcoming experiments like the Fermi-LAT. Many authors have studied the feasibility
of such a detection, using a large variety of cuspy and cored universal
density profiles, reflecting the theoretical as well as the
experimental uncertainties.
Different works (Peirani et al. 2004; Baltz et al. 2000; Bergström et al. 2006; Tyler 2002; Pieri & Branchini 2004)
found that only the presence
of a spike and/or an enhancement due to clumpiness and/or a more
favourable combination of the unknown particle physics parameters
could make the Draco dwarf galaxy observable with the Fermi-LAT.
Strigari et al. (2007) are optimistic about the
detection of Draco with the Fermi-LAT
in 5 years. They adopted a King profile (King 1966) to derive the
surface density of the stellar luminosity. This was deprojected and
converted into the stellar mass density by adopting the typical range
of the mass-to-light ratio of dSphs. The luminous mass they derived is at the
very least one order of magnitude below the mass of the DM halo.
For the halo they assumed an NFW mass density profile (Navarro et al. 1997,1996) whose free degenerate parameters were constrained by
marginalizing over the stellar velocity dispersion anisotropy
parameter.
Colafrancesco et al. (2007) showed how diffuse radio emission would
actually be a more promising process to look at in order to detect a
DM signal. They also claimed that the presence of a supermassive black
hole (SBH) at the centre of Draco, which could enhance the
-ray signal up to detectable levels, is not actually excluded by
experiments.
Detection of annihilation
-rays from Draco has been
excluded by Sánchez-Conde et al. (2007) through the use of density profiles
that are compatible with the latest observations.
In this paper we use the latest available astrophysical measurements
for four of the nearest and highly DM-dominated dSph galaxies of the
Local Group, namely Draco, Ursa Minor, Carina, and Sextans
to compute the expected
-ray flux from DM annihilation.
In Sect. 2 the most optimistic particle physics scenarios
and the DM density profiles derived both from the available kinematic
measurements and from N-body simulations
are used to predict the expected
-ray flux from
DM annihilation in Draco, Ursa Minor, Carina, and Sextans. In
Sect. 3 the predicted flux is compared with the experimental
sensitivity of the Fermi-LAT. The presence of DM clumps and a central SBH
could enhance the
-ray flux. But their effects have to be
rescaled for the limits imposed on the extragalactic
-ray
background (EGB) by the Energetic Gamma-Ray Experiment (EGRET) and on the
-ray flux in Draco by the measurements of the Major Atmospheric
Gamma-Ray Imaging Cherenkov (MAGIC) telescope. Our conclusions are
given in Sect. 4.
The main differences with the other papers discussed above
are the following: we show that, even adopting
a very favorable case for the unknown particle physics sector, the expected
flux from the DM halo is about two orders of magnitude below the detectability
limit of the Fermi-LAT experiment; we also show how the use of a cored or a
cuspy profile does not produce any relevant effect in the expected
-ray flux, because of a combination of the galaxy distance
and the angular acceptance of the Fermi-LAT;
we then show that the current limits on the mass of the supermassive black hole
(SMBH)
inside Draco lead to an insignificant boost factor due to the presence
of such a SMBH; and we numerically compute the boost factor
due to the presence of a population of subhaloes inside the dwarf galaxies,
limiting the possible range of models for the sub-subhalo structure making use
of the constraints imposed by the EGRET extragalactic measurements;
the boost factor due to the presence of sub-subhaloes is computed
in two ways: first, we obtain it integrating over the whole volume of
the galaxy, as done, e.g., in Strigari et al. (2007).
This gives the correct boost factor when considering cosmological haloes.
But, if we consider the closer dwarf galaxies, we have to take into
account that only the very inner part of the galaxy is observed within
the angular resolution of the instrument.
We therefore also compute the angular dependence of the boost factor due to
sub-subhaloes. Although we find a huge enhancement of the
flux far from the galaxy center, there is actually no enhancement
along the LOS pointing toward the galaxy center.
As a last improvement with respect to the other papers,
we compare our predictions with an recently released
detectability map for the Fermi-LAT
which takes into account the response of the detector to different
energies and incidence angles, as far as effective energy and
angular resolution are concerned.
2
-ray flux from dark matter annihilation
The
-ray flux
from DM annihilation can be
factorized into a term
involving the particle
physics and a term
where astrophysics, cosmology,
and experimental geometry play the main role. It is
The particle physics factor is given by
where
The astrophysical/cosmological factor is given by
where
![]() |
Figure 1:
Behaviour of
|
| Open with DEXTER | |
2.1 The particle physics factor
In Fig. 1 we draw the factor
integrated
above a threshold energy
as
a function of
.
Shown in the plot is
the result of the computation for a 40 GeV, 100 GeV
and 1 TeV DM particle annihilating into quarks
.
For the photon yields we have used the parametric formula from
Fornengo et al. (2004) and introduced the pion bump feature at low energies.
For each mass, we adopted the most optimistic value for
,
as computed with DARKSUSY (Gondolo et al. 2004) and allowed by WMAP+SDSS
measurements (e.g., see Fig. 3 in Pieri et al. 2008). However,
really few models lie in those very fortunate parts of the phase-space.
In detail, we used
for a
40 GeV DM particle,
for the 100 GeV
particle case and
for the 1 TeV one.
Here we do not consider the result of
Bringmann et al. (2008), who pointed out how previously ignored effects
of electromagnetic
radiative corrections to all leading annihilation processes in the
Minimal Supersymmetric Model or in the Minimal SUperGRAvity mediated
supersymmetry breaking scenarios can induce a
-ray flux
enhancement of up to three-four orders of magnitudes with respect to the
-ray secondary flux produced in the annihilation cascade. This occurs
when integrating over energies greater than 60% of
,
even
for LSP masses well below the TeV scale.
A careful study of the effect of internal bremsstrahlung would be interesting
for instruments with higher sensitivity at higher energies, such as
Cherenkov telescopes (Bringmann et al. 2009), and is beyond the goal of this paper.
In the following, we will refer to a 40 GeV DM particle with
,
annihilating into
as our best case scenario
when studying the maximal
-ray flux prediction integrated
above 100 MeV.
This is not the most likely model, and
the real flux could be orders of magnitude smaller.
2.2 The astrophysical/cosmological factor
In this section we derive the value of
for four
dSph galaxies of the Local Group both from the state-of-art DM density
profiles available in literature and from CDM N-body simulations.
Their positions, masses, and distances are reported in Table 1.
Table 1: The sample galaxies.
- Draco: Gilmore et al. (2007) calculated the DM density radial
profile of the Draco dwarf galaxy. It was derived by
Wilkinson et al. (2004) from the radial profiles of the velocity
dispersion and surface brightness by solving the Jeans equations under
the assumption of isotropic orbital structure.
The velocity dispersion radial profile extends out to about 35 arcmin
from the centre (corresponding to 0.8 kpc). It is characterized by
an almost constant value of about 13
,
with a decrease to about
5
at the last observed radius. The available data allowed to
derive the mass density profile of the DM between about 0.1 and 0.5 kpc from the galaxy centre. The mass density increases out to the
innermost observed point (Fig. 2).
Recently, an independent mass density profile for Draco has been obtained by Peñarrubia et al. (2008). They used the data by Wilkinson et al. (2004) and Muñoz et al. (2006) to reconstruct the mass distribution of the galaxy. They assumed that the galaxy is composed of a luminous component described by a King model (King 1966) and a DM component described by an NFW model. In this way they derived the concentration parameter of the DM halo component directly from a fit to the data, instead of assuming it from the CDM cosmology. A total mass of
was found,
which is somehow larger than expected for dSph galaxies
(Mateo 1998). This DM density profile is shown in
Fig. 2.
The same procedure was applied to the other galaxies we analyze. Yet,
as we will show in the following, this profile implies a more
pessimistic
-ray flux prediction. Since we are interested in
the most optimistic scenarios that could lead to detection,
we will consider the DM profiles derived by Peñarrubia et al. (2008) only
in the case of Draco to derive the model uncertainty, while we will not
consider it further for the other galaxies.
A third DM profile for Draco was obtained by okas et al. (2005). They used the data-set by Wilkinson et al. (2004) and assumed a Sérsic law (Sérsic 1968) to describe the distribution of the luminous component. Concerning the DM density distribution, they assumed a modified NFW with an inner cusp and an exponential cut-off to take into account a possible tidal stripping in the outer regions of the galaxy. A tidal interaction does not affect the DM mass density profile in the centre, but produces a mass loss for radii larger than the so-called break radius (Kazantzidis et al. 2004). okas et al. (2005) break the degeneracy between the mass distribution and velocity anisotropy by fitting both the LOS velocity dispersion and kurtosis profiles. They found a total mass of
.
The corresponding radial profile of the DM mass density
profile is shown in Fig. 2.
![\begin{figure}
\par\includegraphics[width=8.5cm]{0888fig2.eps}
\end{figure}](/articles/aa/full_html/2009/11/aa10888-08/Timg38.gif)
Figure 2: The radial profile of the DM mass density in Draco as derived by Gilmore et al. (2007) (solid line), okas et al. (2005) (dotted), Walker et al. (2007) (long-dashed), and Peñarrubia et al. (2008) (dashed). Also shown are the density profiles derived from numerical simulations, namely the standard NFW (long-long-dashed) and the Einasto (long-dot-dashed) radial profiles.
Open with DEXTER Finally, we show in Fig. 2 the density profile obtained by Walker et al. (2007) adopting a one-component King profile and an NFW profile with constant anisotropy parameter for the luminous and DM components, respectively.
A cored profile seems to be preferred for the DM mass density when no parametric function is imposed in fitting the data. A primordial density core would exclude a pure CDM scenario, rather pointing toward a warm dark matter particle. Yet, there are different studies about the possibility of dynamically removing the CDM cusp in the dwarf galaxies, involving phenomena such as stellar feedback (e.g., Mashchenko et al. 2006; Read & Gilmore 2005) or dynamical friction of DM/baryons subhaloes (Romano-Díaz et al. 2008). The topic is still controversial (see, e.g., Gnedin & Zhao 2002) and there is no univoque consensus about the realistic possibility that CDM cusps in dwarfs may be reduced to a core.
Given the lack of negative evidence we keep on using cored profiles associated with CDM particles in our discussion.
Although the main aim of the present paper is to present results based on density profiles directly inferred by astronomical data, it is worth superimposing on Fig. 2 the density profiles derived from numerical simulations. Stadel et al. (2008) have recently obtained from N-body simulations a best fit to a MW-sized halo which is a simple power law in
(called the Stadel & Moore profile, S&M).
In the lack of halo mass scaling relations for the parameters of the
S&M profile, we show only the NFW and the Einasto profile computed
for a
halo at a distance of 80 kpc, with the concentration
parameter given by Kuhlen et al. (2008) (c=20.2,
kpc,
,
).
![\begin{figure}
\par\includegraphics[width=8.5cm]{0888fig3.eps}
\end{figure}](/articles/aa/full_html/2009/11/aa10888-08/Timg44.gif)
Figure 3: The radial profile of the DM mass density in Ursa Minor (long-dashed line), Draco (solid line), Carina (dotted line), and Sextans (short-dashed line) as derived by Gilmore et al. (2007).
Open with DEXTER -
Ursa Minor: the DM mass density profile for the Ursa Minor dwarf
galaxy was taken from Gilmore et al. (2007). It was derived by
Wilkinson et al. (2004) from the radial profiles of the velocity
dispersion and surface brightness by solving the Jeans equations under
the assumption of an isotropic orbital structure.
The velocity dispersion radial profile extends out to 45 arcmin from
the centre (corresponding to 0.9 kpc). It is characterized by a constant
value of about 12
,
showing a sharp drop to about 2
only at the farthest observed radius. The data allowed
Gilmore et al. (2007) to derive
the DM density distribution in the radial range between about 0.1 and
0.5 kpc. It is similar to that of Draco (Fig. 3).
Ursa Minor was also studied in Strigari et al. (2007), using the data by Palma et al. (2003). The light distribution was derived considering a two-component, spherically-symmetric King profile. They used the Jeans equations and adopted an NFW DM halo to the derive the radial profile of the velocity dispersion fitting the data. The anisotropy parameter
was empirically set to the value of 0.6.
In this paper we consider the two NFW models of the DM density profile
given by Strigari et al. (2007): Model A has
and
,
Model B has
and
.
-
Carina: Gilmore et al. (2007) calculated the DM density radial
profile of the Carina dwarf galaxy. It was derived from the radial
profiles of the velocity dispersion and surface brightness by solving
the Jeans equations under the assumption of isotropic orbital
structure.
The available measurements extend out to about the tidal radius of the
galaxy, which corresponds to about 25 arcmin (corresponding to 0.6 kpc). The velocity dispersion is characterized by a constant value of
about 8
.
The DM mass density profile is derived out to 60 pc
from the centre and it shows a constant density core
(Fig. 3).
-
Sextans: the DM mass density profile for the Sextans dwarf
galaxy was taken from Gilmore et al. (2007). It was derived by
Wilkinson et al. (2006) from the radial profiles of the velocity
dispersion and surface brightness measured by
Kleyna et al. (2004) by solving the Jeans equations under the assumption
of isotropic orbital structure.
The velocity dispersion radial profile extends out to about 47 arcmin
from the centre (corresponding to 1.1 kpc). It is characterized by
a constant value of about 8
,
with a possible decrease to about
3
at the last observed radius. The available data allowed
Gilmore et al. (2007) to
derive the mass density profile of the DM between about 0.2 and 0.8 kpc from the galaxy centre. It shows a constant density core
(Fig. 3).
Equation (3) has been integrated along the LOS adopting the DM
density profiles we derived for each dSph galaxy. The result of this
integration for the four different profiles inferred from
the data as well as for the two profiles derived from
numerical simulations for the Draco dSph galaxy
is found in Fig. 4. The behaviour of these
curves reflects the different DM distributions shown in
Fig. 2. The fit to the data was obtained in the
radial interval between 80 and 630 pc. The DM mass density profiles
are extrapolated in the innermost and outermost galaxy regions. At
large radii the DM mass density derived by Peñarrubia et al. (2008), who
adopted an NFW density profile with no tidal disruption, is higher than
that by okas et al. (2005) and Gilmore et al. (2007). Indeed,
it is comparable to the result obtained by Walker et al. (2007),
who also fit an NFW profile.
Actually, the total mass derived by Peñarrubia et al. (2008) and
Walker et al. (2007) is higher than the one typically found for this kind
of galaxies (Mateo 1998). This behaviour reflects in the
radial trend of the corresponding
(Fig. 4), which is
higher at large radii with respect to those based on the results by
okas et al. (2005) and Gilmore et al. (2007).
The results based on the Walker et al. (2007) profile give a higher value
of
in the inner galaxy than
Peñarrubia et al. (2008),
since the former predict a higher mass content at small radii
(see Fig. 2).
![]() |
Figure 4:
The astrophysical/cosmological contribution
|
| Open with DEXTER | |
The low DM mass density observed at large radii in the NFW profile of
okas et al. (2005) is due to the mass stripping induced by a tidal
interaction. Their DM density is higher in the centre, while the cored
density profile by Gilmore et al. (2007) allocates more mass at
intermediate radii (Fig. 2). Though biased by the
different derived masses, this effect is due to mass conservation
since the two models have about the same tidal radius. The DM mass
density profile by Gilmore et al. (2007) gives a larger
for radii larger than 0.1 degree. At smaller radii it gives
the same contribution as the DM mass density profile by
okas et al. (2005, see Fig. 4#.
The Einasto profile, which predicts more mass at intermediate radii
resolved by the angular resolution of 0.1 degrees, gives the highest
value of
,
while the NFW profile gives the same contribution
as Peñarrubia et al. (2008). The values of the results for the NFW and Einasto profiles depend on the mass adopted for the computation. Here ee have used
because the relative density profile was compatible with
the amplitude of the profile inferred from the data.
The mass modeling of Draco produces only a difference of a factor of 2 to 3 in the flux predictions, while the indetermination arising from the unknown particle physics can add up to several orders of magnitude.
To investigate the reason why, e.g., the cuspy profile by okas et al. (2005)
and the cored profile by Gilmore et al. (2007) give the same value of
towards the centre of Draco, we considered a
Draco-like dSph galaxy and changed its distance from the observer. We
then computed
toward the centre of the galaxy.
The result for the two profiles is plotted in
Fig. 5 as a function of
the imposed distance. The closer the galaxy, the greater the
contribution to
due to the cuspy radial profile of
the DM mass density.
The geometrical acceptance of the Fermi-LAT detector is able to resolve
the central cusp of the galaxy only if this is located at distances
smaller that 90 kpc.
Further out, the two profiles give more or less the same result.
Curiously enough,
the true location of the Draco dSph (80 kpc from us) lies exactly at
the border of this region, so that we can conclude that no matter
whether we choose either the cuspy DM profile by okas et al. (2005) or
the cored profile by Gilmore et al. (2007), the estimate of the amount
of
-rays expected from DM annihilation in the central region
of the galaxy will not change.
![]() |
Figure 5:
The astrophysical/cosmological contribution
|
| Open with DEXTER | |
![]() |
Figure 6:
The astrophysical/cosmological contribution
|
| Open with DEXTER | |
![]() |
Figure 7:
The astrophysical/cosmological contribution
|
| Open with DEXTER | |
![]() |
Figure 8:
The astrophysical/cosmological contribution
|
| Open with DEXTER | |
In Fig. 6 we plot the value of
for Ursa Minor for the cored Gilmore et al. (2007) profile,
as well as for the cuspy Peñarrubia et al. (2008), and for the two fit to the NFW
profile proposed in Strigari et al. (2007).
As in the case of Draco, the Peñarrubia et al. (2008) profile gives the lowest
value, while the two NFW models of Strigari et al. (2007) bracket the cored value at small angles.
What has been discussed above, also holds for the other dSph galaxies
considered in this analysis.
As an example, in Fig. 7 we plot the value of
obtained using the Gilmore et al. (2007) profile
for the four dSph galaxies considered in this analysis.
The values obtained using cuspy profiles will not deviate significantly
from these values.
Figure 8 shows the values of
obtained the profiles by Gilmore et al. (2007) and computed for
the LOS pointing toward the centre of the four dwarfs. These values
are compared to the curve obtained for the smooth
halo of the MW, obtained using Eq. (3),
an angular resolution of 0.1 degrees
and the NFW profile for the MW
(
,
c=7.55,
).
We observe that the dSph galaxies shine above the smooth Galactic
halo at their position in the sky. Even more, we can say that
Draco is brighter than the Galactic halo at all angles greater than
2.3 degrees above the Galactic center.
The central values of
for the Sagittarius dwarf galaxy
and Large Magellanic Cloud (LMC) are shown in Fig. 8
for comparison with those of the other dSph galaxies
we studied in detail.
The Sagittarius dwarf galaxy is located at a distance of about 24 kpc.
Although it is heavily interacting with the Milky Way, it has a surviving
stellar component thus it is likely to have a surviving dark matter halo.
The observations suggest that it is dark matter dominated
with a central stellar velocity dispersion of about 10 km s-1
Ibata et al. (1997).
According to recent observations and semi-analytic modelling
(e.g. Strigari et al. 2008; Macció et al. 2008), the data consistent with all the
DM halo of the dSph galaxies lie in the range between 20 and 40 km s-1.
We then modeled the inner regions of the
DM halo of the Sagittarius dwarf with the same scale parameters as Draco
(see Evans et al. 2004) by assuming a NFW mass density profile and a mass
of M=109
.
The LMC is located at about 50 kpc.
We adopted for its DM halo the stripped NFW profile used
by Tasitsiomi et al. (2004) (
).
3 Predictions for observation with the Fermi-LAT
The map of the Fermi-LAT sensitivity to point sources of DM annihilations
has been obtained by Baltz et al. (2008) using the released
Fermi-LAT response functions.
The sensitivity map was obtained for 55 days of observation and it shows
the minimum flux above 100 MeV which is necessary in order to achieve a
detection. The significance of the observed signal given the
local background counts is assigned through a maximum likelihood analysis
assuming Poisson statistics.
Baltz et al. (2008) found that the sensitivity
has very little dependence on the underlying particle physics.
Therefore, the obtained values can be considered valid as long as the
source appears point-like in the sky, that is as long as its angular
size does not exceed 0.25 degrees.
As it can be seen in Fig. 7, the
-ray flux
expected from our dSph galaxies decreases by almost one order of
magnitude at the angular distance of 0.25 degrees from the galaxy
centre. For this reason, we can assume they are
point-like sources and use the results of Baltz et al. (2008)
for reference.
Draco, Ursa Minor, and Sextans lie in a region of the sky where
the
detection flux above
100 MeV is
in
2 months. This translates into
in 1 year
of data taking and in the units we used throughout this paper. In the case of
Carina, it is
,
since the galaxy is closer to the Galactic plane.
If we consider the best value for
(>100 MeV) from
Fig. 1 (
)
and the average value of
toward the
galaxy centre (
)
from Figs. 4 and 6, we end up
with the following best-particle-physics-case estimates
for the
-ray flux from
DM annihilation in Draco:
![]() |
(4) |
and Ursa Minor:
![]() |
(5) |
The error is given by the standard deviation for the values of
Even in the case of Draco and Ursa Minor the upper value of the predicted flux within the error is 2 orders of magnitude below that required for detection in 1 year of data taking with the Fermi-LAT (Baltz et al. 2008). This means that there is no hope of detection unless we allow for the presence of boost factors. Though brigther than the dSph considered in this analysis, nor the Sagittarius dwarf galaxy noither LMC have a predicted flux which could be detected with the Fermi-LAT.
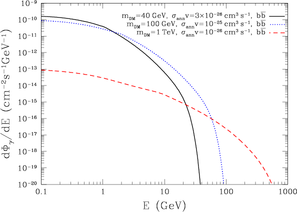
In Fig. 9 we show the differential
-ray fluxes
expected from DM annihilation in the center of Ursa Minor for
a 40 GeV, 100 GeV and 1 TeV DM particle annihilating into
.
Fluxes are computed using the best
value for
given by model A of Strigari et al. (2007).
The values of
have been chosen
as in Fig. 1.
![]() |
Figure 9:
Differential |
| Open with DEXTER | |
We note that if we use the same values for the
annihilation cross-section and for the mass (
,
GeV) as in
Strigari et al. (2007), as well as their model A for the density profile,
we find a prediction for Ursa Minor which is
10 times smaller
than their value. In fact, we get
for annihilation into
[
]
to be compared with their
value
.
This is due to the over-estimated number of photon
yields above 5 GeV (
)
which is derived in their paper. We found a number of photon yields which is an order of magnitude smaller both using the Fornengo et al. (2004) and the Bergström et al. (1998) parametrization for d
,
the latter being the one used by Strigari et al. (2007).
Investigating possible sources of astrophysical boost factors becomes necessary in order to understand the feasibility of a DM signal detection with the Fermi-LAT. To this purpose, in the following sections we account for the effect of the presence of clumps or of a SBH inside the dSph galaxies we are considering.
3.1 Boost factor due to the presence of dark matter clumps
According to the CDM scenario, each halo formes through the merging
and accretion of smaller haloes, which still survive and orbit inside
the larger one. The minimum mass of these subhaloes is
10-6
according to analytical estimates
(Green et al. 2005,2004).
High-resolution N-body experiments, though they stop at high redshift
(z=26), are able to resolve field haloes as small as
10-6
.
Their mass function is well approximated by a power law
with
Assuming that the radial distribution of subhaloes traces that of the
host galaxy, we can model the number density of subhaloes per unit
mass at a distance R from the galaxy centre as
where A is a normalization factor which takes into account the hypothesis that
Once we assumed a model for the subhalo population, the boost factor due
to the presence of clumps distributed according to
is computed as the ratio of the integral over the galaxy
volume of the density squared including subhaloes, to the same integral
for the smooth galaxy only:
where
Pieri et al. (2008) found a relationship between the different subhalo
models leading to various boost factors for the MW,
the total number of photons produced at high galactic latitudes by the
annihilation of DM particles in all the subhaloes falling into a given
cone of view (of the order of 109), the EGRET measurement of the
extragalactic
-ray background (EGB), and the allowed particle
physics contribution.
They observed how a given model for the subhalo population cannot
predict a number of photons greater than those observed by EGRET at
high latitudes, where the
-ray flux is thought to have a
diffuse origin. Consequently, a maximum number of predictable photons
exists. This means that the two factors
and
must be tuned in order not to exceed the EGRET limit. In the
most optimistic case, they will be tuned so as to give exactly the number
of photons observed by EGRET. This means that, if we assume a subhalo
model for the MW, the value of
can be shifted down or
up to match the EGRET level
(up to the level of the best-particle-physics case of Fig. 1).
Now, because of the lack of accurate
models which account for the presence of subhaloes inside subhaloes,
we make the simplifying assumption that the subhalo
population of a dSph galaxy is described by the same
subhalo model that we have assumed to be valid in the MW, so that the
restrictions on
must still hold.
We have computed the boost factors in the cases of Draco and Ursa Minor,
for all the subhalo models considered in Pieri et al. (2008),
(PBB08 in Fig. 10) using Eq. (8).
We found that the values for the boost factors range from 1.6 to 850, but when
applying the corresponding limits on
,
we end up, for
any clump model, with an estimate of the maximum flux which may be produced by
the clumps in Draco and Ursa Minor which is still compatible with the
EGRET EGB and with the constraints given by particle physics shown in
Fig. 1.
The overall maximum enhancement of the flux obtained using
Eq. (8), once scaled for the EGRET limit, is of a factor of 70.
The boost factor due to the presence of subhaloes has been
computed analytically
also in Strigari et al. (2007) and Kuhlen et al. (2008).
The overall values
are of the same order of magnitude as the one we obtain using the
model of Pieri et al. (2008). For that specific model, we obtain
,
which is not expected to give an enhancement
of the
-ray flux, which could be significant for detection.
The values of the boost factors obtained using Eq. (8), as well as those obtained analytically in Strigari et al. (2007) and Kuhlen et al. (2008), hold when integrating over all the galaxy. They are thus the numbers to consider when the galaxy is so far as to be pointlike inside the detector acceptance. This is indeed not the case for the nearby dwarfs considered in this analysis.
![]() |
Figure 10:
The astrophysical/cosmological contribution
|
| Open with DEXTER | |
To understand what could really be the effect of sub-subhaloes in the closest
dwarfs, we assumed an NFW profile for the substructures, defined
by the concentration parameter c distributed according to a log-normal
probability P(c), and computed their contribution to the annihilation
signal as in Pieri et al. (2008):
where
3.2 Boost factor due to the presence of a black hole
So far there are only two examples of dwarf galaxies suggested to host
an SBH. Maccarone et al. (2005) discussed the possibility that the radio
source near the core of the Ursa Minor dwarf galaxy is an SBH. They
give a mass upper limit of
104
.
Debattista et al. (2006) assumed that the double nucleus of the dE
VCC 128 is a disk orbiting an SBH. They derived an SBH mass of
107
.
The lack of SBHs in dwarf galaxies was explained by
Ferrarese et al. (2006). They found that for galaxies less massive than a
few 109
the formation of a compact stellar nucleus is
more likely than that of an SBH. Both stellar nuclei and SBHs contain a
mean fraction of about
of the total mass of the galaxy. The
same conclusion was reached by Wehner & Harris (2006) and
Côté et al. (2006).
Nevertheless, a value for the SBH mass of the dSph galaxies studied in
this paper can be inferred using the
relation
(see Ferrarese & Ford 2005, for a review). Extrapolating the
scaling law defined by SBHs in massive galaxies to the constant
measured in the sample galaxies, the derived
SBH mass is
.
Gondolo & Silk (1999) and Merritt (2004) studied the effect of an
adiabatically accreted SBH on a cuspy DM mass density profile
[
with
]. They found that
the SBH induces a central density spike described by a power-law
radial profile with index
over a region of radius
where
Assuming the cuspy DM mass density profile (
)
given by
okas et al. (2005) for Draco, it results in
where
The effect of an SBH on the DM mass density profile by
okas et al. (2005) is shown in Fig. 11
for two extreme values of
.
For
,
pc corresponds to
and
pc
corresponds to
.
The adopted value
of
is consistent with the stellar velocity dispersion
measured in the dSph galaxies we studied (Gilmore et al. 2007). It
represents an upper limit for the DM velocity dispersion, since the
stars are a tracer population of both the luminous and DM components.
The boost factor due to the presence of an SBH is
Of course, a different parametrization of the SBH properties would result in different values of
A SBH mass
results in
pc, and in a boost factor equal to 1. On the other hand,
Gilmore et al. (2007) reported that the existence of observed small stellar clumps
inside Ursa Minor is not compatible with the presence of a spike, by
which they would have been tidally destroyed.
The MAGIC collaboration recently published
an upper limit on the
-ray flux above 140 GeV for Draco at 10-11
(Albert et al. 2008). If we multiply the value of
in the direction of the centre of Draco by a boost factor
we end up with
.
This means that,
if such a boost factor exists, either the DM particle mass is below
140 GeV and its annihilation products could not be observed with
MAGIC, or that
which is a
very low (though allowed) value.
![]() |
Figure 11:
The density spike induce by a SBH on the DM mass
density profile of Draco. The initial profile is taken from
okas et al. (2005) (solid line). The dotted and dashed lines
correspond to a final density profile with a spike radius
|
| Open with DEXTER | |
4 Conclusions
The Fermi-LAT telescope was launched in June 2008 and is collecting
data on
-rays in
the energy range between about 20 MeV and 300 GeV. Its all-sky survey
operation mode will allow an unprecedently precise study of the
-ray sky, so that many DM models will be tested.
The dSph galaxies of the Local Group will be primary targets for DM
analysis with the Fermi-LAT, because of the low astrophysical background
expected in their direction.
Therefore, we studied the detection limit of the
-ray flux
from DM annihilation in four of the nearest dSph galaxies, namely
Draco, Ursa Minor, Carina, and Sextans.
State-of-the-art DM density profiles were available for these galaxies and
we computed the expected
-ray flux from DM annihilation for
different particle physics parameters. We varied the DM particle mass
as well as the annihilation cross-section and branching
ratios.
We found that the presence of an NFW-like cusp or constant density core
in the DM mass density profile does not produce any relevant effect in
the
-ray flux due to a combination of the geometrical
acceptance of the Fermi-LAT detector, which is not able to resolve the
very inner shells of the studied galaxies, and the distance of
the sample galaxies.
In the case of Draco and Ursa Minor, we found that they would shine above
the Galactic smooth halo for all but the smallest angles (
2 degrees)
above the Galactic Center. Yet,
the upper values of the predicted flux
were found to be about two orders of magnitude below the Fermi-LAT
detection threshold as derived in Baltz et al. (2008).
Such values were
computed for the most optimistic particle physics scenario of a
40 GeV particle with
annihilating into
.
We have shown how the effect of the boost factor due the presence of a
population of DM clumps inside the dSph galaxies, though possibly very large (of the
order of 103 when integrated over the whole galaxy),
had to be rescaled for the limit on the EGB measured by
EGRET. The overall maximal effect was reduced to a factor of 70.
The calculation was made for a model where the subhalo population of the
dwarf galaxies is described by the same model used for the MW.
In any case, since the closest dwarfs are not pointlike for the
Fermi-LAT angular
acceptance
,
the factor to be taken into consideration is the
effect of the sub-subhaloes inside
,
which resulted in a
decrease
of the expected flux due to a redistribution of the DM inside the halo.
The presence of a central SBH in agreement with the
relation extrapolated to the observed low
values resulted in
a negligible boost factor. More extreme models would result in a much
higher boost factor, though they are not theoretically supported.
Contrarily to previous papers that addressed the presence of subhaloes or of SMBHs to boost the signal, we have demonstrated that the boost factor must be searched for in some exotic extension or modification of the particle physics. We conclude that, unless involved in this, the annihilation of DM inside the local dwarfs is unlikely to be detected with the Fermi-LAT.
As a further development, it will be interesting to repeat the
present analysis of boost factors for the recently catalogued
ultra faint dwarfs of the Local Group. Strigari et al. (2008)
have computed the expected
-ray flux from those sources, deriving
the halo parameters from kinematic data. The inclusion of such
galaxies in our study will improve the sensitivity of
a joint multi-centred likelihood analysis.
Since the DM spectra would be the same for all the galaxies, such an analysis could be performed to maximise the detection efficiency and to allow portions of the particle physics phase-space to be explored.
Acknowledgements
We acknowledge Torsten Bringmann for valuable discussion and suggestions. We would like to thank also Giovanni Busetto, Sergio Colafrancesco, Andrea Lionetto, Mosè Mariotti and Riccardo Rando for discussion and comments, and Mark Wilkinson for sending us his data on Carina and Sextans. This work was made possible through grants PRIN 2005/32 by Istituto Nazionale di Astrofisica (INAF) and CPDA068415/06 by Padua University and was carried out under contract ASI/INAF I/010/06/0.
References
- Albert, J., Aliu, E., Anderhub, H., et al. 2008, ApJ, 679, 428 [NASA ADS] [CrossRef] (In the text)
- Bahcall, N. A., Ostriker, J. P., Perlmutter, S., & Steinhardt, P. J. 1999, Science, 284, 1481 [NASA ADS] [CrossRef]
- Baltz, E. A., Briot, C., Salati, P., Taillet, R., & Silk, J. 2000, PhRvD, 61, 023514 [NASA ADS] [CrossRef]
- Baltz, E. A., et al. 2008, JCAP, 0807, 013 [NASA ADS] (In the text)
- Bergström, L. 2000, RPPh, 63, 793 [NASA ADS]
- Bergström, L., Ullio, P., & Buckley, J. H. 1998, Astropart. Phys., 9, 137 [NASA ADS] [CrossRef] (In the text)
- Bergström, L., & Hooper, D. 2006, PhRvD, 73, 063510 [NASA ADS] [CrossRef]
- Bertone, G., Hooper, D., & Silk, J. 2005, RPPh, 405, 279
- Binney, J. 2004, in Dark Matter in Galaxies, ed. Ryder S., et al. (San Francisco: ASP), Proc. IAU Symp., 220, 3 (In the text)
- Bringmann, T., Bergström, L., & Edsjö, J. 2008, JHEP, 0801, 049 [NASA ADS] [CrossRef] (In the text)
- Bringmann, T., Doro, M., & Fornasa, M. 2009, JCAP, 01, 016 [NASA ADS] (In the text)
- Colafrancesco, S., Profumo, S., & Ullio, P. 2007, PhRvD, 75, 023513 [NASA ADS] [CrossRef] (In the text)
- Côté, P., Piatek, S., Ferrarese, L., et al. 2006, ApJS, 165, 57 [NASA ADS] [CrossRef] (In the text)
- Debattista, V. P., Ferreras, I., Pasquali, A., et al. 2006, ApJ, 651, L97 [NASA ADS] [CrossRef] (In the text)
- Diemand, J., Moore, B., & Stadel, J. 2005, Nature, 433, 389 [NASA ADS] [CrossRef]
- Evans, N. W., Ferrer, F., & Sarkar, S. 2004, PhRvD, 69, 123501 [NASA ADS] [CrossRef] (In the text)
- Ferrarese, L., & Ford, H. 2005, SSRv, 116, 523 [NASA ADS] (In the text)
- Ferrarese, L., Côté, P., Dalla Bontà, E., et al. 2006, ApJ, 644, L21 [NASA ADS] [CrossRef] (In the text)
- Fornengo, N., Pieri, L., & Scopel, S. 2004, PhRvD, 70, 103529 [NASA ADS] [CrossRef] (In the text)
- Gilmore, G., Wilkinson, M. I., Wyse, R. F. G., et al. 2007, ApJ, 663, 948 [NASA ADS] [CrossRef] (In the text)
- Giocoli, C., Pieri, L., & Tormen, G. 2008, MNRAS, in press
- Gnedin, O. Y., & Zhao, H. S. 2002, MNRAS, 333, 299 [NASA ADS] [CrossRef] (In the text)
- Gondolo, P., & Silk, J. 1999, PhRvL, 83, 1719 [NASA ADS] (In the text)
- Gondolo, P., Edsjö, J., Ullio, P., et al. 2004, JCAP, 7, 8 [NASA ADS] (In the text)
- Green, A. M., Hofmann, S., & Schwarz, D. J. 2004, MNRAS, 353, L23 [NASA ADS] [CrossRef]
- Green, A. M., Hofmann, S., & Schwarz, D. J. 2005, JCAP, 8, 3 [NASA ADS]
- Ibata, R. A., Wyse, R. F. G., Gilmore, G., Irwin, M. J., & Suntzeff, N. B. 1997, AJ, 113, 634 [NASA ADS] [CrossRef] (In the text)
- Kazantzidis, S., Mayer, L., Mastropietro, C., et al. 2004, ApJ, 608, 663 [NASA ADS] [CrossRef] (In the text)
- King, I. R. 1966, AJ, 71, 64 [NASA ADS] [CrossRef] (In the text)
- Kleyna, J. T., Wilkinson, M. I., Evans, N. W., & Gilmore, G. 2001, ApJ, 563, L115 [NASA ADS] [CrossRef]
- Kleyna, J. T., Wilkinson, M. I., Evans, N. W., & Gilmore, G. 2004, MNRAS, 354, L66 [NASA ADS] [CrossRef] (In the text)
- Kuhlen, M., Diemand, J., & Madau, P. 2008 [arXiv:0805.4166] (In the text)
- okas, E. L., Mamon, G. A., & Prada, F. 2005, MNRAS, 363, 918 [NASA ADS] [CrossRef] (In the text)
- Maccarone, T. J., Fender, R. P., & Tzioumis, A. K. 2005, MNRAS, 356, L17 [NASA ADS] (In the text)
- Macció, A. V., Kang, X., & Moore, B. (Univ. Zurich) [arXiv:0810.1734]
- Mashchenko, S., Couchman, H. P. M., & Wadsley, J. 2006, Nature, 442, 539 [NASA ADS] [CrossRef]
- Mateo, M. L. 1998, A&A, 36, 435 [NASA ADS] [CrossRef] (In the text)
- Merritt, D. 2004, in Coevolution of Black Holes and Galaxies, ed. L. Ho. (Cambridge: Cambridge Univ. Press), 263 (In the text)
- Moore, B., Governato, F., Quinn, T., Stadel, J., & Lake, G. 1998, ApJ, 499, L5 [NASA ADS] [CrossRef]
- Moore, B., Quinn, T., Governato, F., Stadel, J., & Lake, G. 1999, MNRAS, 310, 1147 [NASA ADS] [CrossRef]
- Muñoz, R. R., Majewski, S. R., Zaggia, S., et al. 2006, ApJ, 649, 201 [NASA ADS] [CrossRef] (In the text)
- Navarro, J. F., Frenk, C. S., & White, S. D. M. 1996, ApJ, 462, 563 [NASA ADS] [CrossRef]
- Navarro, J. F., Frenk, C. S., & White, S. D. M. 1997, ApJ, 490, 493 [NASA ADS] [CrossRef]
- Navarro, J. F., Hayashi, E., Power, C., et al. 2004, MNRAS, 349, 1039 [NASA ADS] [CrossRef]
- Palma, C., Majewski, S. R., Siegel, M. H., et al. 2003, AJ, 125, 1352 [NASA ADS] [CrossRef] (In the text)
- Peirani, S., Mohayaee, R., & de Freitas Pacheco, J. A. 2004, PhRvD, 70, 043503 [NASA ADS] [CrossRef]
- Peñarrubia, J., Navarro, J. F., & McConnachie, A. W. 2008, ApJ, 673, 226 [NASA ADS] [CrossRef] (In the text)
- Pieri, L., & Branchini, E. 2004, PhRvD, 69, 043512 [NASA ADS] [CrossRef]
- Pieri, L., Bertone, G., & Branchini, E. 2008, MNRAS, 384, 1627 [NASA ADS] [CrossRef] (In the text)
- Read, J. I., & Gilmore, G. 2005, MNRAS, 356, 107 [NASA ADS] [CrossRef]
- Romano-Díaz, E., Shlosman, I., Hoffman, Y., & Heller, C. 2008, ApJ, 685, L105 [NASA ADS] [CrossRef] (In the text)
- Sánchez-Conde, M. A., Prada, F., okas, E. L., et al. 2007, PhRvD, 76, 123509 [NASA ADS] [CrossRef] (In the text)
- Sérsic, J. L. 1968, Atlas de Galaxias Australes. Observatorio Astronomico, Cordoba (In the text)
- Spergel, D. N., Verde, L., Peiris, H. V., et al. 2003, ApJS, 148, 175 [NASA ADS] [CrossRef]
- Spergel, J., et al. 2008 [arXiv:0808.2981] (In the text)
- Springel, V., et al. 2008 [arXiv:0809.0898]
- Strigari, L. E., Koushiappas, S. M., Bullock, J. S., & Kaplinghat, M. 2007, PhRvD, 75, 083526 [NASA ADS] [CrossRef] (In the text)
- Strigari, L. E., Koushiappas, S. M., Bullock, J. S., et al. 2008, ApJ, 678, 614 [NASA ADS] [CrossRef]
- Tasitsiomi, A., Gaskins, J., Olinto, A. V., et al. 2004, New Astron. Rev., 48, 473 [NASA ADS] [CrossRef] (In the text)
- Tyler, C. 2002, PhRvD, 66, 023509 [NASA ADS] [CrossRef]
- Walker, M. G., Mateo, M., Olszewski, E. W., et al. 2007, ApJ, 667, L53 [NASA ADS] [CrossRef] (In the text)
- Wehner, E. H., & Harris, W. E. 2006, ApJ, 644, L17 [NASA ADS] [CrossRef] (In the text)
- Wilkinson, M. I., Kleyna, J. T., Evans, N. W., et al. 2004, ApJ, 611, L21 [NASA ADS] [CrossRef] (In the text)
- Wilkinson, M. I., Kleyna, J. T., Wyn Evans, N., et al. 2006, EAS, 20, 105 (In the text)
All Tables
Table 1: The sample galaxies.
All Figures
![]() |
Figure 1:
Behaviour of
|
| Open with DEXTER | |
| In the text | |
![]() |
Figure 2: The radial profile of the DM mass density in Draco as derived by Gilmore et al. (2007) (solid line), okas et al. (2005) (dotted), Walker et al. (2007) (long-dashed), and Peñarrubia et al. (2008) (dashed). Also shown are the density profiles derived from numerical simulations, namely the standard NFW (long-long-dashed) and the Einasto (long-dot-dashed) radial profiles. |
| Open with DEXTER | |
| In the text | |
![]() |
Figure 3: The radial profile of the DM mass density in Ursa Minor (long-dashed line), Draco (solid line), Carina (dotted line), and Sextans (short-dashed line) as derived by Gilmore et al. (2007). |
| Open with DEXTER | |
| In the text | |
![]() |
Figure 4:
The astrophysical/cosmological contribution
|
| Open with DEXTER | |
| In the text | |
![]() |
Figure 5:
The astrophysical/cosmological contribution
|
| Open with DEXTER | |
| In the text | |
![]() |
Figure 6:
The astrophysical/cosmological contribution
|
| Open with DEXTER | |
| In the text | |
![]() |
Figure 7:
The astrophysical/cosmological contribution
|
| Open with DEXTER | |
| In the text | |
![]() |
Figure 8:
The astrophysical/cosmological contribution
|
| Open with DEXTER | |
| In the text | |
![]() |
Figure 9:
Differential |
| Open with DEXTER | |
| In the text | |
![]() |
Figure 10:
The astrophysical/cosmological contribution
|
| Open with DEXTER | |
| In the text | |
![]() |
Figure 11:
The density spike induce by a SBH on the DM mass
density profile of Draco. The initial profile is taken from
okas et al. (2005) (solid line). The dotted and dashed lines
correspond to a final density profile with a spike radius
|
| Open with DEXTER | |
| In the text | |
Copyright ESO 2009
Current usage metrics show cumulative count of Article Views (full-text article views including HTML views, PDF and ePub downloads, according to the available data) and Abstracts Views on Vision4Press platform.
Data correspond to usage on the plateform after 2015. The current usage metrics is available 48-96 hours after online publication and is updated daily on week days.
Initial download of the metrics may take a while.


![\begin{displaymath}\Phi_{\rm cosmo}(\psi, \Delta \Omega) =
\int \int_{\Delta \...
...
\left [ \frac{\rho_{\rm DM}^2 (r)} {\lambda^{2}} J \right] ,
\end{displaymath}](/articles/aa/full_html/2009/11/aa10888-08/img17.gif)
![\begin{figure}
\par\includegraphics[width=9cm]{0888fig1.eps}
\end{figure}](/articles/aa/full_html/2009/11/aa10888-08/Timg27.gif)
![\begin{figure}
\par\includegraphics[width=9cm]{0888fig4.eps}
\end{figure}](/articles/aa/full_html/2009/11/aa10888-08/Timg51.gif)
![\begin{figure}
\par\includegraphics[width=8.5cm]{0888fig5.eps}
\end{figure}](/articles/aa/full_html/2009/11/aa10888-08/Timg53.gif)
![\begin{figure}
\par\includegraphics[width=8.5cm]{0888fig6.eps}
\end{figure}](/articles/aa/full_html/2009/11/aa10888-08/Timg54.gif)
![\begin{figure}
\par\includegraphics[width=8.5cm]{0888fig7.eps}
\end{figure}](/articles/aa/full_html/2009/11/aa10888-08/Timg55.gif)
![\begin{figure}
\par\includegraphics[width=8.5cm]{0888fig8.eps}
\end{figure}](/articles/aa/full_html/2009/11/aa10888-08/Timg56.gif)


![\begin{figure}
\par\includegraphics[width=8.5cm]{0888fig9.eps}
\end{figure}](/articles/aa/full_html/2009/11/aa10888-08/Timg71.gif)



![\begin{figure}
\par\includegraphics[width=8.5cm]{0888fg10.eps}
\end{figure}](/articles/aa/full_html/2009/11/aa10888-08/Timg91.gif)
![\begin{displaymath}\qquad \times \Phi^{\rm cosmo}_{\rm halo}(M,c,r(\lambda, \lam...
...eta ', \phi ')) \times J(x,y,z\vert\lambda,\theta, \phi) \big]
\end{displaymath}](/articles/aa/full_html/2009/11/aa10888-08/img94.gif)




![\begin{figure}
\par\includegraphics[width=8.5cm]{0888fg11.eps}
\end{figure}](/articles/aa/full_html/2009/11/aa10888-08/Timg133.gif)